Research article

Mixed-attitude three-way decision model for aerial targets: Threat assessment based on IF-VIKOR-GRA method


  • Published: 05 December 2023
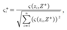
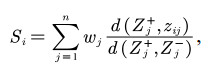
  • Assessing potential threats typically necessitates the use of a robust mathematical model, a comprehensive evaluation method and universal decision rules. A novel approach is utilized in this study to optimize existing threat assessment (TA) algorithms and three-way decision models (3WDMs) are leveraged that incorporate decision-theoretic rough sets (DTRSs) within dynamic intuitionistic fuzzy (IF) environments to create a mixed-attitude 3WDM based on the IF-VIKOR-GRA method in the context of aviation warfare. The primary objectives of this study include determining conditional probabilities for IF three-way decisions (3WDs) and establishing mixed-attitude decision thresholds. Both the target attribute and loss function are expressed in the form of intuitionistic fuzzy numbers (IFNs). To calculate these conditional probabilities, an IF technique is used to combine the multi-attribute decision-making (MADM) method VIKOR and the grey relational analysis (GRA) method, while also taking into account the risk-related preferences of decision-makers (DMs). Optimistic and pessimistic 3WDMs are developed from the perspectives of membership degree and non-membership degree, then subsequently integrated into the comprehensive mixed-attitude 3WDM. The feasibility and effectiveness of this methodology are demonstrated through a numerical example and by comparison to other existing approaches.

    Citation: Qiwen Wang, Guibao Song, Xiuxia Yang. Mixed-attitude three-way decision model for aerial targets: Threat assessment based on IF-VIKOR-GRA method[J]. Mathematical Biosciences and Engineering, 2023, 20(12): 21514-21536. doi: 10.3934/mbe.2023952

    Related Papers:

  • Assessing potential threats typically necessitates the use of a robust mathematical model, a comprehensive evaluation method and universal decision rules. A novel approach is utilized in this study to optimize existing threat assessment (TA) algorithms and three-way decision models (3WDMs) are leveraged that incorporate decision-theoretic rough sets (DTRSs) within dynamic intuitionistic fuzzy (IF) environments to create a mixed-attitude 3WDM based on the IF-VIKOR-GRA method in the context of aviation warfare. The primary objectives of this study include determining conditional probabilities for IF three-way decisions (3WDs) and establishing mixed-attitude decision thresholds. Both the target attribute and loss function are expressed in the form of intuitionistic fuzzy numbers (IFNs). To calculate these conditional probabilities, an IF technique is used to combine the multi-attribute decision-making (MADM) method VIKOR and the grey relational analysis (GRA) method, while also taking into account the risk-related preferences of decision-makers (DMs). Optimistic and pessimistic 3WDMs are developed from the perspectives of membership degree and non-membership degree, then subsequently integrated into the comprehensive mixed-attitude 3WDM. The feasibility and effectiveness of this methodology are demonstrated through a numerical example and by comparison to other existing approaches.



    加载中


    [1] S. Y. Wang, G. Wang, J. R. Zhang, Threat assessment method for air defense targets based on variable weight TOPSIS algorithm, J. Proj. Rockets Missiles Guid., 39 (2019), 171–176. https://doi.org/10.15892/j.cnki.djzdxb.2019.06.037 doi: 10.15892/j.cnki.djzdxb.2019.06.037
    [2] J. J. Yang, K. Li, Two dimensional evaluation of air attack target threat based on parameter and time dimension, J. Ordnance Equip. Eng., 42 (2021), 239–243. https://doi.org/10.11809/bqzbgcxb2021.05.043 doi: 10.11809/bqzbgcxb2021.05.043
    [3] K. Pan, X. H. Pan, X. Q. Guo, Target threat judgment in surface antiaircraft based on MUDP, Comput. Digit. Eng., 42 (2014), 802–805+821. https://doi.org/10.3969/j.issn1672-9722.2014.05.016 doi: 10.3969/j.issn1672-9722.2014.05.016
    [4] H. M. Chai, Y. Zhang, X. Y. Li, Y. N. Song, Aerial target threat assessment method based on deep learning, J. Syst. Simul., 34 (2022), 1459–1467. https://doi.org/10.16182/j.issn1004731x.joss.21-0080 doi: 10.16182/j.issn1004731x.joss.21-0080
    [5] S. P. Kong, H. R. Zhang, X. P. Liao, D. P. Hong, Aerial targets threat assessment based on AHP and entropy weight method, Tactical Missile Technol., 39 (2018), 79–84. https://doi.org/10.16358/j.issn.1009-1300.2018.01.14 doi: 10.16358/j.issn.1009-1300.2018.01.14
    [6] D. Kong, T. Chang, Q. Wang, H. Sun, W. Dai, A threat assessment method of group targets based on interval-valued intuitionistic fuzzy multi-attribute group decision-making, Appl. Soft Comput., 67 (2018), 350–369. https://doi.org/10.1016/j.asoc.2018.03.015 doi: 10.1016/j.asoc.2018.03.015
    [7] J. Feng, Q. Zhang, J. Hu, A. Liu, Dynamic assessment method of air target threat based on improved GIFSS, J. Syst. Eng. Electron., 30 (2019), 525–534. https://doi.org/10.21629/JSEE.2019.03.10 doi: 10.21629/JSEE.2019.03.10
    [8] Y. Q. Lu, C. L. Fan, Q. Fu, X. W. Zhu, W. Li, Missile defense target threat assessment based on improved similarity measure and information entropy of IFRS, Syst. Eng. Electron., 44 (2022), 1230–1238. https://doi.org/10.12305/j.issn.1001-506X.2022.04.20 doi: 10.12305/j.issn.1001-506X.2022.04.20
    [9] C. Jin, J. Sun, Y. J. Wang, P. S. Cai, X. Rong, Threat comprehensive assessment for air defense targets based on intuitionistic fuzzy TOPSIS and variable weight VIKOR, Syst. Eng. Electron., 44 (2022), 172–180. https://doi.org/10.12305/j.issn.1001-506X.2022.01.22 doi: 10.12305/j.issn.1001-506X.2022.01.22
    [10] M. S. Zhang, K. H. Xu, L. Z. Li, Multi-target threat assessment based on intuitionistic fuzzy set and VIKOR, J. Ordnance Equip. Eng., 40 (2019), 62–67. https://doi.org/10.11809/bqzbgcxb2019.06.014 doi: 10.11809/bqzbgcxb2019.06.014
    [11] D. J. Chen, J. Wang, H. W. Zhang, Dynamic threat assessment model based on intuitionistic fuzzy multiple attribute decision making, Comput. Sci., 46 (2019), 183–188. https://doi.org/10.11896/j.issn.1002-137X.2019.04.029 doi: 10.11896/j.issn.1002-137X.2019.04.029
    [12] J. T. Yao, N. Azam, Web-based medical decision support systems for three-way medical decision making with game-theoretic rough sets, IEEE Trans. Fuzzy Syst., 23 (2015), 3–15. https://doi.org/10.1109/TFUZZ.2014.2360548 doi: 10.1109/TFUZZ.2014.2360548
    [13] H. X. Li, L. B. Zhang, B. Huang, X. Z. Zhou, Sequential three-way decision and granulation for cost-sensitive face recognition, Knowl.-Based Syst., 91 (2016), 241–251. https://doi.org/10.1016/j.knosys.2015.07.040 doi: 10.1016/j.knosys.2015.07.040
    [14] Y. Li, Z. H. Zhang, W. B. Chen, F. Min, TDUP: An approach to incremental mining of frequent itemsets with three-way-decision pattern updating, Int. J. Mach. Learn. Cybern., 8 (2017), 441–453. https://doi.org/10.1007/s13042-015-0337-6 doi: 10.1007/s13042-015-0337-6
    [15] G. M. Lang, D. Q. Miao, M. J. Cai, Three-way decision approaches to conflict analysis using decision-theoretic rough set theory, Inf. Sci., 406–407 (2017), 185–207. https://doi.org/10.1016/j.ins.2017.04.030 doi: 10.1016/j.ins.2017.04.030
    [16] J. B. Liu, H. X. Li, B. Huang, Y. Liu, D. Liu, Convex combination-based consensus analysis for intuitionistic fuzzy three-way group decision, Inf. Sci., 574 (2021), 542–566. https://doi.org/10.1016/j.ins.2021.06.018 doi: 10.1016/j.ins.2021.06.018
    [17] X. Ye, D. Liu, A cost-sensitive temporal-spatial three-way recommendation with multi-granularity decision, Inf. Sci., 589 (2022), 670–689. https://doi.org/10.1016/j.ins.2021.12.105 doi: 10.1016/j.ins.2021.12.105
    [18] J. Liu, X. Guo, P. Ren, L. Zhang, Z. Hao, Consensus of three-way group decision with weight updating based on a novel linguistic intuitionistic fuzzy similarity, Inf. Sci., 648 (2023), 119537. https://doi.org/10.1016/j.ins.2023.119537 doi: 10.1016/j.ins.2023.119537
    [19] J. M. Zhan, J. J. Wang, W. P. Ding, Y. Y. Yao, Three-way behavioral decision making with hesitant fuzzy information systems: Survey and challenges, IEEECAA J. Autom. Sin., 10 (2023), 330–350. https://doi.org/10.1109/JAS.2022.106061 doi: 10.1109/JAS.2022.106061
    [20] Y. F. Yin, R. T. Zhang, Q. R. Su, Threat assessment of aerial targets based on improved GRA-TOPSIS method and three-way decisions, Math. Biosci. Eng., 20 (2023), 13250–13266. https://doi.org/10.3934/mbe.2023591 doi: 10.3934/mbe.2023591
    [21] J. M. Zhan, H. B. Jiang, Y. Y. Yao, Three-way multiattribute decision-making based on outranking relations, IEEE Trans. Fuzzy Syst., 29 (2021), 2844–2858. https://doi.org/10.1109/TFUZZ.2020.3007423 doi: 10.1109/TFUZZ.2020.3007423
    [22] W. J. Wang, J. M. Zhan, C. Zhang, Three-way decisions based multi-attribute decision making with probabilistic dominance relations, Inf. Sci., 559 (2021), 75–96. https://doi.org/10.1016/j.ins.2021.01.028 doi: 10.1016/j.ins.2021.01.028
    [23] J. H. He, H. R. Zhang, Z. Y. Zhang, J. P. Zhang, Probabilistic linguistic three-way multi-attibute decision making for hidden property evaluation of judgment debtor, J. Math., 2021 (2021), 1–16. https://doi.org/10.1155/2021/9941200 doi: 10.1155/2021/9941200
    [24] J. Ye, J. M. Zhan, B. Z. Sun, A three-way decision method based on fuzzy rough set models under incomplete environments, Inf. Sci., 577 (2021), 22–48. https://doi.org/10.1016/j.ins.2021.06.088 doi: 10.1016/j.ins.2021.06.088
    [25] J. M. Zhan, J. Ye, W. P. Ding, P. D. Liu, A novel three-way decision model based on utility theory in incomplete fuzzy decision systems, IEEE Trans. Fuzzy Syst., 30 (2022), 2210–2226. https://doi.org/10.1109/TFUZZ.2021.3078012 doi: 10.1109/TFUZZ.2021.3078012
    [26] J. J. Wang, X. L. Ma, J. H. Dai, J. M. Zhan, A novel three-way decision approach under hesitant fuzzy information, Inf. Sci., 578 (2021), 482–506. https://doi.org/10.1016/j.ins.2021.07.054 doi: 10.1016/j.ins.2021.07.054
    [27] W. Li, Y. Q. Lu, C. L. Fan, R. Z. Huo, Dynamic threat assessment based on combination weighting and improved VIKOR, AERO Weapon., 29 (2022), 66–75. https://doi.org/10.12132/ISSN.1673-5048.2021.0254 doi: 10.12132/ISSN.1673-5048.2021.0254
    [28] T. C. Li, J. Ye, K. Lv, Air combat threat assessment based on improved three-way decision-TOPSIS method, J. Gun Launch Control, 43 (2022), 1–8+20. https://doi.org/10.19323/j.issn.1673-6524.2022.06.001 doi: 10.19323/j.issn.1673-6524.2022.06.001
    [29] S. Opricovic, Multicriteria optimization of civil engineering systems, Fac. Civ. Eng. Belgrade, 2 (1998), 5–21.
    [30] Y. J. Lai, T. Y. Liu, C. L. Hwang, TOPSIS for MODM, Eur. J. Oper. Res., 76 (1994), 486–500. https://doi.org/10.1016/0377-2217(94)90282-8 doi: 10.1016/0377-2217(94)90282-8
    [31] Y. Gao, D. Li, H. Zhong, A novel target threat assessment method based on three-way decisions under intuitionistic fuzzy multi-attribute decision making environment, Eng. Appl. Artif. Intell., 87 (2020), 103276. https://doi.org/10.1016/j.engappai.2019.103276 doi: 10.1016/j.engappai.2019.103276
    [32] Y. Gao, Y. C. Huang, G. B. Cheng, L. Duan, Multi-target threat assessment method based on VIKOR and three-way decisions under intuitionistic fuzzy information, ACTA Electron. Sin., 49 (2021), 542–549. https://doi.org/10.12263/DZXB.20190150 doi: 10.12263/DZXB.20190150
    [33] D. T. Wei, X. D. Liu, J. Deng, Group decision-making method and application based on intuitionistic fuzzy similarity and gray relation, J. Ordnance Equip. Eng., 42 (2021), 172–177. https://doi.org/10.11809/bqzbgcxb2021.07.030 doi: 10.11809/bqzbgcxb2021.07.030
    [34] Y. Y. Yao, S. K. M. Wong, A decision theoretic framework for approximating concepts, Int. J. Man-Mach. Stud., 37 (1992), 793–809. https://doi.org/10.1016/0020-7373(92)90069-W doi: 10.1016/0020-7373(92)90069-W
    [35] Y. Y. Yao, Probabilistic approaches to rough sets, Expert Syst., 20 (2003), 287–297. https://doi.org/10.1111/1468-0394.00253 doi: 10.1111/1468-0394.00253
    [36] Y. Y. Yao, Decision-theoretic rough set models, Rough Sets Knowl. Technol., 4481 (2007), 1–12. https://doi.org/10.1007/978-3-540-72458-2_1 doi: 10.1007/978-3-540-72458-2_1
    [37] M. F. Scheier, C. S. Carver, Optimism, coping, and health: Assessment and implications of generalized outcome expectancies., Health Psychol., 4 (1985), 219–247. https://doi.org/10.1037/0278-6133.4.3.219 doi: 10.1037/0278-6133.4.3.219
    [38] B. B. Fan, J. Lin, Y. Wang, Y. J. Chen, Multi-granulation intuitive fuzzy three-way decision and its application in targets recognition, Fire Control Command Control, 44 (2019), 49-56+62. https://doi.org/10.3969/j.issn.1002-0640.2019.07.010 doi: 10.3969/j.issn.1002-0640.2019.07.010
    [39] Q. H. Zhang, C. C. Yang, G. Y. Wang, A sequential three-way decision model with intuitionistic fuzzy numbers, IEEE Trans. Syst. Man Cybern. Syst., 51 (2021), 2640–2652. https://doi.org/10.1109/TSMC.2019.2908518 doi: 10.1109/TSMC.2019.2908518
    [40] K. T. Atanassov, Intuitionistic Fuzzy Sets, Physica, Heidelberg, 1999. https://doi.org/10.1007/978-3-7908-1870-3_1
    [41] S. Opricovic, G.-H. Tzeng, Compromise solution by MCDM methods: A comparative analysis of VIKOR and TOPSIS, Eur. J. Oper. Res., 156 (2004), 445–455. https://doi.org/10.1016/S0377-2217(03)00020-1 doi: 10.1016/S0377-2217(03)00020-1
    [42] X. R. Tan, J. L. Deng, Grey relational analysis: a new method for multivariate statistical analysis, Stat. Res., 12 (1995), 46–48. https://doi.org/10.19343/j.cnki.11-1302/c.1995.03.011 doi: 10.19343/j.cnki.11-1302/c.1995.03.011
    [43] D. Q. Miao, Q. G. Duan, H. Y. Zhang, N. Jiao, Rough set based hybrid algorithm for text classification, Expert Syst. Appl., 36 (2009), 9168–9174. https://doi.org/10.1016/j.eswa.2008.12.026 doi: 10.1016/j.eswa.2008.12.026
    [44] Y. Y. Yao, Three-way decisions with probabilistic rough sets, Inf. Sci., 180 (2010), 341–353. https://doi.org/10.1016/j.ins.2009.09.021 doi: 10.1016/j.ins.2009.09.021
    [45] Z. S. Xu, Approaches to multi-stage multi-attribute group decision making, Int. J. Inf. Technol. Decis. Mak., 10 (2011), 121–146. https://doi.org/10.1142/S0219622011004257 doi: 10.1142/S0219622011004257
    [46] F. Shen, X. S. Ma, Z. Y. Li, Z. S. Xu, D. L. Cai, An extended intuitionistic fuzzy TOPSIS method based on a new distance measure with an application to credit risk evaluation, Inf. Sci., 428 (2018), 105–119. https://doi.org/10.1016/j.ins.2017.10.045 doi: 10.1016/j.ins.2017.10.045
  • Reader Comments
  • © 2023 the Author(s), licensee AIMS Press. This is an open access article distributed under the terms of the Creative Commons Attribution License (http://creativecommons.org/licenses/by/4.0)
通讯作者: 陈斌, bchen63@163.com
  • 1. 

    沈阳化工大学材料科学与工程学院 沈阳 110142

  1. 本站搜索
  2. 百度学术搜索
  3. 万方数据库搜索
  4. CNKI搜索

Metrics

Article views(2342) PDF downloads(67) Cited by(2)

Article outline

Figures and Tables

Figures(9)  /  Tables(6)

Other Articles By Authors

/

DownLoad:  Full-Size Img  PowerPoint
Return
Return

Catalog