Research article Special Issues

Balancing mitigation strategies for viral outbreaks

  • Published: 04 December 2024
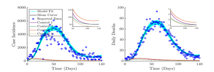
  • Control and prevention strategies are indispensable tools for managing the spread of infectious diseases. This paper examined biological models for the post-vaccination stage of a viral outbreak that integrate two important mitigation tools: social distancing, aimed at reducing the disease transmission rate, and vaccination, which boosts the immune system. Five different scenarios of epidemic progression were considered: (ⅰ) the "no control" scenario, reflecting the natural evolution of a disease without any safety measures in place, (ⅱ) the "reconstructed" scenario, representing real-world data and interventions, (ⅲ) the "social distancing control" scenario covering a broad set of behavioral changes, (ⅳ) the "vaccine control" scenario demonstrating the impact of vaccination on epidemic spread, and (ⅴ) the "both controls concurrently" scenario incorporating social distancing and vaccine controls simultaneously. By comparing these scenarios, we provided a comprehensive analysis of various intervention strategies, offering valuable insights into disease dynamics. Our innovative approach to modeling the cost of control gave rise to a robust computational algorithm for solving optimal control problems associated with different public health regulations. Numerical results were supported by real data for the Delta variant of the COVID-19 pandemic in the United States.

    Citation: Hamed Karami, Pejman Sanaei, Alexandra Smirnova. Balancing mitigation strategies for viral outbreaks[J]. Mathematical Biosciences and Engineering, 2024, 21(12): 7650-7687. doi: 10.3934/mbe.2024337

    Related Papers:

  • Control and prevention strategies are indispensable tools for managing the spread of infectious diseases. This paper examined biological models for the post-vaccination stage of a viral outbreak that integrate two important mitigation tools: social distancing, aimed at reducing the disease transmission rate, and vaccination, which boosts the immune system. Five different scenarios of epidemic progression were considered: (ⅰ) the "no control" scenario, reflecting the natural evolution of a disease without any safety measures in place, (ⅱ) the "reconstructed" scenario, representing real-world data and interventions, (ⅲ) the "social distancing control" scenario covering a broad set of behavioral changes, (ⅳ) the "vaccine control" scenario demonstrating the impact of vaccination on epidemic spread, and (ⅴ) the "both controls concurrently" scenario incorporating social distancing and vaccine controls simultaneously. By comparing these scenarios, we provided a comprehensive analysis of various intervention strategies, offering valuable insights into disease dynamics. Our innovative approach to modeling the cost of control gave rise to a robust computational algorithm for solving optimal control problems associated with different public health regulations. Numerical results were supported by real data for the Delta variant of the COVID-19 pandemic in the United States.



    加载中


    [1] W. Wu, Y. Yang, G. Sun, Recent insights into antibiotic resistance in Helicobacter pylori eradication, Gastroenterol. Res. Pract., 2012 (2012), 723183. https://doi.org/10.1155/2012/723183 doi: 10.1155/2012/723183
    [2] M. Wierup, The control of microbial diseases in animals: alternatives to the use of antibiotics, Int. J. Antimicrob. Agents, 14 (2000), 315–319. https://doi.org/10.1016/S0924-8579(00)00143-6 doi: 10.1016/S0924-8579(00)00143-6
    [3] R. C. Waite, Y. Velleman, G. Woods, A. Chitty, M. C. Freeman, Integration of water, sanitation and hygiene for the control of neglected tropical diseases: a review of progress and the way forward, Int. Health, 8 (2015), i22–i27. https://doi.org/10.1093/inthealth/ihw003 doi: 10.1093/inthealth/ihw003
    [4] A. Hinman, Eradication of vaccine-preventable diseases, Annu. Rev. Public Health, 20 (1999), 211–229. https://doi.org/10.1146/annurev.publhealth.20.1.211 doi: 10.1146/annurev.publhealth.20.1.211
    [5] S. Barrett, Eradication versus control: the economics of global infectious disease policies, Bull. World Health Organ., 82 (2004), 683–688.
    [6] P. Aaby, C. S. Benn, Stopping live vaccines after disease eradication may increase mortality, Vaccine, 38 (2020), 10–14. https://doi.org/10.1016/j.vaccine.2019.10.034 doi: 10.1016/j.vaccine.2019.10.034
    [7] N. L. Stepan, Eradication: Ridding the World of Diseases Forever?, Reaktion Books, 2013.
    [8] W. R. Dowdle, The principles of disease elimination and eradication, Bull. World Health Organ., 76 (1998), 22–25.
    [9] B. Beović, The issue of antimicrobial resistance in human medicine, Int. J. Food Microbiol., 112 (2006), 280–287. https://doi.org/10.1016/j.ijfoodmicro.2006.05.001 doi: 10.1016/j.ijfoodmicro.2006.05.001
    [10] D. S. Schneider, J. S. Ayres, Two ways to survive infection: what resistance and tolerance can teach us about treating infectious diseases, Nat. Rev. Immunol., 8 (2008), 889–895. https://doi.org/10.1038/nri2393 doi: 10.1038/nri2393
    [11] B. Spellberg, R. Guidos, D. Gilbert, J. Bradley, H. W. Boucher, W. M. Scheld, et al., The epidemic of antibiotic-resistant infections: a call to action for the medical community from the Infectious Diseases Society of America, Clin. Infect. Dis., 46 (2008), 155–164. https://doi.org/10.1086/524891 doi: 10.1086/524891
    [12] G. J. Armelagos, P. J. Brown, B. Turner, Evolutionary, historical and political economic perspectives on health and disease, Social Sci. Med., 61 (2005), 755–765. https://doi.org/10.1016/j.socscimed.2004.08.066 doi: 10.1016/j.socscimed.2004.08.066
    [13] C. J. Neiderud, How urbanization affects the epidemiology of emerging infectious diseases, Infect. Ecol. Epidemiol., 5 (2015), 27060. https://doi.org/10.3402/iee.v5.27060 doi: 10.3402/iee.v5.27060
    [14] R. Reyes, R. Ahn, K. Thurber, T. F. Burke, Urbanization and infectious diseases: general principles, historical perspectives, and contemporary challenges, Challenges Infect. Dis., (2013), 123–146. https://doi.org/10.1007/978-1-4614-4496-1_4 doi: 10.1007/978-1-4614-4496-1_4
    [15] I. Frost, T. P. Van Boeckel, J. Pires, J. Craig, R. Laxminarayan, Global geographic trends in antimicrobial resistance: the role of international travel, J. Travel Med., 26 (2019), taz036. https://doi.org/10.1093/jtm/taz036 doi: 10.1093/jtm/taz036
    [16] A. C. Steere, J. Coburn, L. Glickstein, The emergence of Lyme disease, J. Clin. Invest., 113 (2004), 1093–1101. https://doi.org/10.1172/JCI200421681 doi: 10.1172/JCI200421681
    [17] G. Dehner, Legionnaires' disease: Building a better world for you, Environ. Hist., 2018. https://doi.org/10.1093/envhis/emy046
    [18] P. M. Schlievert, T. J. Tripp, M. L. Peterson, Reemergence of staphylococcal toxic shock syndrome in Minneapolis-St. Paul, Minnesota, during the 2000–2003 surveillance period, J. Clin. Microbiol., 42 (2004), 2875–2876. https://doi.org/10.1128/JCM.42.6.2875–2876.2004 doi: 10.1128/JCM.42.6.2875–2876.2004
    [19] W. M. Lee, J. E. Polson, D. S. Carney, B. Sahin, M. Gale Jr, Reemergence of hepatitis C virus after 8.5 years in a patient with hypogammaglobulinemia: evidence for an occult viral reservoir, J. Infect. Dis., 192 (2005), 1088–1092. https://doi.org/10.1086/432917 doi: 10.1086/432917
    [20] S. Sridhar, S. K. P. Lau, P. C. Y. Woo, Hepatitis E: A disease of reemerging importance, J. Formosan Med. Assoc., 114 (2015), 681–690. https://doi.org/10.1016/j.jfma.2015.02.003 doi: 10.1016/j.jfma.2015.02.003
    [21] M. Pal, K. P. Gutama, Hantavirus disease: An emerging and re-emerging viral disease of public health concern, Am. J. Infect. Dis., 12 (2024), 19–22. https://doi.org/10.12691/ajidm-12-1-4 doi: 10.12691/ajidm-12-1-4
    [22] M. T. P. Gilbert, A. Rambaut, G. Wlasiuk, T. J. Spira, A. E. Pitchenik, M. Worobey, The emergence of HIV/AIDS in the Americas and beyond, Proc. Natl. Acad. Sci. U.S.A., 104 (2007), 18566–18570. https://doi.org/10.1073/pnas.070532910 doi: 10.1073/pnas.070532910
    [23] T. W. Chun, R. T. Davey Jr, D. Engel, H. C. Lane, A. S. Fauci, Re-emergence of HIV after stopping therapy, Nature, 401 (1999), 874–875. https://doi.org/10.1038/44755 doi: 10.1038/44755
    [24] R. E. Baker, A. S. Mahmud, I. F. Miller, M. Rajeev, F. Rasambainarivo, B. L. Rice, et al., Infectious disease in an era of global change, Nat. Rev. Microbiol., 20 (2022), 193–205. https://doi.org/10.1038/s41579-021-00639-z doi: 10.1038/s41579-021-00639-z
    [25] H. Liao, C. J. Lyon, B. Ying, T. Hu, Climate change, its impact on emerging infectious diseases and new technologies to combat the challenge, Emerging Microbes Infect., 13 (2024), 2356143. https://doi:10.1080/22221751.2024.2356143 doi: 10.1080/22221751.2024.2356143
    [26] S. P. Luby, J. Davis, R. R. Brown, S. M. Gorelick, T. H. F. Wong, Broad approaches to cholera control in Asia: Water, sanitation and handwashing, Vaccine, 38 (2020), A110–A117. https://doi.org/10.1016/j.vaccine.2019.07.084 doi: 10.1016/j.vaccine.2019.07.084
    [27] G. Chowell, H. Nishiura, Transmission dynamics and control of Ebola virus disease (EVD): a review, BMC Med., 12 (2014), 196. https://doi.org/10.1186/s12916-014-0196-0 doi: 10.1186/s12916-014-0196-0
    [28] G. Ledder, Mathematical Modeling for Epidemiology and Ecology, Springer Undergraduate Texts in Mathematics and Technology, Springer International Publishing, 2023.
    [29] H. W. Hethcote, The mathematics of infectious diseases, SIAM Rev., 42 (2000), 599–653. https://doi.org/10.1137/S003614450037190 doi: 10.1137/S003614450037190
    [30] E. G. Nepomuceno, M. L. C. Peixoto, M. J. Lacerda, A. S. L. O. Campanharo, R. H. C. Takahashi, L. A. Aguirre, Application of optimal control of infectious diseases in a model-free scenario, SN Comput. Sci., 2 (2021), 405. https://doi.org/10.1007/s42979-021-00794-3 doi: 10.1007/s42979-021-00794-3
    [31] O. Sharomi, T. Malik, Optimal control in epidemiology, Ann. Oper. Res., 251 (2017), 55–71. https://doi.org/10.1007/s10479-015-1834-4 doi: 10.1007/s10479-015-1834-4
    [32] T. K. Kar, S. Jana, A theoretical study on mathematical modelling of an infectious disease with application of optimal control, Biosystems, 111 (2013), 37–50. https://doi.org/10.1016/j.biosystems.2012.10.003 doi: 10.1016/j.biosystems.2012.10.003
    [33] S. Lenhart, J. T. Workman, Optimal Control Applied to Biological Models, Chapman and Hall/CRC, 2007. https://doi.org/10.1201/9781420011418
    [34] S. S. Musa, S. Qureshi, S. Zhao, A. Yusuf, U. T. Mustapha, D. He, Mathematical modeling of COVID-19 epidemic with effect of awareness programs, Infect. Dis. Modell., 11 (2021), 448–460. https://doi.org/10.1016/j.idm.2021.01.012 doi: 10.1016/j.idm.2021.01.012
    [35] H. Gaff, E. Schaefer, Optimal control applied to vaccination and treatment strategies for various epidemiological models, Math. Biosci. Eng., 6 (2009), 469–492. https://doi.org/10.3934/mbe.2009.6.469 doi: 10.3934/mbe.2009.6.469
    [36] F. Lin, K. Muthuraman, M. Lawley, An optimal control theory approach to non-pharmaceutical interventions, BMC Infect. Dis., 10 (2010), 1–13. https://doi.org/10.1186/1471-2334-10-32 doi: 10.1186/1471-2334-10-32
    [37] D. Huremović, Psychiatry of Pandemics: a Mental Health Response to Infection Outbreak, Springer, (2019), 85–94. https://doi.org/10.1007/978-3-030-15346-5_8
    [38] S. Guerstein, V. Romeo-Aznar, M. Dekel, O. Miron, N. Davidovitch, R. Puzis, et al., The interplay between vaccination and social distancing strategies affects COVID-19 population-level outcomes, PLoS Comput. Biol., 17 (2021), e1009319. https://doi.org/10.1371/journal.pcbi.1009319 doi: 10.1371/journal.pcbi.1009319
    [39] R. Katz, A. Vaught, S. J. Simmens, Local decision making for implementing social distancing in response to outbreaks, Public Health Rep., 134 (2019), 150–154. https://doi.org/10.1177/0033354918819755 doi: 10.1177/0033354918819755
    [40] G. Ledder, S. Manzoni, An optimal control problem for resource utilisation by microorganisms, Int. J. Math. Educ. Sci. Technol., 55 (2024), 547–564. https://doi.org/10.1080/0020739X.2023.2254314 doi: 10.1080/0020739X.2023.2254314
    [41] A. Keimer, L. Pflug, Modeling infectious diseases using integro-differential equations: optimal control strategies for policy decisions and applications in COVID-19, Res Gate, 10 (2020). https://doi.org/10.13140/RG.2.2.10845.44000 doi: 10.13140/RG.2.2.10845.44000
    [42] J. Mondal, S. Khajanchi, P. Samui, Impact of media awareness in mitigating the spread of an infectious disease with application to optimal control, Eur. Phys. J. Plus, 137 (2022), 983. https://doi.org/10.1140/epjp/s13360-022-03156-x doi: 10.1140/epjp/s13360-022-03156-x
    [43] A. Rachah, A mathematical model with isolation for the dynamics of Ebola virus, in Journal of Physics: Conference Series, 1132 (2018), 012058. https://doi.org/10.1088/1742-6596/1132/1/012058
    [44] M. D. Ahmad, M. Usman, A. Khan, M. Imran, Optimal control analysis of Ebola disease with control strategies of quarantine and vaccination, Infect. Dis. Poverty, 5 (2016), 1–12. https://doi.org/10.1186/s40249-016-0161-6 doi: 10.1186/s40249-016-0161-6
    [45] E. Bonyah, K. Badu, S. K. Asiedu-Addo, Optimal control application to an Ebola model, Asian Pac. J. Trop. Biomed., 6 (2016), 283–289. https://doi.org/10.1016/j.apjtb.2016.01.012 doi: 10.1016/j.apjtb.2016.01.012
    [46] I. Area, F. Ndairou, J. J. Nieto, C. J. Silva, D. F. M. Torres, Ebola model and optimal control with vaccination constraints, preprint, arXiv: 1703.01368.
    [47] G. Chowell, B. Cazelles, H. Broutin, C. V. Munayco, The influence of geographic and climate factors on the timing of dengue epidemics in Perú, 1994–2008, BMC Infect. Dis., 11 (2011), 164. https://doi.org/10.1186/1471-2334-11-164 doi: 10.1186/1471-2334-11-164
    [48] J. H. Arias-Castro, H. J. Martinez-Romero, O. Vasilieva, Biological and chemical control of mosquito population by optimal control approach, Games, 11 (2020), 62. https://doi.org/10.3390/g11040062 doi: 10.3390/g11040062
    [49] F. B. Agusto, M. A. Khan, Optimal control strategies for dengue transmission in Pakistan, Math. Biosci., 305 (2018), 102–121. https://doi.org/10.1016/j.mbs.2018.09.007 doi: 10.1016/j.mbs.2018.09.007
    [50] M. A. L. Caetano, T. Yoneyama, Optimal and sub-optimal control in Dengue epidemics, Optim. Control. Appl. Methods, 22 (2001), 63–73. https://doi.org/10.1002/oca.683 doi: 10.1002/oca.683
    [51] K. P. Wijaya, T. Götz, E. Soewono, An optimal control model of mosquito reduction management in a dengue endemic region, Int. J. Biomath., 7 (2014), 1450056. https://doi.org/10.1142/S1793524514500569 doi: 10.1142/S1793524514500569
    [52] L. Lin, Y. Liu, X. Tang, D. He, The disease severity and clinical outcomes of the SARS-CoV-2 variants of concern, Front. Public Health, 9 (2021), 775224. https://doi.org/10.3389/fpubh.2021.775224 doi: 10.3389/fpubh.2021.775224
    [53] H. R. Sayarshad, An optimal control policy for COVID-19 pandemic until a vaccine deployment, MedRxiv, (2020), 2020-09. https://doi.org/10.1101/2020.09.26.20202325
    [54] G. A. Salcedo-Varela, F. Peñuñuri, D. González-Sánchez, S. Díaz-Infante, Synchronizing lockdown and vaccination policies for COVID-19: An optimal control approach based on piecewise constant strategies, Optim. Control. Appl. Methods, 45 (2024), 523–543. https://doi.org/10.1002/oca.3032 doi: 10.1002/oca.3032
    [55] A. Rachah, Optimal control strategies for assessing the impact of medical masks on COVID-19 dynamics: global perspectives and societal well-being, Open J. Social Sci., 12 (2024), 315–330. https://doi.org/10.4236/jss.2024.123022 doi: 10.4236/jss.2024.123022
    [56] H. Bohloli, H. R. Jamshidi, A. Ebraze, F. Rabbani Khah, Combining government, non-pharmaceutical interventions and vaccination in optimal control COVID-19, Int. J. Healthcare Manage., 16 (2023), 61–69. https://doi.org/10.1080/20479700.2022.2071803 doi: 10.1080/20479700.2022.2071803
    [57] L. Mari, R. Casagrandi, E. Bertuzzo, D. Pasetto, S. Miccoli, A. Rinaldo, et al., The epidemicity index of recurrent SARS-CoV-2 infections, Nat. Commun., 12 (2021), 2752. https://doi.org/10.1038/s41467-021-22878-7 doi: 10.1038/s41467-021-22878-7
    [58] J. C. Lemaitre, D. Pasetto, M. Zanon, E. Bertuzzo, L. Mari, S. Miccoli, et al., Optimal control of the spatial allocation of COVID-19 vaccines: Italy as a case study, PLoS Comput. Biol., 18 (2022), e1010237. https://doi.org/10.1371/journal.pcbi.1010237 doi: 10.1371/journal.pcbi.1010237
    [59] D. Louz, H. E. Bergmans, B. P. Loos, R. C. Hoeben, Emergence of viral diseases: mathematical modeling as a tool for infection control, policy and decision making, Crit. Rev. Microbiol., 36 (2010), 195–211. https://doi.org/10.3109/10408411003604619 doi: 10.3109/10408411003604619
    [60] E. Jung, S. Iwami, Y. Takeuchi, T. Jo, Optimal control strategy for prevention of avian influenza pandemic, J. Theor. Biol., 260 (2009), 220–229. https://doi.org/10.1016/j.jtbi.2009.05.031 doi: 10.1016/j.jtbi.2009.05.031
    [61] S. Lee, G. Chowell, C. Castillo-Chávez, Optimal control for pandemic influenza: the role of limited antiviral treatment and isolation, J. Theor. Biol., 265 (2010), 136–150. https://doi.org/10.1016/j.jtbi.2010.04.003 doi: 10.1016/j.jtbi.2010.04.003
    [62] K. O. Okosun, R. Ouifki, N. Marcus, Optimal control strategies and cost-effectiveness analysis of a malaria model, BioSystems, 111 (2013), 83–101. https://doi.org/10.1016/j.biosystems.2012.09.008 doi: 10.1016/j.biosystems.2012.09.008
    [63] W. Valega-Mackenzie, K. Ríos-Soto, S. Lenhart, Optimal control applied to Zika virus epidemics in Colombia and Puerto Rico, J. Theor. Biol., 575 (2023), 111647. https://doi.org/10.1016/j.jtbi.2023.111647 doi: 10.1016/j.jtbi.2023.111647
    [64] H. R. Joshi, Optimal control of an HIV immunology model, Optim. Control. Appl. Methods, 23 (2002), 199–213. https://doi.org/10.1002/oca.710 doi: 10.1002/oca.710
    [65] S. Lee, G. Chowell, Exploring optimal control strategies in seasonally varying flu-like epidemics, J. Theor. Biol., 412 (2017), 36–47. https://doi.org/10.1016/j.jtbi.2016.09.023 doi: 10.1016/j.jtbi.2016.09.023
    [66] U. Ledzewicz, H. Maurer, H. Schättler, Bang-bang optimal controls for a mathematical model of chemo-and immunotherapy in cancer, Discrete Contin. Dyn. Syst. - Ser. B, 29 (2024), 1481–1500. https://doi.org/10.3934/dcdsb.2023141 doi: 10.3934/dcdsb.2023141
    [67] G. Giordano, F. Blanchini, R. Bruno, P. Colaneri, A. Di Filippo, A. Di Matteo, et al., Modelling the COVID-19 epidemic and implementation of population-wide interventions in Italy, Nat. Med., 26 (2020), 855–860. https://doi.org/10.1038/s41591-020-0883-7 doi: 10.1038/s41591-020-0883-7
    [68] J. M. Read, J. R. E. Bridgen, D. A. T. Cummings, A. Ho, C. P. Jewell, Novel coronavirus 2019-nCoV (COVID-19): early estimation of epidemiological parameters and epidemic size estimates, Phil. Trans. R. Soc. B, 376 (2021), 20200265. https://doi.org/10.1098/rstb.2020.0265 doi: 10.1098/rstb.2020.0265
    [69] R. Dandekar, G. Barbastathis, Quantifying the effect of quarantine control in COVID-19 infectious spread using machine learning, MedRxiv, (2020), 2020-04. https://doi.org/10.1101/2020.04.03.20052084
    [70] D. Zou, L. Wang, P. Xu, J. Chen, W. Zhang, Q. Gu, Epidemic model guided machine learning for COVID-19 forecasts in the United States, MedRxiv, (2020), 2020-05. https://doi.org/10.1101/2020.05.24.20111989
    [71] J. T. Wu, K. Leung, G. M. Leung, Nowcasting and forecasting the potential domestic and international spread of the 2019-nCoV outbreak originating in Wuhan, China: a modelling study, Lancet, 395 (2020), 689–697. https://doi.org/10.1016/S0140-6736(20)30260-9 doi: 10.1016/S0140-6736(20)30260-9
    [72] Z. Yang, Z. Zeng, K. Wang, S. S. Wong, W. Liang, M. Zanin, et al., Modified SEIR and AI prediction of the epidemics trend of COVID-19 in China under public health interventions, J. Thoracic Dis., 12 (2020), 165. https://doi.org/10.21037/jtd.2020.02.64 doi: 10.21037/jtd.2020.02.64
    [73] A. Scherer, A. McLean, Mathematical models of vaccination, Br. Med. Bull., 62 (2002), 187–199. https://doi.org/10.1093/bmb/62.1.187 doi: 10.1093/bmb/62.1.187
    [74] B. Tang, X. Wang, Q. Li, N. L. Bragazzi, S. Tang, Y. Xiao, et al., Estimation of the transmission risk of the 2019-nCoV and its implication for public health interventions, J. Clin. Med., 9 (2020), 462. https://doi.org/10.3390/jcm9020462 doi: 10.3390/jcm9020462
    [75] C. Tsay, F. Lejarza, M. A. Stadtherr, M. Baldea, Modeling, state estimation, and optimal control for the US COVID-19 outbreak, Sci. Rep., 10 (2020), 10711. https://doi.org/10.1038/s41598-020-67459-8 doi: 10.1038/s41598-020-67459-8
    [76] R. Luo, A. D. Herrera-Reyes, Y. Kim, S. Rogowski, D. White, A. Smirnova, Estimation of time-dependent transmission rate for COVID-19 SVIRD model using predictor–corrector algorithm, in Mathematical Modeling for Women's Health: Collaborative Workshop for Women in Mathematical Biology, (2024), 213–237. https://doi.org/10.1007/978-3-031-58516-6
    [77] A. Smirnova, M. Baroonian, Reconstruction of incidence reporting rate for SARS-CoV-2 Delta variant of COVID-19 pandemic in the US, Infect. Dis. Modell., 9 (2024), 70–83. https://doi.org/10.1016/j.idm.2023.12.001 doi: 10.1016/j.idm.2023.12.001
    [78] Centers for Disease Control and Prevention, United States COVID-19 Cases and Deaths by State over Time (ARCHIVED). Available from: https://data.cdc.gov/Case-Surveillance/United-States-COVID-19-Cases-and-Deaths-by-State-o/9mfq-cb36.
    [79] CDC, Trends in Number of COVID-19 Vaccinations in the US, 2022. Available from: https://covid.cdc.gov/covid-data-tracker/#vaccination-trends.
    [80] E. P. Esteban, L. Almodovar-Abreu, Assessing the impact of vaccination in a COVID-19 compartmental model, Inf. Med. Unlocked, 27 (2021), 100795. https://doi.org/10.1016/j.imu.2021.100795 doi: 10.1016/j.imu.2021.100795
    [81] M. Dashtbali, M. Mirzaie, A compartmental model that predicts the effect of social distancing and vaccination on controlling COVID-19, Sci. Rep., 11 (2021), 8191. https://doi.org/10.1038/s41598-021-86873-0 doi: 10.1038/s41598-021-86873-0
    [82] A. Smirnova, M. Baroonian, X. Ye, Optimal epidemic control with nonmedical and medical interventions, Mathematics, 12 (2024), 2811. https://www.mdpi.com/2227-7390/12/18/2811
    [83] L. S. Pontryagin, Mathematical Theory of Optimal Processes, Routledge, 2018. https://doi.org/10.1201/9780203749319
    [84] A. Smirnova, X. Ye, On optimal control at the onset of a new viral outbreak, Infect. Dis. Modell., 9 (2024), 995–1006. https://doi.org/10.1016/j.idm.2024.05.006 doi: 10.1016/j.idm.2024.05.006
    [85] N. Tuncer, A. Timsina, M. Nuno, G. Chowell, M. Martcheva, Parameter identifiability and optimal control of a SARS-CoV-2 model early in the pandemic, J. Biol. Dyn., 16 (2022), 412–438. https://doi.org/10.1080/17513758.2022.2078899 doi: 10.1080/17513758.2022.2078899
    [86] M. L. Diagne, F. B. Agusto, H. Rwezaura, J. M. Tchuenche, S. Lenhart, Optimal control of an epidemic model with treatment in the presence of media coverage, Sci. Afr., 24 (2024), e02138. https://doi.org/10.1016/j.sciaf.2024.e02138 doi: 10.1016/j.sciaf.2024.e02138
    [87] E. Howerton, K. Dahlin, C. J. Edholm, L. Fox, M. Reynolds, B. Hollingsworth, et al., The effect of governance structures on optimal control of two-patch epidemic models, J. Math. Biol., 87 (2023), 74. https://doi.org/10.1007/s00285-023-02001-8 doi: 10.1007/s00285-023-02001-8
    [88] U. Ledzewicz, H. Schättler, On optimal singular controls for a general SIR-model with vaccination and treatment, in Conference Publications, 2011 (2011), 981–990. https://doi.org/10.3934/proc.2011.2011.981
    [89] P. E. Parham, J. Waldock, G. K. Christophides, D. Hemming, F. Agusto, K. J. Evans, et al., Climate, environmental and socio-economic change: weighing up the balance in vector-borne disease transmission, Philos. Trans. R. Soc. London, Ser. B, 370 (2015), 20130551. http://dx.doi.org/10.1098/rstb.2013.0551 doi: 10.1098/rstb.2013.0551
    [90] J. A. Patz, P. Daszak, G. M. Tabor, A. A. Aguirre, M. Pearl, J. Epstein, et al., Unhealthy landscapes: policy recommendations on land use change and infectious disease emergence, Environ. Health Perspect., 112 (2004), 1092–1098. https://doi.org/10.1289/ehp.68 doi: 10.1289/ehp.68
  • Reader Comments
  • © 2024 the Author(s), licensee AIMS Press. This is an open access article distributed under the terms of the Creative Commons Attribution License (http://creativecommons.org/licenses/by/4.0)
通讯作者: 陈斌, bchen63@163.com
  • 1. 

    沈阳化工大学材料科学与工程学院 沈阳 110142

  1. 本站搜索
  2. 百度学术搜索
  3. 万方数据库搜索
  4. CNKI搜索

Metrics

Article views(2456) PDF downloads(76) Cited by(0)

Article outline

Figures and Tables

Figures(27)  /  Tables(8)

Other Articles By Authors

/

DownLoad:  Full-Size Img  PowerPoint
Return
Return

Catalog