Research article Special Issues

Analysis of amperometric biosensor utilizing synergistic substrates conversion: Akbari-Ganji's method

  • Published: 11 September 2024
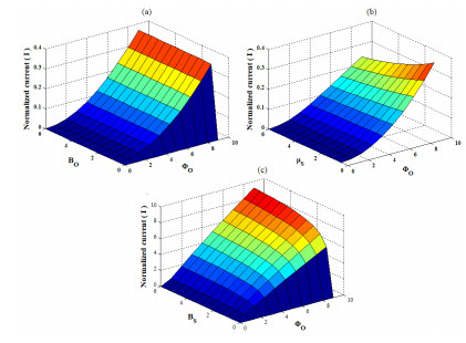
  • The biological recognition of enzymes was the basis of enzyme-based chemical biosensors. It is essential for a biosensor to function under normal operating conditions so that enzymes can catalyze biochemical reactions. The mechanism of a modified enzyme-membrane electrode in a catalytic cycle was described using a mathematical model. The nonlinear terms associated with enzyme kinetics were presented in this model. The Akbari-Ganji's method (AGM) was used to calculate the semi-analytical expressions for species concentration and normalized current. For all possible values of the Thiele modulus, normalized surface concentration of the oxidized mediator, and normalized surface concentration of the substrate, a simple and approximate hyperbolic expression of concentrations of an oxidized mediator, substrate, and reduced mediator were derived. The numerical simulation was then verified using semi-analytical results. The numerical simulation and semi-analytical predictions agreed well with each other.

    Citation: K. P. V. Preethi, H. Alotaibi, J. Visuvasam. Analysis of amperometric biosensor utilizing synergistic substrates conversion: Akbari-Ganji's method[J]. Mathematical Modelling and Control, 2024, 4(3): 350-360. doi: 10.3934/mmc.2024028

    Related Papers:

  • The biological recognition of enzymes was the basis of enzyme-based chemical biosensors. It is essential for a biosensor to function under normal operating conditions so that enzymes can catalyze biochemical reactions. The mechanism of a modified enzyme-membrane electrode in a catalytic cycle was described using a mathematical model. The nonlinear terms associated with enzyme kinetics were presented in this model. The Akbari-Ganji's method (AGM) was used to calculate the semi-analytical expressions for species concentration and normalized current. For all possible values of the Thiele modulus, normalized surface concentration of the oxidized mediator, and normalized surface concentration of the substrate, a simple and approximate hyperbolic expression of concentrations of an oxidized mediator, substrate, and reduced mediator were derived. The numerical simulation was then verified using semi-analytical results. The numerical simulation and semi-analytical predictions agreed well with each other.



    加载中


    [1] E. Simon, C. M. Halliwell, C. S. Toh, A. E. G. Cass, P. N. Bartlett, Immobilisation of enzymes on poly(aniline)-poly(anion) composite films. Preparation of bioanodes for biofuel cell applications, Bioelectrochemistry, 55 (2002), 13–15. https://doi.org/10.1016/s1567-5394(01)00160-8 doi: 10.1016/s1567-5394(01)00160-8
    [2] M. D. Trevan, Immobilised enzymes, 2 Eds., Wiley, 1989.
    [3] Q. T. Nguyen, Z. Ping, T. Nguyen, P. Rigal, Simple method for immobilization of bio-macromolecules onto membranes of different types, J. Membr. Sci., 213 (2003), 85–95. https://doi.org/10.1016/S0376-7388(02)00515-X doi: 10.1016/S0376-7388(02)00515-X
    [4] A. Bhardwaj, L. Jinbo, K. Glauner, S. Ganapathi, D. Bhattacharyya, D. A. Butterfield, Biofunctional membranes: an EPR study of active site structure and stability of papain non-covalently immobilized on the surface of modified poly(ether)sulfone membranes through the avidin-biotin linkage, J. Membr. Sci., 119 (1996), 241–252. https://doi.org/10.1016/0376-7388(96)00124-X doi: 10.1016/0376-7388(96)00124-X
    [5] G. G. Guilbault, Immobilised enzymes and cells, In: K. Mosbach, Methods in enzymology, Academic Press, 1988.
    [6] L. M. Robeson, Correlation of separation factor versus permeability for polymericmembranes, J. Membr. Sci., 62 (1991), 165–185. https://doi.org/10.1016/0376-7388(91)80060-J doi: 10.1016/0376-7388(91)80060-J
    [7] A. M. Gronda, S. Buechel, E. L. Cussler, Mass transfer in corrugated membranes, J. Membr. Sci., 165 (2000), 177–187. https://doi.org/10.1016/S0376-7388(99)00230-6 doi: 10.1016/S0376-7388(99)00230-6
    [8] J. J. Gooding, E. A. H. Hall, Parameters in the design of oxygen detecting oxidase enzyme electrodes, Electroanalysis, 8 (1996), 407–413. https://doi.org/10.1002/elan.1140080502 doi: 10.1002/elan.1140080502
    [9] S. Turmanova, A. Trifonov, O. Kalaijiev, G. Kostov, Radiation grafting of acrylic acid onto polytetrafluoroethylene films for glucose oxidase immobilization and its application in membrane biosensor, J. Membr. Sci., 127 (1997), 1–7. https://doi.org/10.1016/S0376-7388(96)00277-3 doi: 10.1016/S0376-7388(96)00277-3
    [10] T. Y. Ohara, R. Rajagopalan, A. Hellcr, Research article glucose electrodes based on cross-linked bis(2, 2'-bipyridine) chloroosmium(+/2+) complexed poly(1-vinylimidazole) films, Anal. Chem., 65 (1993), 3512–3517. https://doi.org/10.1021/ac00071a031 doi: 10.1021/ac00071a031
    [11] J. I. R. de Corcuera, R. P. Cavalieri, J. R. Powers, J. Tang, Amperometric enzyme biosensor optimization using mathematical modeling, Proceedings of the 2004 ASAE/CSAE Annual International Meeting, 2004. https://doi.org/10.13031/2013.17018 doi: 10.13031/2013.17018
    [12] O. V. Klymenko, C. Amatore, W. Sun, Y. Zhou, Z. Tian, I. Svir, Theory and computational study of electrophoretic ion separation and focusing in microfluidic channels, Nonlinear Anal., 17 (2012), 431–447. https://doi.org/10.15388/NA.17.4.14049 doi: 10.15388/NA.17.4.14049
    [13] Y. Nishio, S. Uno, K. Nakazato, Three-dimensional simulation of DNA sensing by ion-sensitive field-effect transistor: optimization of DNA position and orientation, Jpn. J. Appl. Phys., 52 (2013), 04CL01. https://doi.org/10.7567/JJAP.52.04CL01 doi: 10.7567/JJAP.52.04CL01
    [14] T. Schulmeister, D. Pfeiffer, Mathematical modelling of amperometric enzyme electrodes with perforated membranes, Biosens. Bioelectron., 8 (1993), 75. https://doi.org/10.1016/0956-5663(93)80055-T doi: 10.1016/0956-5663(93)80055-T
    [15] W. E. Morf, P. D. van der Wal, E. Pretsch, N. F. de Rooij, Theoretical treatment and numerical simulation of potentiometric and amperometric enzyme electrodes and of enzyme reactors. Part 1: steady-state concentration profiles, fluxes, and responses, J. Electroanal. Chem., 657 (2011), 1–12. https://doi.org/10.1016/j.jelechem.2011.02.007 doi: 10.1016/j.jelechem.2011.02.007
    [16] R. Baronas, F. Ivanauskas, J. Kulys, Mathematical modeling of biosensors, Springer, 2010. https://doi.org/10.1007/978-90-481-3243-0
    [17] R. A. Croce, S. Vaddiraju, F. Papadimitrakopoulos, F. C. Jain, Theoretical analysis of the performance of glucose sensors with layer-by-layer assembled outer membranes, Sensors, 12 (2012), 13402. https://doi.org/10.3390/s121013402 doi: 10.3390/s121013402
    [18] A. J. Bergren, M. D. Porter, The characteristics of selective heterogeneous electron transfer for optimization of redox recycling amplification systems, J. Math. Chem., 591 (2006), 189–200. https://doi.org/10.1016/j.jelechem.2006.04.005 doi: 10.1016/j.jelechem.2006.04.005
    [19] J. Kulys, Z. Dapkunas, The effectiveness of synergistic enzymatic reaction with limited mediator stability, Nonlinear Anal., 12 (2007), 495–501. https://doi.org/10.15388/NA.2007.12.4.14680 doi: 10.15388/NA.2007.12.4.14680
    [20] J. Kulys, L. Tetianec, Synergistic substrates determination with biosensors, Biosens. Bioelectron., 21 (2005), 152–158. https://doi.org/10.1016/j.bios.2004.08.013 doi: 10.1016/j.bios.2004.08.013
    [21] E. Gaidamauskaite, R. Baronas, J. Kulys, Modelling synergistic action of laccasebased biosensor utilizing simultaneous substrates conversion, J. Math. Chem., 49 (2011), 1573–1586. https://doi.org/10.1007/s10910-011-9844-1 doi: 10.1007/s10910-011-9844-1
    [22] S. Loghambal, L. Rajendran, Mathematical modeling in amperometric oxidase enzyme-membrane electrodes, J. Membr. Sci., 373 (2011), 20–28. https://doi.org/10.1016/j.memsci.2011.02.033 doi: 10.1016/j.memsci.2011.02.033
    [23] J. J. Gooding, E. A. H. Hall, Practical and theoretical evaluation of an alternative geometry enzyme electrode, J. Electroanal. Chem., 417 (1996), 25–33. https://doi.org/10.1016/S0022-0728(96)04752-3 doi: 10.1016/S0022-0728(96)04752-3
    [24] G. Adomian, Convergent series solution of nonlinear equations, J. Comput. Appl. Math., 11 (1984), 225–230. https://doi.org/10.1016/0377-0427(84)90022-0 doi: 10.1016/0377-0427(84)90022-0
    [25] M. C. Devi, P. Pirabaharan, L. Rajendran, M. Abukhaled, An efcient method for fnding analytical expressions of substrate concentrations for diferent particles in an immobilized enzyme system, React. Kinet. Mech. Cat., 130 (2020), 35–53. https://doi.org/10.1007/s11144-020-01757-0 doi: 10.1007/s11144-020-01757-0
    [26] M. E. G. Lyons, Transport and kinetics in electrocatalytic thin film conducting polymer biosensors: bounded diffusion with Michaelis-Menten kinetics incorporating general inhibition effects, Int. J. Electrochem. Sci., 15 (2020), 6060–6090. https://doi.org/10.20964/2020.07.01 doi: 10.20964/2020.07.01
    [27] K. J. Otto, M. D. Johnson, D. R. Kipke, Voltage pulses change neural interface properties and improve unit recordings with chronically implanted microelectrodes, IEEE Trans. Biomed. Eng., 53, (2006), 333–340. https://doi.org/10.1109/tbme.2005.862530 doi: 10.1109/tbme.2005.862530
    [28] E. Katz, I. Willner, Probing biomolecular interactions at conductive and semi conductive surfaces by impedance spectroscopy: routes to impedimetric immunosensors, dna-sensors, and enzyme biosensors, Electroanalysis, 15 (2003), 913–947. https://doi.org/10.1002/elan.200390114 doi: 10.1002/elan.200390114
    [29] V. Sankar, E. Patrick, R. Dieme, J. C. Sanchez, A. Prasad, T. Nishida, Electrode impedance analysis of chronic tungsten microwire neural implants: understanding abiotic vs. biotic contributions, Front. Neuroeng., 7 (2014), 00013. https://doi.org/10.3389/fneng.2014.00013 doi: 10.3389/fneng.2014.00013
    [30] W. Albery, P. N. Bartlett, B. J. Driscoll, R. Lennox, Amperometric enzyme electrodes: Part 5. The homogeneous mediated mechanism, J. Electroanal. Chem., 323 (1992), 77–102. https://doi.org/10.1016/0022-0728(92)80004-N doi: 10.1016/0022-0728(92)80004-N
    [31] P. Bartlett, R. Whitaker, Electrochemical immobilisation of enzymes: Part I. Theory, J. Electroanal. Chem. Interfacial Electrochem., 224 (1992), 27–35. https://doi.org/10.1016/0022-0728(87)85081-7 doi: 10.1016/0022-0728(87)85081-7
    [32] P. Bartlett, K. Pratt, Modelling of processes in enzyme electrodes, Biosens. Bioelectron., 8 (1993), 451–462. https://doi.org/10.1016/0956-5663(93)80030-S doi: 10.1016/0956-5663(93)80030-S
    [33] J. Visuvasam, A. Hammad, Analysis of Von Kármán swirling flows due to a porous rotating disk electrode, Micromachines, 14 (2023), 582. https://doi.org/10.3390/mi14030582 doi: 10.3390/mi14030582
    [34] J. Galceran, S. Taylor, P. Bartlett, Modelling the steady-state current at the inlaid disc microelectrode for homogeneous mediated enzyme catalysed reactions, J. Electroanal. Chem., 506 (2001), 65–81. https://doi.org/10.1016/S0022-0728(01)00503-4 doi: 10.1016/S0022-0728(01)00503-4
    [35] M. Shoaib, G. Zubair, K. S. Nisar, M. A. Z. Raja, M. I. Khan, R. J. P. Gowda, et al., Ohmic heating effects and entropy generation for nanofluidic system of Ree-Eyring fluid: intelligent computing paradigm, Int. Commun. Heat Mass Transfer, 129 (2021), 105683. https://doi.org/10.1016/j.icheatmasstransfer.2021.105683 doi: 10.1016/j.icheatmasstransfer.2021.105683
    [36] Y. Xu, S. Faisal, K. M. Ijaz, R. N. Kumar, R. J. P. Gowda, B. C. Prasannakumara, et al., New modeling and analytical solution of fourth grade (non-Newtonian) fluid by a stretchable magnetized Riga device, Int. J. Mod. Phys. C, 33 (2022), 2250013. https://doi.org/10.1142/S0129183122500139 doi: 10.1142/S0129183122500139
    [37] M. Sunitha, F. Gamaoun, A. Abdulrahman, N. S. Malagi, S. Singh, R. J. Gowda, et al., An efficient analytical approach with novel integral transform to study the two-dimensional solute transport problem, Ain Shams Eng. J., 14 (2022), 101878. https://doi.org/10.1016/j.asej.2022.101878 doi: 10.1016/j.asej.2022.101878
    [38] R. J. P. Gowda, R. Naveenkumar, J. K. Madhukesh, B. C. Prasannakumara, R. S. R. Gorla, Theoretical analysis of SWCNT-MWCNT/H2O hybrid flow over an upward/downward moving rotating disk, Proc. Inst. Mech. Eng. Part N, 235 (2021), 97–106. https://doi.org/10.1177/2397791420980282 doi: 10.1177/2397791420980282
    [39] O. A. Bég, U. S. Mahabaleshwar, M. M. Rashidi, N. Rahimzadeh, J. L. C. Sosa, I. Sarris, et al., Homotopy analysis of magnetohydrodynamic convection flow in manufacture of a viscoelastic fabric for space applications, Int. J. Appl. Math. Mech., 10 (2014), 9–49.
    [40] G. Sowmya, R. S. V. Kumar, M. D. Alsulami, B. C. Prasannakumara, Thermal stress and temperature distribution of an annular fin with variable temperature-dependent thermal properties and magnetic field using DTM-Pade approximant, Waves Random Complex Media, 2022. https://doi.org/10.1080/17455030.2022.2039421 doi: 10.1080/17455030.2022.2039421
    [41] K. M. Dharmalingam, M. Veeramuni, Akbari-Ganji's method (AGM) for solving non-linear reaction-diffusion equation in the electroactive polymer film, J. Electroanal. Chem., 844 (2019), 1–5. https://doi.org/10.1016/j.jelechem.2019.04.061 doi: 10.1016/j.jelechem.2019.04.061
    [42] M. R. Akbari, D. D. Ganji, A. R. Goltabar, S. H. H. Kachapi, Analyzing the nonlinear vibrational wave differential equation for the simplified model of tower cranes by algebraic method, Front. Mech. Eng., 9 (2014), 58–70. https://doi.org/10.1016/j.ijoes.2023.100113 doi: 10.1016/j.ijoes.2023.100113
    [43] R. Swaminathan, M. C. Devi, L. Rajendran, K. Venugopal, Sensitivity and resistance of amperometric biosensors in substrate inhibition processes, J. Electroanal. Chem., 895 (2021), 115527. https://doi.org/10.1016/j.jelechem.2021.115527 doi: 10.1016/j.jelechem.2021.115527
    [44] A. Reena, S. G. Karpagavalli, L. Rajendran, B. Manimegalai, R. Swaminathan, Theoretical analysis of putrescine enzymatic biosensor with optical oxygen transducer in sensitive layer using Akbari-Ganji method, Int. J. Electrochem. Sci., 18 (2023), 100113. https://doi.org/10.1016/j.ijoes.2023.100113 doi: 10.1016/j.ijoes.2023.100113
    [45] M. R. Akbari, D. D. Ganji, M. Nimafar, A. R. Ahmadi, Significant progress in solution of nonlinear equations at displacement of structure and heat transfer extended surface by new AGM approach, Front. Mech. Eng., 9 (2014), 390–401. https://doi.org/10.1007/s11465-014-0313-y doi: 10.1007/s11465-014-0313-y
    [46] B. Manimegalai, M. E. G. Lyons, L. Rajendran, A kinetic model for amperometric immobilized enzymes at planar, cylindrical and spherical electrodes: the Akbari-Ganji method, J. Electroanal. Chem., 880 (2021), 114921. https://doi.org/10.1016/j.jelechem.2020.114921 doi: 10.1016/j.jelechem.2020.114921
    [47] R. Shanthi, D. M. Chitra, M. Abukhaled, M. E. G. Lyons, L. Rajendran, Mathematical modeling of pH-based potentiometric biosensor using Akbari-Ganji method, Int. J. Electrochem. Sci., 17 (2022), 220349. https://doi.org/10.20964/2022.03.48 doi: 10.20964/2022.03.48
    [48] K. Ranjani, R. Swaminathan, S. G. Karpagavalli, Mathematical modelling of a mono-enzyme dual amperometric biosensor for enzyme-catalyzed reactions using homotopy analysis and Akbari-Ganji methods, Int. J. Electrochem. Sci., 18 (2023), 100220. https://doi.org/10.1016/j.ijoes.2023.100220 doi: 10.1016/j.ijoes.2023.100220
    [49] M. A. Attar, M. Roshani, K. Hosseinzadeh, D. D. Ganji, Analytical solution of fractional differential equations by Akbari-Ganji's method, Partial Differ. Equations Appl. Math., 6 (2022), 100450. https://doi.org/10.1016/j.padiff.2022.100450 doi: 10.1016/j.padiff.2022.100450
    [50] J. Visuvasam, A. Meena, L. Rajendran, New analytical method for solving nonlinear equation in rotating disk electrodes for second order ECE reactions, J. Electroanal. Chem., 869 (2020), 114106. https://doi.org/10.1016/j.jelechem.2020.114106 doi: 10.1016/j.jelechem.2020.114106
    [51] J. He, A simple approach to one-dimensional convection-diffusion equation and its fractional modification for E reaction arising in rotating disk electrode, J. Electroanal. Chem., 854 (2019), 113565. https://doi.org/10.1016/j.jelechem.2019.113565 doi: 10.1016/j.jelechem.2019.113565
    [52] L. Shunmugham, L. Rajendran, Analytical expressions for steady-state concentrations of substrate and oxidized and reduced mediator in an amperometric biosensor, Int. J. Electrochem., 2013, 812856. https://doi.org/10.1155/2013/812856 doi: 10.1155/2013/812856
  • Reader Comments
  • © 2024 the Author(s), licensee AIMS Press. This is an open access article distributed under the terms of the Creative Commons Attribution License (http://creativecommons.org/licenses/by/4.0)
通讯作者: 陈斌, bchen63@163.com
  • 1. 

    沈阳化工大学材料科学与工程学院 沈阳 110142

  1. 本站搜索
  2. 百度学术搜索
  3. 万方数据库搜索
  4. CNKI搜索

Metrics

Article views(2245) PDF downloads(84) Cited by(1)

Article outline

Figures and Tables

Figures(6)  /  Tables(2)

Other Articles By Authors

/

DownLoad:  Full-Size Img  PowerPoint
Return
Return

Catalog