Research article Special Issues

MHD Casson nanofluid boundary layer flow in presence of radiation and non-uniform heat source/sink

  • Published: 21 July 2023
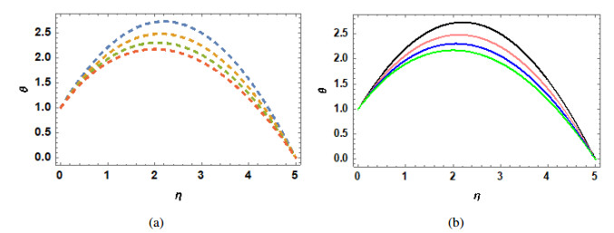
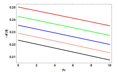
  • On stretched magnetic surfaces, we present a numerical study of Casson nanofluids moving through porous materials. The Casson liquid model explains how non-Newtonian liquids behave. Numerical techniques are utilized to solve the nonlinear partial differential equations produced by similarity transformations. Results are gathered for the Nusselt number, skin friction coefficient, temperature and velocity. The impacts of physical variables on the flow and heat transfer characteristics of nanofluids are depicted in graphs. They include the Prandtl number, magnetic parameter, radiation parameter, porosity parameter and Casson parameter. Findings indicate that as the Casson nanofluid parameters are increased, the temperature profile rises but the velocity field decreases. With increasing magnetic parameters alone, it is possible to see a decrease in the thickness of the pulse boundary layer and an increase in the thickness of the thermal boundary layer. All the results are depicted in graphical representations.

    Citation: Bharatkumar K. Manvi, Shravankumar B. Kerur, Jagadish V Tawade, Juan J. Nieto, Sagar Ningonda Sankeshwari, Hijaz Ahmad, Vediyappan Govindan. MHD Casson nanofluid boundary layer flow in presence of radiation and non-uniform heat source/sink[J]. Mathematical Modelling and Control, 2023, 3(3): 152-167. doi: 10.3934/mmc.2023014

    Related Papers:

  • On stretched magnetic surfaces, we present a numerical study of Casson nanofluids moving through porous materials. The Casson liquid model explains how non-Newtonian liquids behave. Numerical techniques are utilized to solve the nonlinear partial differential equations produced by similarity transformations. Results are gathered for the Nusselt number, skin friction coefficient, temperature and velocity. The impacts of physical variables on the flow and heat transfer characteristics of nanofluids are depicted in graphs. They include the Prandtl number, magnetic parameter, radiation parameter, porosity parameter and Casson parameter. Findings indicate that as the Casson nanofluid parameters are increased, the temperature profile rises but the velocity field decreases. With increasing magnetic parameters alone, it is possible to see a decrease in the thickness of the pulse boundary layer and an increase in the thickness of the thermal boundary layer. All the results are depicted in graphical representations.



    加载中


    [1] A. Al-Mamun, S. M. Arifuzzaman, Sk. Reza-E-Rabbi, U. S. Alam, S. Islam, Md. S. Khan, Numerical simulation of periodic MHD Casson nanofluid flow through porous stretching sheet, SN Applied Sciences, 3 (2021), 271. https://doi.org/10.1007/s42452-021-04140-3 doi: 10.1007/s42452-021-04140-3
    [2] A. Siddiqui, B. Shankar, MHD flow and heat transfer of Casson nanofluid through a porous media over a stretching sheet, Nanofluid Flow in Porous Media, (2019). https://doi.org/10.5772/intechopen.83732
    [3] B. Ali, Y. Nie, S. Hussain, A. Manan, M. T. Sadiq, Unsteady magneto-hydrodynamic transport of rotating Maxwell nanofluid flow on a stretching sheet with Cattaneo–Christov double diffusion and activation energy, Thermal Science and Engineering Progress, 20 (2020), 100720. https://doi.org/10.1016/j.tsep.2020.100720 doi: 10.1016/j.tsep.2020.100720
    [4] B. Ali, I. Siddique, A. Ahmadian, N. Senu, L. Ali, A. Haider, Significance of Lorentz and Coriolis forces on dynamics of water-based silver tiny particles via finite element simulation, Ain Shams Eng. J., 13 (2022), 101572. https://doi.org/10.1016/j.asej.2021.08.014 doi: 10.1016/j.asej.2021.08.014
    [5] J. Alam, M. G. Murtaza, E. E. Tzirtzilakis, M. Ferdows, Application of Biomagnetic Fluid Dynamics modeling for simulation of flow with magnetic particles and variable fluid properties over a stretching cylinder, Math. Comput. Simulat., 199 (2022), 438–462. https://doi.org/10.1016/j.matcom.2022.04.008 doi: 10.1016/j.matcom.2022.04.008
    [6] S. S. Ghadikolaei, K. Hosseinzadeh, D. D. Ganji, B. Jafari, Nonlinear thermal radiation effect on magneto Casson nanofluid flow with Joule heating effect over an inclined porous stretching sheet, Case Stud. Therm. Eng., 12 (2018), 176–187. https://doi.org/10.1016/j.csite.2018.04.009 doi: 10.1016/j.csite.2018.04.009
    [7] R. Gnaneswara, M. Ahmed, W. Abbas, Modeling of MHD fluid flow over an unsteady stretching sheet with thermal radiation, variable fluid properties and heat flux, Math. Comput. Simulat., 185 (2021), 583–593. https://doi.org/10.1016/j.matcom.2021.01.011 doi: 10.1016/j.matcom.2021.01.011
    [8] H. T. Alkasasbeh, Numerical Solution of Heat Transfer Flow of Casson Hybrid Nanofluid over Vertical Stretching Sheet with Magnetic Field Effect, CFD Letters, 14 (2022), 39–52. https://doi.org/10.37934/cfdl.14.3.3952 doi: 10.37934/cfdl.14.3.3952
    [9] N. Ibrar, M. G. Reddy, S. A. Shehzad, Interaction of single and multi-walls carbon nanotubes in magnetized-nano Casson fluid over the radiated horizontal needle, SN Appl. Sci., 2 (2020), 677. https://doi.org/10.1007/s42452-020-2523-8 doi: 10.1007/s42452-020-2523-8
    [10] A. Kamran, S. Hussain, M. Sagheer, N. Akmal, A numerical study of magnetohydrodynamics flow in Casson nanofluid combined with Joule heating and slip boundary conditions, Results Phys., 7 (2017), 3037–3048. https://doi.org/10.1016/j.rinp.2017.08.004 doi: 10.1016/j.rinp.2017.08.004
    [11] W. Kouz, W. Owhaib, Numerical analysis of Casson nanofluid three-dimensional flow over a rotating frame exposed to a prescribed heat flux with viscous heating, Sci. Rep., 12 (2022), 4256. https://doi.org/10.1038/s41598-022-08211-2 doi: 10.1038/s41598-022-08211-2
    [12] A. Liaquat, O. Zurni, R. Jawad, K. Ilyas, M. El-Sayed, Effects of Stefan Blowing and Slip Conditions on Unsteady MHD Casson Nanofluid Flow Over an Unsteady Shrinking Sheet: Dual Solutions, Symmetry, 12 (2020), 487. https://doi.org/10.3390/sym12030487 doi: 10.3390/sym12030487
    [13] S. M. Mani, M. Swati, Some aspects of flow over a non-isothermal unsteady stretched exterior fixed in porous medium among heat production/amalgamation, Forces in Mechanics, 9 (2022), 100142. https://doi.org/10.1016/j.finmec.2022.100142 doi: 10.1016/j.finmec.2022.100142
    [14] R. Meenakumari, P. Lakshminarayana, K. Vajravelu, Unsteady MHD Flow of a Williamson Nanofluid on a Permeable Stretching Surface with Radiation and Chemical Reaction Effects, Eur. Phys. J., 230 (2021), 1355–1370. https://doi.org/10.1140/epjs/s11734-021-00039-7 doi: 10.1140/epjs/s11734-021-00039-7
    [15] S. E. Ahmed, R. A. Mohamed, A. Ali, A. J. Chamkha and M. S. Soliman, MHD Casson Nanofluid Flow Over A Stretching Surface Embedded In A Porous Medium: Effects Of Thermal Radiation And Slip Conditions, Latin Am. Appl. Res., 51 (2021), 229–239. https://doi.org/10.52292/j.laar.2021.523 doi: 10.52292/j.laar.2021.523
    [16] L. Ali, B. Ali, X. Liu, S. Ahmed, M. A. Shah, Analysis of bio-convective MHD Blasius and Sakiadis flow with Cattaneo-Christov heat flux model and chemical reaction, Chinese J. Phys., 77 (2022), 1963–1975. https://doi.org/10.1016/j.cjph.2021.12.008 doi: 10.1016/j.cjph.2021.12.008
    [17] P. G. Partha, K. Shailendra, M. Susanta, Two layers thin film flow over a stretching sheet with uniform transverse magnetic field, J. Magn. Magn. Mater., 565 (2023), 170204. https://doi.org/10.1016/j.jmmm.2022.170204 doi: 10.1016/j.jmmm.2022.170204
    [18] M. Radha, W. Sridhar, P. Nagesh, Numerical investigations of MHD Casson nanofluid flow over a wedge through a porous medium, AIP Conference Proceedings, 2375 (2021), 030011. https://doi.org/10.1063/5.0066944 doi: 10.1063/5.0066944
    [19] K. Rafique, M. Imran, M. Misiran, I. Khan, S. Alharbi, P. Thounthong, et al., Numerical Solution of Casson Nanofluid Flow Over a Non-linear Inclined Surface WithSoret and Dufour Effects by Keller-Box Method, Frontiers in Physics, 7 (2019), 139. https://doi.org/10.3389/fphy.2019.00139 doi: 10.3389/fphy.2019.00139
    [20] A. C. V. Ramudu, K. K. Anantha, V. Sugunamma, N. Sandeep, Influence of Suction/Injection on MHD Casson Fluid Flow over a Vertical Stretching Surface, J. Therm.. Anal. Calorim., 139 (2020), 3675–3682. https://doi.org/10.1007/s10973-019-08776-7 doi: 10.1007/s10973-019-08776-7
    [21] S. R. R. Reddy, P. Bala Anki Reddy, Thermal radiation effect on unsteady three-dimensional MHD flow of micropolar fluid over a horizontal surface of a parabola of revolution, Propuls. Power Res., 11 (2022), 129–142. https://doi.org/10.1016/j.jppr.2022.01.001 doi: 10.1016/j.jppr.2022.01.001
    [22] R. Shiva, D. Paramananda, A numerical solution using EFDM for unsteady MHD radiative Casson nanofluid flow over a porous stretching sheet with stability analysis, Heat Transfer, 51 (2022), 8020–8042. https://doi.org/10.1002/htj.22679 doi: 10.1002/htj.22679
    [23] D. Sudip, M. Swati, MHD nanofluid flow over an absorbent plate in the company of chemical response and zero nanoparticle flux, Forces in Mechanics, 7 (2022), 100102. https://doi.org/10.1016/j.finmec.2022.100102 doi: 10.1016/j.finmec.2022.100102
    [24] S. Thadakamalla, B. Shankar, Effect of inclined magnetic field on flow, heat and mass transfer of Williamson nanofluid over a stretching sheet, Case Stud. Therm. Eng., 23 (2021), 100819. https://doi.org/10.1016/j.csite.2020.100819 doi: 10.1016/j.csite.2020.100819
    [25] R. Vinodkumar, L. Pallavarapu, MHD Radiative Flow Of Williamson Nanofluid With Cattaneo-Christov Model Over A Stretching Sheet Through A Porous Medium In The Presence Of Chemical Reaction And Suction/Injection, J. Porous Media, 25 (2022), 1–15. https://doi.org/10.1615/JPorMedia.2022041423 doi: 10.1615/JPorMedia.2022041423
    [26] F. Mebarek-Oudina, Convective heat transfer of Titania nanofluids of different base fluids in a cylindrical annulus with the discrete heat source, Heat transfer–-Asian Research, 48 (2019), 135–147. https://doi.org/10.1002/htj.21375 doi: 10.1002/htj.21375
    [27] F. Mebarek-Oudina, Preeti, A. S. Sabu, H. Vaidya, R. W. Lewis, S. Areekara, et al., Hydromagnetic flow of magnetite–water nanofluid utilizing adapted Buongiorno model, Int. J. Mod. Phys. B, (2023), 2450003. https://doi.org/10.1142/S0217979224500036
    [28] F. Mebarek-Oudina, I. Chabani, Review on Nano-Fluids Applications and Heat Transfer Enhancement Techniques in Different Enclosures, Journal of Nanofluids, 11 (2022), 155–168. https://doi.org/10.1166/jon.2022.1834 doi: 10.1166/jon.2022.1834
    [29] U. Khan, F. Mebarek-Oudina, A. Zaib, A. Ishak, S. Abu Bakar, M. El-Sayed, et al., An exact solution of a Casson fluid flow induced by dust particles with hybrid nanofluid over a stretching sheet subject to Lorentz forces, Waves in Random and Complex Media, (2022), 1–14. https://doi.org/10.1080/17455030.2022.2102689
    [30] J. Raza, F. Mebarek-Oudina, A. Lund, The flow of magnetized convective Casson liquid via a porous channel with shrinking and stationary walls, Pramana, 96 (2022), 229. https://doi.org/10.1007/s12043-022-02465-1 doi: 10.1007/s12043-022-02465-1
    [31] G. Dharmaiah, F. Mebarek-Oudina, M. Sreenivasa Kumar, K. Chandra Kala, Nuclear reactor application on Jeffrey fluid flow with Falkner-skan factor, Brownian and thermophoresis, non-linear thermal radiation impacts past a wedge, J. Indian Chem. Soc., 100 (2023), 100907. https://doi.org/10.1016/j.jics.2023.100907 doi: 10.1016/j.jics.2023.100907
    [32] I. Chabani, F. Mebarek-Oudina, H. Vaidya, A. I. Ismail, Numerical analysis of magnetic hybrid Nano-fluid natural convective flow in an adjusted porous trapezoidal enclosure, J. Magn. Magn. Mater., 564 (2022), 170142. https://doi.org/10.1016/j.jmmm.2022.170142 doi: 10.1016/j.jmmm.2022.170142
    [33] K. Ganesh Kumar, G. K. Ramesh, B. J. Gireesha, R. S. R. Gorla, Characteristics of Joule heating and viscous dissipation on the three-dimensional flow of Oldroyd B nanofluid with thermal radiation, Alex. Eng. J., 57 (2018), 2139–2149. https://doi.org/10.1016/j.aej.2017.06.006 doi: 10.1016/j.aej.2017.06.006
    [34] R. Padmavathi, B. S. Dhruvathara, K. Rashmi, K. Ganesh Kumar, Two-phase hydromagnetic Eyring-Powell fluid flow over a stretching sheet suspended to a dusty particle, International Journal of Modelling and Simulation, (2023), 1–13. https://doi.org/10.1080/02286203.2023.2185073
    [35] K. Ganesh Kumar, Impact of magnetic dipole on flow and heat transfer of AA7072-AA7075/water based nanofluid over a stretching sheet using Koo and Kleinstreuer model, Eur. Phys. J. Plus, 137 (2022), 1–13. https://doi.org/10.1140/epjp/s13360-022-02890-6 doi: 10.1140/epjp/s13360-022-02890-6
    [36] K. Ganesh Kumar, Scrutinization of 3D flow and nonlinear radiative heat transfer of non-Newtonian nanoparticles over an exponential sheet, Inter. J. Methods Heat Fluid Flow, 30 (2019), 2051–2062. https://doi.org/10.1108/HFF-12-2018-0741 doi: 10.1108/HFF-12-2018-0741
    [37] K. Ganesh Kumar, Exploration of flow and heat transfer of non-Newtonian nanofluid over a stretching sheet by considering slip factor, Inter. J. Numer. Methods Heat Fluid Flow, 3 (2020), 1991–2001. https://doi.org/10.1108/HFF-11-2018-0687 doi: 10.1108/HFF-11-2018-0687
    [38] M. Archana, M. M. Praveena, K. Ganesh kumar, S. A. Shehzad, M. Ahmad, Unsteady squeezed Casson nanofluid flow by considering the slip condition and time-dependent magnetic field, Heat Transfer, 49 (2020), 4907–4922. https://doi.org/10.1002/htj.21859 doi: 10.1002/htj.21859
    [39] M. G. Reddy, P. VIjayakumari, M. V. V. N. L. Sudharani, K. Ganesh Kumar, Quadratic Convective Heat Transport of Casson Nanoliquid Over a Contract Cylinder: An Unsteady Case, BioNanoScience, 10 (2020), 344–350. https://doi.org/10.1007/s12668-019-00697-x doi: 10.1007/s12668-019-00697-x
    [40] B. J. Gireesha, K. Ganesh Kumar, M. R. Krishnamurthy, S. Manjunatha, N. G. Rudraswamy, Impact of ohmic heating on MHD mixed convection flow of Casson fluid by considering Cross diffusion effect, Nonlinear Engineering, 8 (2019), 380–388. https://doi.org/10.1515/nleng-2017-0144 doi: 10.1515/nleng-2017-0144
    [41] S. Z. Abbas, M. Waqas, A. Thaljaoui, M. Zubair, A. Riahi, Y. M. Chu, Modeling and analysis of unsteady second-grade nanofluid flow subject to mixed convection and thermal radiation, Soft Comput., 26 (2022), 1033–1042. https://doi.org/10.1007/s00500-021-06575-7 doi: 10.1007/s00500-021-06575-7
    [42] R. Katta, S. U. Khan, M. Jameel, M. I. Khan, Y. M. Chu, S. Kadry, Bioconvection assessment in Maxwell nanofluid configured by a Riga surface with nonlinear thermal radiation and activation energy, Surf. Interfaces, 21 (2020), 100749. https://doi.org/10.1016/j.surfin.2020.100749 doi: 10.1016/j.surfin.2020.100749
    [43] Y. M. Chu, F. Shah, M. I. Khan, S. Kadry, Z. Abdelmalek, W. A. Khan, Cattaneo-Christov double diffusions (CCDD) in entropy optimized magnetized second-grade nanofluid with variable thermal conductivity and mass diffusivity, J. Mater. Res. Technol., 9 (2020), 13977–13987. https://doi.org/10.1016/j.jmrt.2020.09.101 doi: 10.1016/j.jmrt.2020.09.101
    [44] M. I. Khan, S. Kadry, Y. M. Chu, W. A. Khan, A. Kumar, Exploration of Lorentz force on a paraboloid stretched surface in a flow of Ree-Eyring nanomaterial, J. Mater. Res. Technol., 9 (2020), 10265–10275. https://doi.org/10.1016/j.jmrt.2020.07.017 doi: 10.1016/j.jmrt.2020.07.017
    [45] Y. X. Pei, Y. M. Chu, M. I. Khan, S. A. Khan, S. Z. Abbas, Entropy optimized Darcy-Forchheimer flow of Reiner-Philippoff fluid with chemical reaction, Comput. Theor. Chem., 1200 (2021), 113222. https://doi.org/10.1016/j.comptc.2021.113222 doi: 10.1016/j.comptc.2021.113222
    [46] M. Ashraf, A. Abbas, S. Zia, Y. Chu, I. Khan, Computational analysis of the effect of nanoparticle material motion on mixed convection flow in the presence of heat generation and absorption, Computers, Materials & Continua, 65 (2020), 1809–1823. https://doi.org/10.32604/cmc.2020.011404 doi: 10.32604/cmc.2020.011404
    [47] D. Khan, G. Ali, A. Khan, I. Khan, Y. Chu, A new idea of the fractal-fractional derivative with power law kernel for free convection heat transfer in a channel flow between two static upright parallel plates, Computers, Materials & Continua, 65 (2020), 1237–1251. https://doi.org/10.32604/cmc.2020.011492 doi: 10.32604/cmc.2020.011492
    [48] M. Ibrahim, T. Saeed, F. R. Bani, S. N. Sedeh, Y. M. Chu, D. Toghraie, Two-phase analysis of heat transfer and entropy generation of water-based magnetite nanofluid flow in a circular microtube with twisted porous blocks under a uniform magnetic field, Powder Technol., 384 (2021), 522–541. https://doi.org/10.1016/j.powtec.2021.01.077 doi: 10.1016/j.powtec.2021.01.077
    [49] J. K. Madhukesh, R. Naveen Kumar, R. J. Punith Gowda, B. C. Prasannakumara, G. K. Ramesh, M. Ijaz Khan, et al., Numerical simulation of AA7072-AA7075/water-based hybrid nanofluid flow over a curved stretching sheet with Newtonian heating: A non-Fourier heat flux model approach, J. Mol. Liq., 335 (2021), 116103. https://doi.org/10.1016/j.molliq.2021.116103 doi: 10.1016/j.molliq.2021.116103
    [50] M. Ibrahim, T. Saeed, E. A. Algehyne, The effects of L-shaped heat source in a quarter-tube enclosure filled with MHD nanofluid on heat transfer and irreversibilities, using LBM: numerical data, optimization using neural network algorithm (ANN), J. Therm. Anal. Calorim., 144 (2021), 2435–2448. https://doi.org/10.1007/s10973-021-10594-9 doi: 10.1007/s10973-021-10594-9
  • Reader Comments
  • © 2023 the Author(s), licensee AIMS Press. This is an open access article distributed under the terms of the Creative Commons Attribution License (http://creativecommons.org/licenses/by/4.0)
通讯作者: 陈斌, bchen63@163.com
  • 1. 

    沈阳化工大学材料科学与工程学院 沈阳 110142

  1. 本站搜索
  2. 百度学术搜索
  3. 万方数据库搜索
  4. CNKI搜索

Metrics

Article views(5622) PDF downloads(332) Cited by(17)

Article outline

Figures and Tables

Figures(15)

/

DownLoad:  Full-Size Img  PowerPoint
Return
Return

Catalog