Research article

Dynamic modeling and performance analysis of a lower-mobility parallel robot with a rotatable platform

  • Published: 13 December 2022
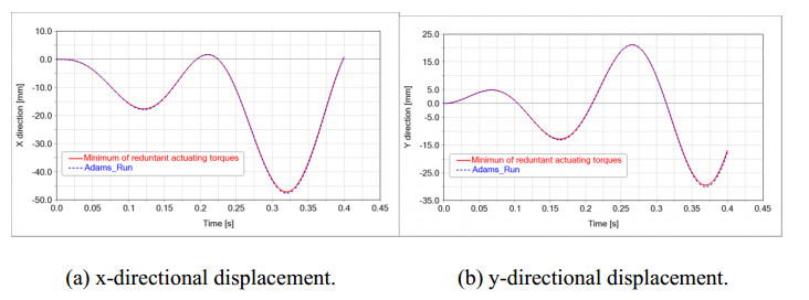
  • Recently, applications of high-speed, lightweight parallel robots have been gaining increasing interest. Studies have shown that their elastic that their elastic deformation during operation often affects the robot's dynamic performance. In this paper, we designed and studied a 3 DOF parallel robot with a rotatable working platform. We developed a rigid-flexible coupled dynamics model consisting of a fully flexible rod and a rigid platform by combining the Assumed Mode Method with the Augmented Lagrange Method. The driving moments under three different modes were used as feedforward in the model's numerical simulation and analysis. We conducted a comparative analysis demonstrating that the flexible rod's elastic deformation under a redundant drive is significantly smaller than that of a non-redundant one, leading to a better suppression effect on vibration. The system's dynamic performance under the redundant drive was significantly superior compared to that of the non-redundant one. Additionally, the motion accuracy was higher and the driving mode b was better than that of the driving mode c. Finally, the proposed dynamics model's correctness was verified by modeling it in Adams.

    Citation: Zhen Liu, Song Yang, Tao Ding, Ruimin Chai. Dynamic modeling and performance analysis of a lower-mobility parallel robot with a rotatable platform[J]. Mathematical Biosciences and Engineering, 2023, 20(2): 3918-3943. doi: 10.3934/mbe.2023183

    Related Papers:

  • Recently, applications of high-speed, lightweight parallel robots have been gaining increasing interest. Studies have shown that their elastic that their elastic deformation during operation often affects the robot's dynamic performance. In this paper, we designed and studied a 3 DOF parallel robot with a rotatable working platform. We developed a rigid-flexible coupled dynamics model consisting of a fully flexible rod and a rigid platform by combining the Assumed Mode Method with the Augmented Lagrange Method. The driving moments under three different modes were used as feedforward in the model's numerical simulation and analysis. We conducted a comparative analysis demonstrating that the flexible rod's elastic deformation under a redundant drive is significantly smaller than that of a non-redundant one, leading to a better suppression effect on vibration. The system's dynamic performance under the redundant drive was significantly superior compared to that of the non-redundant one. Additionally, the motion accuracy was higher and the driving mode b was better than that of the driving mode c. Finally, the proposed dynamics model's correctness was verified by modeling it in Adams.



    加载中


    [1] C. Gosselin, J. Angeles, Singularity analysis of closed-loop kinematic chains, IEEE Trans Robot Automat, 6 (1990), 281–290. https://doi.org/10.1109/70.56660 doi: 10.1109/70.56660
    [2] H. Ye, D. Wang, J. Wu, Y. Yue, Y. L. Zhou, Forward and inverse kinematics of a 5-DOF hybrid robot for composite material machining, Robot. Computer-Integ. Manuf., 65 (2020), 101961. https://doi.org/10.1016/j.rcim.2020.101961. doi: 10.1016/j.rcim.2020.101961
    [3] P. Yan, H. L. Huang, B. Li, D. Y. Zhou, A 5-DOF redundantly actuated parallel mechanism for large tilting five-face machining, Mech. Mach. Theory, 172 (2022), 104785. https://doi.org/10.1016/j.mechmachtheory.2022.104785 doi: 10.1016/j.mechmachtheory.2022.104785
    [4] B. Ren, Z. Zhang, Design of 4PUS-PPPS redundant parallel mechanism oriented to the visual system of flight simulator, Int. J. Intell. Robot Appl., 5 (2021), 534–542. https://doi.org/10.1007/s41315-021-00210-2. doi: 10.1007/s41315-021-00210-2
    [5] K. J. Dong, D. L. Li, X. Y. Xue, C. Xu, H. W. Wang, X. M. Gao, Workspace and accuracy analysis on a novel 6-UCU bone-attached parallel manipulator, Chin. J. Mech. Eng., 35 (2022), 35. https://doi.org/10.1186/s10033-022-00689-1 doi: 10.1186/s10033-022-00689-1
    [6] T. Liu, Y. L. Hu, H. Xu, Z. X. Zhang, H. Q. Li, Investigation of the vectored thruster AUVs based on 3SPS-S parallel manipulator, Appl. Ocean Res., 85 (2019), 151–161. https://doi.org/10.1016/j.apor.2019.01.025. doi: 10.1016/j.apor.2019.01.025
    [7] A. Khalifa, M. Fanni, A. M. Mohamed, T. Miyashita, Development of a new 3-DOF parallel manipulator for minimally invasive surgery: 3-PUU parallel manipulator for MIS, Int. J. Med. Robot. Comput. Assist. Surg., 14 (2018), e1901. https://doi.org/10.1002/rcs.1901 doi: 10.1002/rcs.1901
    [8] L. Campos, F. Bourbonnais, I. A. Bonev, P. Bigras, Development of a five-bar parallel robot with large workspace, ASME 2010 International Design Engineering Technical Conferences, 2010.
    [9] I. Ebrahimi, J. A. Carretero, R. Boudreau, 3-PRRR redundant planar parallel manipulator: Inverse displacement, workspace and singularity analyses, Mech. Mach. Theory, 42 (2007), 1007–1016. https://doi.org/10.1016/j.mechmachtheory.2006.07.006 doi: 10.1016/j.mechmachtheory.2006.07.006
    [10] N. Baron, A. Philippides, N. Rojas, A novel kinematically redundant planar parallel robot manipulator with full rotatability, J. Mech. Robot., 11 (2019), 011008. https://doi.org/10.1115/1.4041698 doi: 10.1115/1.4041698
    [11] J. T. Yao, W. D. Gu, Z. Q. Feng, L. P. Chen, Y. D. Xu, Y. S. Zhao, Dynamic analysis and driving force optimization of a 5-DOF parallel manipulator with redundant actuation, Robot. Comput.-Integ. Manuf., 48 (2017), 51–58. https://doi.org/10.1016/j.rcim.2017.02.006 doi: 10.1016/j.rcim.2017.02.006
    [12] D. Liang, Y. Song, T. Sun, G. Dong, Optimum design of a novel redundantly actuated parallel manipulator with multiple actuation modes for high kinematic and dynamic performance, Nonlinear Dyn., 83 (2016), 631–658. https://doi.org/10.1007/s11071-015-2353-1 doi: 10.1007/s11071-015-2353-1
    [13] C. Cheng, W. L. Xu, J. Z. Shang, Optimal distribution of the actuating torques for a redundantly actuated masticatory robot with two higher kinematic pairs, Nonlinear Dyn., 79 (2015), 1235–1255. https://doi.org/10.1007/s11071-014-1739-9 doi: 10.1007/s11071-014-1739-9
    [14] X. Y. Wang, JK. Mills, FEM dynamic model for active vibration control of flexible linkages and its application to a planar parallel manipulator, Appl. Acoust., 66 (2005), 1151–1161. https://doi.org/10.1016/j.apacoust.2005.02.009 doi: 10.1016/j.apacoust.2005.02.009
    [15] V. Sonneville, A. Cardona, O. Brüls, Geometrically exact beam finite element formulated on the special Euclidean group, Comput. Methods Appl. Mech. Eng., 268 (2014), 451–474. https://doi.org/10.1016/j.cma.2013.10.008 doi: 10.1016/j.cma.2013.10.008
    [16] G. P. Cai, C. W. Lim, Dynamics studies of a flexible hub–beam system with significant damping effect, J. Sound Vibr., 318 (2008), 1–17. https://doi.org/10.1016/j.jsv.2008.06.009 doi: 10.1016/j.jsv.2008.06.009
    [17] E. Mirzaee, M. Eghtesad, S. A. Fazelzadeh, Maneuver control and active vibration suppression of a two-link flexible arm using a hybrid variable structure/Lyapunov control design, Acta Astron., 67 (2010), 1218–1232. https://doi.org/10.1016/j.actaastro.2010.06.054 doi: 10.1016/j.actaastro.2010.06.054
    [18] M. Dupac, D. G. Beale, Dynamic analysis of a flexible linkage mechanism with cracks and clearance, Mech. Mach. Theory, 45 (2010), 1909–1923. https://doi.org/10.1016/j.mechmachtheory.2010.07.006. doi: 10.1016/j.mechmachtheory.2010.07.006
    [19] S. Šalinić, An improved variant of Hencky bar-chain model for buckling and bending vibration of beams with end masses and springs, Mech. Syst. Signal Process., 90 (2017), 30–43. https://doi.org/10.1016/j.ymssp.2016.12.007 doi: 10.1016/j.ymssp.2016.12.007
    [20] D. Liang, Y. Song, T. Sun, X. Y. Jin, Dynamic modeling and hierarchical compound control of a novel 2-DOF flexible parallel manipulator with multiple actuation modes, Mech. Syst. Signal Process., 103 (2018), 413–439. https://doi.org/10.1016/j.ymssp.2017.10.004 doi: 10.1016/j.ymssp.2017.10.004
    [21] S. K. İDer, O. Korkmaz, M. S. Deni̇Zli̇, On the stability of inverse dynamics control of flexible-joint parallel manipulators in the presence of modeling error and disturbances, Turkish J. Electr. Eng. Comput. Sci., 27(2019), 14. https://doi.org/10.3906/elk-1707-319 doi: 10.3906/elk-1707-319
    [22] L. C. Sheng, W. Li, Y. Q. Wang, M. B. Fan, X. F. Yang, Dynamic model and vibration characteristics of planar 3-RRR parallel manipulator with flexible intermediate links considering exact boundary conditions, Shock Vibr., 2017 (2017), 1–13. https://doi.org/10.1155/2017/1582547 doi: 10.1155/2017/1582547
    [23] A. Cammarata, Full and reduced models for the elastodynamics of fully flexible parallel robots, Mech. Mach. Theory, 151 (2020), 103895. https://doi.org/10.1016/j.mechmachtheory.2020.103895 doi: 10.1016/j.mechmachtheory.2020.103895
    [24] S. S. Rao, Vibration of continuous systems, John Wiley & Sons Ltd, (2019).
    [25] L. C. Sheng, W. Li, Y. Q. Wang, X. F. Yang, M. B. Fan, Rigid-flexible coupling dynamic model of a flexible planar parallel robot for modal characteristics research, Adv. Mech. Eng., 11 (2019). https://doi.org/10.1177/1687814018823469. doi: 10.1177/1687814018823469
  • Reader Comments
  • © 2023 the Author(s), licensee AIMS Press. This is an open access article distributed under the terms of the Creative Commons Attribution License (http://creativecommons.org/licenses/by/4.0)
通讯作者: 陈斌, bchen63@163.com
  • 1. 

    沈阳化工大学材料科学与工程学院 沈阳 110142

  1. 本站搜索
  2. 百度学术搜索
  3. 万方数据库搜索
  4. CNKI搜索

Metrics

Article views(3671) PDF downloads(135) Cited by(4)

Article outline

Figures and Tables

Figures(17)  /  Tables(1)

Other Articles By Authors

/

DownLoad:  Full-Size Img  PowerPoint
Return
Return

Catalog