Research article Special Issues

Development of a new statistical distribution with insights into mathematical properties and applications in industrial data in KSA

  • Received: 17 December 2024 Revised: 15 March 2025 Accepted: 21 March 2025 Published: 31 March 2025
  • MSC : 60B12, 62G30

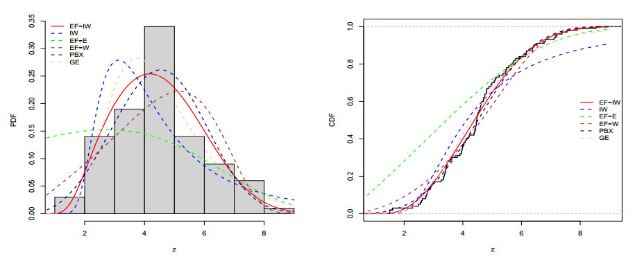
  • This study presents the development of a novel distribution through a transformation involving error functions, namely the error function inverse Weibull model, along with an overview of the fundamental characteristics of the proposed model. The hazard function of the recommended model is very flexible; it fits increasing, decreasing, and unimodal factors. For estimating the unknown parameters, we suggested two estimation methods, including the maximum likelihood estimation and Bayesian techniques. We perform a Monte Carlo simulation analysis to assess the stability of the parameter estimation procedure. The numerical results of these simulations show that the Bayesian technique under the square error loss function performs better than another method to obtain the model parameters. We thoroughly examine the significance of the proposed model and illustrate its application using three real-world data sets from the industrial sector. We compared the suitability and flexibility of the suggested distribution with several others, and the results showed that it fits the real-world data better than the competing models.

    Citation: Badr Aloraini, Abdulaziz S. Alghamdi, Mohammad Zaid Alaskar, Maryam Ibrahim Habadi. Development of a new statistical distribution with insights into mathematical properties and applications in industrial data in KSA[J]. AIMS Mathematics, 2025, 10(3): 7463-7488. doi: 10.3934/math.2025343

    Related Papers:

  • This study presents the development of a novel distribution through a transformation involving error functions, namely the error function inverse Weibull model, along with an overview of the fundamental characteristics of the proposed model. The hazard function of the recommended model is very flexible; it fits increasing, decreasing, and unimodal factors. For estimating the unknown parameters, we suggested two estimation methods, including the maximum likelihood estimation and Bayesian techniques. We perform a Monte Carlo simulation analysis to assess the stability of the parameter estimation procedure. The numerical results of these simulations show that the Bayesian technique under the square error loss function performs better than another method to obtain the model parameters. We thoroughly examine the significance of the proposed model and illustrate its application using three real-world data sets from the industrial sector. We compared the suitability and flexibility of the suggested distribution with several others, and the results showed that it fits the real-world data better than the competing models.



    加载中


    [1] L. P. Sapkota, V. Kumar, A. M. Gemeay, M. E. Bakr, O. S. Balogun, A. H. Muse, New Lomax-G family of distributions: Statistical properties and applications, AIP Adv., 13 (2023), 095128. https://doi.org/10.1063/5.0171949 doi: 10.1063/5.0171949
    [2] M. M. Abdelwahab, A. B. Ghorbal, A. S. Hassan, M. Elgarhy, E. M. Almetwally, A. F. Hashem, Classical and Bayesian inference for the Kavya-Manoharan generalized exponential distribution under generalized progressively Hybrid censored data, Symmetry, 15 (2023), 1193. https://doi.org/10.3390/sym15061193 doi: 10.3390/sym15061193
    [3] A. A. M. Teamah, A. A. Elbanna, A. M. Gemeay, Heavy-tailed log-logistic distribution: properties, risk measures and applications, Stat. Optim. Inform. Comput., 9 (2021), 910–941, https://doi.org/10.19139/soic-2310-5070-1220 doi: 10.19139/soic-2310-5070-1220
    [4] M. A. Meraou, M. Z. Raqab, F. B. Almathkour, Analyzing insurance data with an alpha power transformed exponential Poisson model, Ann. Data Sci., 2024. https://doi.org/10.1007/s40745-024-00554-z
    [5] E. Yıldırım, E. S. Ilıkkan, A. M. Gemeay, N. Makumi, M. E. Bakr, O. S. Balogun, Power unit Burr-XII distribution: Statistical inference with applications, AIP Adv., 13 (2023), 105107. https://doi.org/10.1063/5.0171077 doi: 10.1063/5.0171077
    [6] M. A. Meraou, N. M. Al-Kandari, M. Z. Raqab, D. Kundu, Analysis of skewed data by using compound Poisson exponential distribution with applications to insurance claims, J. Stat. Comput. Sim., 92 (2022), 928–956. https://doi.org/10.1080/00949655.2021.1981324 doi: 10.1080/00949655.2021.1981324
    [7] M. A. Almuqrin, A. M. Gemeay, M. M. A. El-Raouf, M. Kilai, R. Aldallal, E. Hussam, A flexible extension of reduced kies distribution: Properties, inference, and applications in biology, Complexity, 2022 (2022), 6078567. https://doi.org/10.1155/2022/6078567 doi: 10.1155/2022/6078567
    [8] M. A. Meraou, N. M. Al-Kandari, M. Z. Raqab, Univariate and bivariate compound models based on random sum of variates with application to the insurance losses data, J. Stat. Theory Pract., 16 (2022), 56. https://doi.org/10.1007/s42519-022-00282-8 doi: 10.1007/s42519-022-00282-8
    [9] M. A.Meraou, M. Z. Raqab, D. Kundu, F. A. Alqallaf, Inference for compound truncated Poisson log-normal model with application to maximum precipitation data, Commun. Stat. Simul. C., 2024. https://doi.org/10.1080/03610918.2024.2328168
    [10] A. Z. Afify, A. M. Gemeay, N. M. Alfaer, G. M. Cordeiro, E. H. Hafez, Power-modified Kies-exponential distribution: Properties, classical and Bayesian inference with an application to engineering data, Entropy, 24 (2022), 883. https://doi.org/10.3390/e24070883 doi: 10.3390/e24070883
    [11] C. Kus, M. C. Korkmaz, I. Kinaci, K. Karakaya, Y. Akdogan, Modified-Lindley distribution and its applications to the real data, Commun. Fac. Sci. Univ., 71 (2022), 252–272. https://doi.org/10.31801/cfsuasmas.744141 doi: 10.31801/cfsuasmas.744141
    [12] Y. M. Gómez, D. I. Gallardo, B. C. Arnold, The power piecewise exponential model, J. Stat. Comput. Sim., 88 (2018), 825–840. https://doi.org/10.1080/00949655.2017.1407935 doi: 10.1080/00949655.2017.1407935
    [13] G. P. Dhungana, V. Kumar, Exponentiated Odd Lomax exponential distribution with application to COVID-19 death cases of Nepal, PloS one, 17 (2022), e0269450. https://doi.org/10.1371/journal.pone.0269450 doi: 10.1371/journal.pone.0269450
    [14] A. S. Hassan, R. E. Mohamd, M. Elgarhy, A. Fayomi, Alpha power transformed extended exponential distribution: properties and applications, J. Nonlinear Sci. Appl., 12 (2019), 239–251. https://doi.org/10.22436/jnsa.012.04.05 doi: 10.22436/jnsa.012.04.05
    [15] K. Karakaya, M. C. Korkmaz, C. Chesneau, G. G. Hamedani, A new alternative unit-lindley distribution with increasing failure rate, Sci. Iran., 2022. https://doi.org/10.24200/sci.2022.58409.5712
    [16] Y. L. Tung, Z. Ahmad, E. Mahmoudi, The arcsine-x family of distributions with applications to financial sciences, Comput. Syst. Sci. Eng., 39 (2021), 351–363. https://doi.org/10.32604/csse.2021.014270 doi: 10.32604/csse.2021.014270
    [17] L. M. Z. Fernándz, T. A. N. De Andrade, The erf-G family: new unconditioned and log-linear regression models, Chil. J. Stat., 11 (2020), 1.
    [18] K. K. Ajongba, S. Nasiru, A. A. Kobilla, A. G. Abubakari, Error function Burr XII distribution: Quantile regression, classical and Bayesian applications, J. Stat. Manag. Syst., 27 (2024), 1139–1168. https://doi.org/10.47974/JSMS-1216 doi: 10.47974/JSMS-1216
    [19] C. C. Caroline, T. A. N. De Andrade, C. Bisognin, New unconditional and quantile regression model Erf-weibull: An alternative to Gamma, Gumbel and exponentiated exponential distributions, Rev. Colomb. Estad. Appl. Stat., 47 (2024), 301–327, 2024. http://doi.org/10.15446/rce.v47n2.110213 doi: 10.15446/rce.v47n2.110213
    [20] O. Alzeley, E. M. Almetwally, A. M. Gemeay, H. M. Alshanbari, E. H. Hafez, M. H. Abu-Moussa, Statistical inference under censored data for the new exponential‐X Fréchet distribution: Simulation and application to Leukemia data, Comput. Intel. Neurosc., 2021 (2021), 2167670. https://doi.org/10.1155/2021/2167670 doi: 10.1155/2021/2167670
    [21] E. Hussam, M. A. Sabry, M. M. Abd El-Raouf, E. M. Almetwally, Fuzzy vs. traditional reliability model for inverse Weibull distribution, Axioms, 12 (2023), 582. https://doi.org/10.3390/axioms12060582 doi: 10.3390/axioms12060582
    [22] A. Ahmad, A. A. Rather, Y. A. Tashkandy, M. E. Bakr, M. M. El-Din, A. M. Gemeay, et al., Deriving the new cotangent Fréchet distribution with real data analysis, Alex. Eng. J., 105 (2024), 12–24. https://doi.org/10.1016/j.aej.2024.06.038 doi: 10.1016/j.aej.2024.06.038
    [23] A. A. Mohamed, R. M. Refaey, G. R. AL-Dayian, Bayesian and E-Bayesian estimation for odd generalized exponential inverted Weibull distribution, J. Bus. Environ. Sci., 3 (2024), 275–301.
    [24] Y. Y. Abdelall, A. S. Hassan, E. M. Almetwally, A new extension of the odd inverse Weibull-G family of distributions: Bayesian and non-Bayesian estimation with engineering applications, Comput. J. Math. Stat. Sci., 3 (2024), 359–388. https://doi.org/10.21608/cjmss.2024.285399.1050 doi: 10.21608/cjmss.2024.285399.1050
    [25] A. Al Mutairi, R. H. Khashab, E. M. Almetwally, O. E. Abo-Kasem, G. M. Ibrahim, Bayesian and non-Bayesian inference for inverse Weibull model based on jointly type-Ⅱ hybrid censoring samples with modeling to physics data, AIP Adv., 13 (2023), 105120. https://doi.org/10.1063/5.0173273 doi: 10.1063/5.0173273
    [26] A. S. Hassan, A. E. L. Hagag, N. Metwally, O. H. Sery, Statistical analysis of inverse Weibull based on step-stress partially accelerated life tests with unified Hybrid censoring data, Comput. J. Math. Stat. Sci., 4 (2025), 162–185. https://doi.org/10.21608/cjmss.2024.319502.1072 doi: 10.21608/cjmss.2024.319502.1072
    [27] N. Alsadat, A. Ahmad, M. Jallal, A. M. Gemeay, M. A. Meraou, E. Hussam, et al., The novel Kumaraswamy power Frechet distribution with data analysis related to diverse scientific areas, Alex. Eng. J., 70 (2023), 651–664. https://doi.org/10.1016/j.aej.2023.03.003 doi: 10.1016/j.aej.2023.03.003
    [28] A. Xu, G. Fang, L. Zhuang, C. Gu, A multivariate student-t process model for dependent tail-weighted degradation data, IISE Trans., 2024. https://doi.org/10.1080/24725854.2024.2389538
    [29] L. Zhuang, A. Xu, Y. Wang, Y. Tang, Remaining useful life prediction for two-phase degradation model based on reparameterized inverse Gaussian process, Eur. J. Oper. Res., 319 (2024), 877–890. https://doi.org/10.1016/j.ejor.2024.06.032 doi: 10.1016/j.ejor.2024.06.032
    [30] H. Yu, Z. Shang, F. Wang, Analysis of the current situation of the construction industry in Saudi Arabia and the factors affecting it: An empirical study, Sustainability, 16 (2024), 6756. https://doi.org/10.3390/su16166756 doi: 10.3390/su16166756
  • Reader Comments
  • © 2025 the Author(s), licensee AIMS Press. This is an open access article distributed under the terms of the Creative Commons Attribution License (http://creativecommons.org/licenses/by/4.0)
通讯作者: 陈斌, bchen63@163.com
  • 1. 

    沈阳化工大学材料科学与工程学院 沈阳 110142

  1. 本站搜索
  2. 百度学术搜索
  3. 万方数据库搜索
  4. CNKI搜索

Metrics

Article views(968) PDF downloads(42) Cited by(1)

Article outline

Figures and Tables

Figures(11)  /  Tables(10)

/

DownLoad:  Full-Size Img  PowerPoint
Return
Return

Catalog