Research article Special Issues

Mathematical assessment of the impact of different microclimate conditions on malaria transmission dynamics

  • Published: 21 February 2019
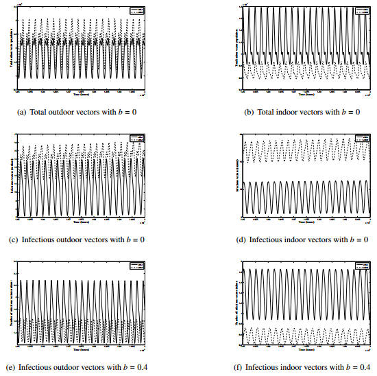
  • A new non-autonomous model incorporating diurnal temperature fluctuation is designed to study the transmission dynamics of malaria. In particular, the model is used to assess the impact of different microclimate condition on the population dynamics of malaria. The disease free state of the model is seen to be globally asymptotically stable in the absence of disease induced mortality when the associated reproduction number is less than unity. Also when the associated reproduction number of the model is greater than unity, the disease persist in the population. Numerical simulations of the time-averaged basic reproduction number show that neglecting the variation of indoor and outdoor temperature will under-estimate the value of this threshold parameter. Numerical simulations of the model show that the higher indoor temperature influences the efficacy of control measures as a higher prevalence level is obtained when indoor and outdoor temperature variation is considered. It is further shown that both where the mosquitoes rest and how long they rest there may determine the transmission intensity.

    Citation: Ann Nwankwo, Daniel Okuonghae. Mathematical assessment of the impact of different microclimate conditions on malaria transmission dynamics[J]. Mathematical Biosciences and Engineering, 2019, 16(3): 1414-1444. doi: 10.3934/mbe.2019069

    Related Papers:

  • A new non-autonomous model incorporating diurnal temperature fluctuation is designed to study the transmission dynamics of malaria. In particular, the model is used to assess the impact of different microclimate condition on the population dynamics of malaria. The disease free state of the model is seen to be globally asymptotically stable in the absence of disease induced mortality when the associated reproduction number is less than unity. Also when the associated reproduction number of the model is greater than unity, the disease persist in the population. Numerical simulations of the time-averaged basic reproduction number show that neglecting the variation of indoor and outdoor temperature will under-estimate the value of this threshold parameter. Numerical simulations of the model show that the higher indoor temperature influences the efficacy of control measures as a higher prevalence level is obtained when indoor and outdoor temperature variation is considered. It is further shown that both where the mosquitoes rest and how long they rest there may determine the transmission intensity.


    加载中


    [1] G. J. Abiodun, R. Maharaj, P. Witbooi, et al., Modelling the influence of temperature and rainfall on the population dynamics of anopheles arabiensis, Malaria J., 15 (2016), 364.
    [2] Y. A. Afrane, B.W. Lawson, A. K. Githeko, et al., Effects of microclimatic changes caused by land use and land cover on duration of gonotrophic cycles of anopheles gambiae (Diptera: Culicidae) in western Kenya highlands, J. Med. Entomol., 42 (2005), 974–980.
    [3] F. B. Agusto, A. B. Gumel and P. E. Parham, Qualitative assessment of the role of temperature variation on malaria transmission dynamics, J. Biol. Syst., 24 (2015), 1–34.
    [4] N. Bacaer, Approximation of the basic reproduction number Ro for vector-borne diseases with a periodic vector population, B. Math. Biol., 69 (2007), 1067–1091.
    [5] L. M. Beck-Johnson, W. A. Nelson, K. P. Paaijmans, et al., The importance of temperature fluctuations in understanding mosquito population dynamics and malaria risk, Roy. Soc. Open Sci., 4 (2017). Available from :http://dx.doi.org/10.1098/rsos.160969.
    [6] J. I. Blanford, S. Blanford, R. G. Crane, et al., Implications of temperature variation for malaria parasite development across Africa, Sci. Rep., 3 (2013), 1300.
    [7] P. Cailly, A. Tran, T. Balenghien, et al., A climate-driven abundance model to assess mosquito control strategies, Ecol. Model., 227 (2012), 7–17.
    [8] C. Christiansen-Jucht, K. Erguler, C. Y. Shek, et al., Modelling anopheles gambiae s.s. population dynamics with temperature and age-dependent survival, Int. J. Env. Res. Pub. He., 12 (2015), 5975–6005.
    [9] O. Diekmann, J. Heesterbeek and J. Metz, On the definition and the computation of the basic reproduction ratio R0 in models for infectious diseases in heterogeneous populations, J. Math. Biol., 28 (1990), 365–382.
    [10] Y. Dumont and F. Chiroleu, Vector control for the chikungunya disease, Math. Biosci. Eng., 7 (2010), 105–111.
    [11] A. Egbendewe-Mondzozo, M. Musumba, B. A. McCarl, et al., Climate change and vector-borne diseases: an economic impact analysis of malaria in Africa, Int. J. Env. Res. Pub. He., 8 (2011), 913–930.
    [12] S. M. Garba, A. B. Gumel and M. R. A. Bakar, Backward bifurcations in dengue transmission dynamics, Math. Biosci., 215 (2008), 11–25.
    [13] A. B. Gumel, Causes of backward bifurcation in some epidemiological models, J. Math. Anal. Appl., 395 (2012), 355–365.
    [14] V. Lakshmikantham and S. Leela, Differential and Integral Inequalities: Theory and Applications, Academic Press, New York, 1969.
    [15] J. La Salle and S. Lefschetz, The stability of dynamical systems, SIAM, Philadephia, 1976.
    [16] Y. Lou and X. Q. Zhao, A climate-based malaria transmission model with structured vector population, SIAM J. Appl. Math., 70 (2010), 2023–2044.
    [17] P. Magal and X. Q. Zhao, Global attractors and steady states for uniformly persistent dynamical systems, SIAM J. Math. Anal., 37 (2005), 251–275.
    [18] E. A. Mordecai, Optimal temperature for malaria transmission is dramatically lower than previously predicted, Ecol. Lett., 16 (2013), 22–30.
    [19] E. T. Ngarakana-Gwasira, C. P. Bhunu, M. Masocha, et al., Assessing the role of climate change in malaria transmission in Africa, Malaria Res. Treat., 1 (2016), 1–7.
    [20] C. N. Ngonghala, S. Y. Del Valle, R. Zhao, et al., Quantifying the impact of decay in bed-net efficacy on malaria transmission, J. Theor. Biol., 363 (2014), 247–261.
    [21] H. S. Ngowo, E. W. Kaindoa, J. Matthiopoulos, et al., Variations in household microclimate affect outdoor-biting behaviour of malaria vectors, Wellcome Open Research, 2 (2017).
    [22] A. M. Niger and A. B. Gumel, Mathematical analysis of the role of repeated exposure on malaria transmission dynamics, Diff. Equa. Dyn. Syst., 16 (2008), 251–287.
    [23] K. Okuneye and A. B. Gumel, Analysis of a temperature- and rainfall-dependent model for malaria transmission dynamics, Math. Biosci., 287 (2017), 72–92.
    [24] K. P. Paaijmans, A. F. Read and M. B. Thomas, Understanding the link between malaria risk and climate, P. Natl. Acad. Sci. USA, 106 (2009), 13844–13849.
    [25] K. P. Paaijmans, S. Blanford, A. S. Bell, et al., Influence of climate on malaria transmission depends on daily temperature variation, P. Natl. Acad. Sci. USA, 107 (2010), 15135–15139.
    [26] K. P. Paaijmans, S. S. Imbahale, M. B. Thomas, et al., Relevant microclimate for determining thedevelopment rate of malaria mosquitoes and possible implications of climate change, Malaria J., 9 (2010), 196.
    [27] K. P. Paaijmans and M. B. Thomas, The influence of mosquito resting behaviour and associated microclimate for malaria risk, Malaria J., 10 (2011), 183.
    [28] K. P. Paaijmans and M. B. Thomas, Relevant temperatures in mosquito and malaria biology, In: Ecology of parasite-vector interactions, Wageningen Academic Publishers, 2013.
    [29] P. E. Parham and E. Michael, Modeling the effects of weather and climate change on malaria transmission, Environ. Health Persp., 118 (2010), 620–626.
    [30] D. J. Rogers and S. E. Randolph, Advances in Parasitology, Elsevier Academic Inc, San Diego, 2006.
    [31] M. A. Safi, M. Imran and A. B. Gumel, Threshold dynamics of a non-autonomous SEIRS model with quarantine and isolation, Theor. Biosci., 131 (2012), 19–30.
    [32] L. L. M. Shapiro, S. A. Whitehead and M. B. Thomas, Quantifying the effects of temperature on mosquito and parasite traits that determine the transmission potential of human malaria, PLoS Biol., 15 (2017), e2003489.
    [33] P. Singh, Y. Yadav, S. Saraswat, et al., Intricacies of using temperature of different niches for assessing impact on malaria transmission, Indian J. Med. Res., 144 (2016), 67–75.
    [34] H. L. Smith, Monotone dynamical systems: an introduction to the theory of competitive and cooperative systems, Am. Math. Soc., 41, 1995.
    [35] S. Thomas, S. Ravishankaran, N. A. J. Amala Justin, et al., Microclimate variables of the ambient environment deliver the actual estimates of the extrinsic incubation period of plasmodium vivax and plasmodium falciparum: a study from a malaria endemic urban setting, Chennai in India, Malaria J., 17 (2018), 201.
    [36] P. Van den Driessche and J. Watmough, Reproduction numbers and sub-threshold endemic equilibria for compartmental models of disease transmission, Math. Biosci., 180 (2002), 29–48.
    [37] W. Wang and X. Q. Zhao, Threshold dynamics for compartmental epidemic models in periodic environments, J. Dyn. Differ. Equations, 20 (2008), 699–717.
    [38] Malaria Report, from World Health Organization, 2010. Available from: www.who.int/ mediacenter/factsheets/fs094/en/.
    [39] World Malaria Day, Report of the World Health Organisation (WHO), 2018. Available from: www.who.int/malaria/media/world-malaria-day-2018/en/.
    [40] H. Zhang, P. Georgescu and A. S. Hassan, Mathematical insights and integrated strategies for the control of Aedes aegypti mosquito, Appl. Math. Comput., 273 (2016), 1059–1089.
    [41] F. Zhang and X. Q. Zhao, A periodic epidemic model in a patchy environment, J. Math. Anal. Appl., 325 (2007), 496–516.
    [42] X. Q. Zhao, Dynamical systems in population biology, Springer, New York, 2003.
    [43] X. Q. Zhao, Uniform persistence and periodic co-existence states in infinite-dimensional periodic semiflows with applications, Can. Appl. Math. Q., 3 (1995), 473–495.
  • Reader Comments
  • © 2019 the Author(s), licensee AIMS Press. This is an open access article distributed under the terms of the Creative Commons Attribution License (http://creativecommons.org/licenses/by/4.0)
通讯作者: 陈斌, bchen63@163.com
  • 1. 

    沈阳化工大学材料科学与工程学院 沈阳 110142

  1. 本站搜索
  2. 百度学术搜索
  3. 万方数据库搜索
  4. CNKI搜索

Metrics

Article views(7031) PDF downloads(737) Cited by(10)

Article outline

Figures and Tables

Figures(8)  /  Tables(2)

Other Articles By Authors

/

DownLoad:  Full-Size Img  PowerPoint
Return
Return

Catalog