Research article Special Issues

Wright function solutions for mixed convection flow of micropolar fluid with memory effects: A Caputo fractional derivative approach

  • Published: 21 January 2026
  • MSC : Primary: 35R11; Secondary: 76E06, 44A10, 80A20, 76D05

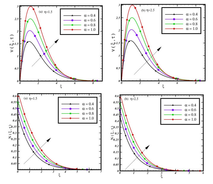
  • This investigation systematically examined mixed convection flow of a fractional micropolar fluid over an oscillating plate, incorporating thermal radiation and memory effects through Caputo fractional derivatives. The governing equations of the proposed problem were non-dimensionalized using appropriate dimensionless variables. Exact solutions for velocity, microrotation, and temperature distributions were derived via the Laplace transform method. The obtained exact solutions were expressed in terms of Wright functions to preserve memory characteristics. Special cases, including Stokes' first problem and fractional viscous fluids, were demonstrated, which showed the model's versatility. The influences of key parameters, such as fractional order ($ \alpha $), micropolar material parameter ($ \beta $), Grashof number ($ Gr $), Prandtl number ($ \Pr $), and radiation parameter ($ R $) on flow and heat transfer characteristics, were analyzed and presented in various graphs. Graphical results illustrate parametric trends emphasizing memory effects, while tabulated data quantified skin friction, wall couple stress, and Nusselt number variations. The results yielded: (1) a generalized fractional micropolar model capturing memory effects, (2) new insights into radiation's role in thermal boundary layer modulation under non-local dynamics, and (3) benchmark solutions for microfluidic device design. This work unified fractional calculus (with its inherent memory effects), micropolar theory, and oscillatory boundary conditions, establishing a foundation for advanced fluid mechanics research.

    Citation: Fisal Asiri. Wright function solutions for mixed convection flow of micropolar fluid with memory effects: A Caputo fractional derivative approach[J]. AIMS Mathematics, 2026, 11(1): 1900-1926. doi: 10.3934/math.2026079

    Related Papers:

  • This investigation systematically examined mixed convection flow of a fractional micropolar fluid over an oscillating plate, incorporating thermal radiation and memory effects through Caputo fractional derivatives. The governing equations of the proposed problem were non-dimensionalized using appropriate dimensionless variables. Exact solutions for velocity, microrotation, and temperature distributions were derived via the Laplace transform method. The obtained exact solutions were expressed in terms of Wright functions to preserve memory characteristics. Special cases, including Stokes' first problem and fractional viscous fluids, were demonstrated, which showed the model's versatility. The influences of key parameters, such as fractional order ($ \alpha $), micropolar material parameter ($ \beta $), Grashof number ($ Gr $), Prandtl number ($ \Pr $), and radiation parameter ($ R $) on flow and heat transfer characteristics, were analyzed and presented in various graphs. Graphical results illustrate parametric trends emphasizing memory effects, while tabulated data quantified skin friction, wall couple stress, and Nusselt number variations. The results yielded: (1) a generalized fractional micropolar model capturing memory effects, (2) new insights into radiation's role in thermal boundary layer modulation under non-local dynamics, and (3) benchmark solutions for microfluidic device design. This work unified fractional calculus (with its inherent memory effects), micropolar theory, and oscillatory boundary conditions, establishing a foundation for advanced fluid mechanics research.



    加载中


    [1] I. Podlubny, Fractional differential equations: An introduction to fractional derivatives, fractional differential equations, to methods of their solution and some of their applications, Elsevier, 1998.
    [2] V. V. Kulish, J. L. Lage, Application of fractional calculus to fluid mechanics, J. Fluid. Eng., 124 (2002), 803–806. https://doi.org/10.1115/1.1478062 doi: 10.1115/1.1478062
    [3] R. L. Magin, Fractional calculus in bioengineering: A tool to model complex dynamics, IEEE, 2012,464–469. https://doi.org/10.1109/CarpathianCC.2012.6228688
    [4] K. Oldham, J. Spanier, The fractional calculus theory and applications of differentiation and integration to arbitrary order, Elsevier, 1974.
    [5] M. D. Ortigueira, J. A. T. Machado, Fractional signal processing and applications, Signal Proc., 83 (2003), 2285–2286. https://doi.org/10.1016/S0165-1684(03)00181-6 doi: 10.1016/S0165-1684(03)00181-6
    [6] F. Mainardi, Fractional calculus and waves in linear viscoelasticity: An introduction to mathematical models, World Scientific, 2022.
    [7] R. Metzler, J. Klafter, The random walk's guide to anomalous diffusion: A fractional dynamics approach, Phys. Rep., 339 (2000), 1–77. https://doi.org/10.1016/S0370-1573(00)00070-3 doi: 10.1016/S0370-1573(00)00070-3
    [8] T. M. Atanackovic, S. Pilipovic, B. Stankovic, D. Zorica, Fractional calculus with applications in mechanics: vibrations and diffusion processes, John Wiley & Sons, 2014. https://doi.org/10.1002/9781118577530
    [9] G. E. Karniadakis, I. G. Kevrekidis, L. Lu, P. Perdikaris, S. F. Wang, L. Yang, Physics-informed machine learning, Nat. Rev. Phys., 3 (2021), 422–440. https://doi.org/10.1038/s42254-021-00314-5 doi: 10.1038/s42254-021-00314-5
    [10] C. H. R. Friedrich, Relaxation and retardation functions of the Maxwell model with fractional derivatives, Rheol. Acta, 30 (1991), 151–158. https://doi.org/10.1007/BF01134604 doi: 10.1007/BF01134604
    [11] W. C. Tan, W. X. Pan, M. Y. Xu, A note on unsteady flows of a viscoelastic fluid with the fractional Maxwell model between two parallel plates, Int. J. Non-Lin. Mech., 38 (2003), 645–650. https://doi.org/10.1016/S0020-7462(01)00121-4 doi: 10.1016/S0020-7462(01)00121-4
    [12] N. Makris, M. C. Constantinou, Fractional-derivative maxwell model for viscous dampers, J. Struct. Eng., 117 (1991), 2708–2724. https://doi.org/10.1061/(ASCE)0733-9445(1991)117:9(2708) doi: 10.1061/(ASCE)0733-9445(1991)117:9(2708)
    [13] A. A. Zafar, C. Fetecau, I. A. Mirza, On the flow of Oldroyd-B fluids with fractional derivatives over a plate that applies shear to the fluid, arXiv: 14084526, 2014.
    [14] A. W. Shaikh, G. Q. Memon, Z. A. Kalhoro, S. Muttaqi, A. Soomro, U. A. Rind, Starting flows for a fractional Oldroyd-B fluid between two coaxial cylinders, Sindh Univ. Res. J.-SURJ (Sci. Ser.), 2014, 46.
    [15] P. Kumar, Revolutionizing heat transfer and fluid flow models: Fractional calculus and non-newtonian dynamics meet advanced numerical methods, Commun. Appl. Nonlinear Anal. 32 (2024), 471–489.
    [16] S. Riaz, M. S. Anwar, A. Jamil, T. Muhammad, Advanced fractional model for predicting MHD yield stress fluid flow with boundary effects, Nonlinear Dyn., 113 (2025), 1–17. https://doi.org/10.1007/s11071-025-11018-1 doi: 10.1007/s11071-025-11018-1
    [17] M. Irfan, M. S. Anwar, S. S. Abas, Z. Hussain, M. Khan, Thermal behavior and efficiency enhancement of CuO-Al2O3 hybrid nanofluids using fractional calculus, J. Therm. Anal. Calorim., 150 (2025), 2181–2194. https://doi.org/10.1007/s10973-024-13822-0 doi: 10.1007/s10973-024-13822-0
    [18] W. Tan, F. Xian, L. Wei, An exact solution of unsteady Couette flow of generalized second grade fluid, Chinese Sci. Bull., 47 (2002), 1783–1785. https://doi.org/10.1360/02tb9389 doi: 10.1360/02tb9389
    [19] M. A. Imran, I. Khan, M. Ahmad, N. A. Shah, M. Nazar, Heat and mass transport of differential type fluid with non-integer order time-fractional Caputo derivatives, J. Mol. Liq., 229 (2017), 67–75. https://doi.org/10.1016/j.molliq.2016.11.095 doi: 10.1016/j.molliq.2016.11.095
    [20] M. Kamran, M. Imran, M. Athar, Exact solutions for the unsteady rotational flow of a generalized second grade fluid through a circular cylinder, Nonlinear Anal.-Model., 15 (2010), 437–444. https://doi.org/10.15388/NA.15.4.14315 doi: 10.15388/NA.15.4.14315
    [21] A. Shakeel, S. Ahmad, H. Khan, D. Vieru, Solutions with Wright functions for time fractional convection flow near a heated vertical plate, Adv. Differ. Equ., 1 (2016), 51. https://doi.org/10.1186/s13662-016-0775-9 doi: 10.1186/s13662-016-0775-9
    [22] I. Khan, N. A. Shah, D. Vieru, Unsteady flow of generalized Casson fluid with fractional derivative due to an infinite plate, Eur. Phys. J. Plus, 131 (2016), 181. https://doi.org/10.1140/epjp/i2016-16181-8 doi: 10.1140/epjp/i2016-16181-8
    [23] N. A. Shah, I. Khan, Heat transfer analysis in a second grade fluid over and oscillating vertical plate using fractional Caputo–Fabrizio derivatives, Eur. Phys. J. C, 76 (2016), 362. https://doi.org/10.1140/epjc/s10052-016-4209-3 doi: 10.1140/epjc/s10052-016-4209-3
    [24] F. Ali, S. A. A. Jan, I. Khan, M. Gohar, N. A.Sheikh, Solutions with special functions for time fractional free convection flow of Brinkman-type fluid, Eur. Phys. J. Plus, 131 (2016), 310. https://doi.org/10.1140/epjp/i2016-16310-5 doi: 10.1140/epjp/i2016-16310-5
    [25] D. Vieru, C. Fetecau, C. Fetecau, Time-fractional free convection flow near a vertical plate with Newtonian heating and mass diffusion, Therm. Sci., 19 (2015), 85–98. https://doi.org/10.2298/TSCI15S1S85V doi: 10.2298/TSCI15S1S85V
    [26] I. Mahariq, H. A. Ghazwani, M. A. Shah, Enhancing heat and mass transfer in MHD tetra hybrid nanofluid on solar collector plate through fractal operator analysis, Res. Eng., 24 (2024), 103163. https://doi.org/10.1016/j.rineng.2024.103163 doi: 10.1016/j.rineng.2024.103163
    [27] Y. Sokolovskyy, T. Samotii, Adaptive fractional neural algorithm for modeling heat-and-mass transfer, Comput. Des. Syst. Theory Pract., 6 (2024), 139–153. https://doi.org/10.23939/cds2024.03.139 doi: 10.23939/cds2024.03.139
    [28] A. C. Eringen, Theory of micropolar fluids, J. Math. Mech., 1966, 1–18. https://doi.org/10.1512/iumj.1967.16.16001 doi: 10.1512/iumj.1967.16.16001
    [29] T. Ariman, A. S. Cakmak, Some basic viscous flows in micropolar fluids, Rheol. Acta, 7 (1968), 236–242. https://doi.org/10.1007/BF01985784 doi: 10.1007/BF01985784
    [30] M. A. Seddeek, S. N. Odda, M. Y. Akl, M. S. Abdelmeguid, Analytical solution for the effect of radiation on flow of a magneto-micropolar fluid past a continuously moving plate with suction and blowing, Comput. Mat. Sci., 45 (2009), 423–428. https://doi.org/10.1016/j.commatsci.2008.11.001 doi: 10.1016/j.commatsci.2008.11.001
    [31] H. H. Sherief, M. S. Faltas, E. A. Ashmawy, Exact solution for the unsteady flow of a semi-infinite micropolar fluid, Acta Mech. Sinica, 27 (2011), 354–359. https://doi.org/10.1007/s10409-011-0452-4 doi: 10.1007/s10409-011-0452-4
    [32] A. Khalid, I. Khan, A. Khan, S. Shafie, Conjugate transfer of heat and mass in unsteady flow of a micropolar fluid with wall couple stress, AIP Adv., 5 (2015), 127125. https://doi.org/10.1063/1.4938551 doi: 10.1063/1.4938551
    [33] A. Hussanan, M. Z. Salleh, I. Khan, R. M. Tahar, Heat and mass transfer in a micropolar fluid with Newtonian heating: An exact analysis, Neural Comput. Appl., 29 (2018), 59–67. https://doi.org/10.1007/s00521-016-2516-0 doi: 10.1007/s00521-016-2516-0
    [34] A. Kumar, P. K. Yadav, Heat and mass transfer analysis of non‐miscible couple stress and micropolar fluids flow through a porous saturated channel, ZAMM, 104 (2024), e202300635. https://doi.org/10.1002/zamm.202300635 doi: 10.1002/zamm.202300635
    [35] H. R. Patel, S. D. Patel, Heat and mass transfer in mixed convection MHD micropolar fluid flow due to non-linear stretched sheet in porous medium with non-uniform heat generation and absorption, Waves Random Complex, 35 (2025), 2551–2581. https://doi.org/10.1080/17455030.2022.2044542 doi: 10.1080/17455030.2022.2044542
    [36] A. Imran, H. Alzubadi, M. R. Ali, A computation analysis with heat and mass transfer for micropolar nanofluid in ciliated microchannel: With application in the ductus efferentes, Heliyon, 10 (2024), e39018. https://doi.org/10.1016/j.heliyon.2024.e39018 doi: 10.1016/j.heliyon.2024.e39018
    [37] N. A. Sheikh, F. Ali, I. Khan, M. Saqib, A. Khan, MHD flow of micropolar fluid over an oscillating vertical plate embedded in porous media with constant temperature and concentration, Math. Probl. Eng., 2017 (2017), 9402964. https://doi.org/10.1155/2017/9402964 doi: 10.1155/2017/9402964
  • Reader Comments
  • © 2026 the Author(s), licensee AIMS Press. This is an open access article distributed under the terms of the Creative Commons Attribution License (http://creativecommons.org/licenses/by/4.0)
通讯作者: 陈斌, bchen63@163.com
  • 1. 

    沈阳化工大学材料科学与工程学院 沈阳 110142

  1. 本站搜索
  2. 百度学术搜索
  3. 万方数据库搜索
  4. CNKI搜索

Metrics

Article views(421) PDF downloads(22) Cited by(0)

Article outline

Figures and Tables

Figures(12)  /  Tables(3)

Other Articles By Authors

/

DownLoad:  Full-Size Img  PowerPoint
Return
Return

Catalog