Research article Special Issues

A modified version of the finite volume scheme for numerical simulation of 1D non-ideal isentropic magnetogasdynamics

  • Published: 19 January 2026
  • MSC : 35L65, 35Q35, 65M08, 76N15, 76W05

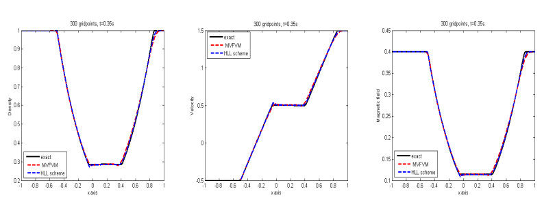
  • Magnetogasdynamics (MGD) is an interdisciplinary area of study that investigates the properties and behavior of electrically conductive gases, including plasmas and ionized fluids, when subjected to magnetic and electric fields. MGD is essential for simulating how electromagnetic fields affect electrically conducting gases, especially in flow regimes with high temperatures and speeds. This article examines a one-dimensional non-ideal isentropic magnetogasdynamic. We offer a modified version of finite volume (MVFV) method for the numerical analysis of this model. This approach represents an improved iteration of the Rusanov scheme, a widely utilized finite volume method for the numerical resolution of hyperbolic systems of conservation laws, particularly in the fields of MGD and fluid dynamics. The MVFV method is structured into two distinct phases: the predictor phase and the corrector phase. The predictor relies on the control parameter, which is responsible for the numerical diffusion of this method. The second phase reinstates the balance conservation equation. The MVFV technique's results are compared to the exact solution and the Harten–Lax–van Leer (HLL) approach in the numerical simulation. The findings validate the reliability of MGD models in effectively representing critical nonlinear phenomena and establish a foundation for forthcoming numerical simulations and experimental verification.

    Citation: Reem Alotaibi, H. G. Abdelwahed, Kamel Mohamed, Mahmoud A. E. Abdelrahman. A modified version of the finite volume scheme for numerical simulation of 1D non-ideal isentropic magnetogasdynamics[J]. AIMS Mathematics, 2026, 11(1): 1449-1462. doi: 10.3934/math.2026061

    Related Papers:

  • Magnetogasdynamics (MGD) is an interdisciplinary area of study that investigates the properties and behavior of electrically conductive gases, including plasmas and ionized fluids, when subjected to magnetic and electric fields. MGD is essential for simulating how electromagnetic fields affect electrically conducting gases, especially in flow regimes with high temperatures and speeds. This article examines a one-dimensional non-ideal isentropic magnetogasdynamic. We offer a modified version of finite volume (MVFV) method for the numerical analysis of this model. This approach represents an improved iteration of the Rusanov scheme, a widely utilized finite volume method for the numerical resolution of hyperbolic systems of conservation laws, particularly in the fields of MGD and fluid dynamics. The MVFV method is structured into two distinct phases: the predictor phase and the corrector phase. The predictor relies on the control parameter, which is responsible for the numerical diffusion of this method. The second phase reinstates the balance conservation equation. The MVFV technique's results are compared to the exact solution and the Harten–Lax–van Leer (HLL) approach in the numerical simulation. The findings validate the reliability of MGD models in effectively representing critical nonlinear phenomena and establish a foundation for forthcoming numerical simulations and experimental verification.



    加载中


    [1] R. J. LeVeque, Finite volume methods for hyperbolic problems, Cambridge: Cambridge University Press, 2002.
    [2] L. C. Evans, Partial differential equations, 2 Eds., AMS, 1998. https://doi.org/10.1090/gsm/019
    [3] E. F. Toro, Riemann solvers and numerical methods for fluid dynamics, Berlin: Springer, 1999.
    [4] K. Mohamed, H. A. Alkhidhr, M. A. E. Abdelrahman, The NHRS scheme for the Chaplygin gas model in one and two dimensions, AIMS Mathematics, 7 (2022), 17785–17801. https://doi.org/10.3934/math.2022979 doi: 10.3934/math.2022979
    [5] S. Kuila, T. Raja Sekhar, Riemann solution for ideal isentropic magnetogasdynamics, Meccanica, 49 (2014), 2453–2465. https://doi.org/10.1007/s11012-014-0009-8 doi: 10.1007/s11012-014-0009-8
    [6] S. Kuila, T. Raja Sekhar, Riemann solution for one dimensional non-ideal isentropic magnetogasdynamics, Comp. Appl. Math., 35 (2016), 119–133. https://doi.org/10.1007/s40314-014-0185-0 doi: 10.1007/s40314-014-0185-0
    [7] Y. Pang, J. Ge, H. Yang, M. Hu, The Riemann problem for an isentropic ideal dusty gas flow with a magnetic field, Math Meth Appl Sci., 43 (2020), 4036–4049. https://doi.org/10.1002/mma.6172 doi: 10.1002/mma.6172
    [8] B. Glacomazzo, L. Rezzolla, The exact solution of the Riemann problem in relativistic magnetohydrodynamics, J. Fluid Mech., 562 (2006), 223–259. https://doi.org/10.1017/S0022112006001145 doi: 10.1017/S0022112006001145
    [9] L. P. Singh, A. Husain, M. Singh, A self-similar solution of exponential shock waves in non-ideal magnetogasdynamics, Meccanica, 46 (2011), 437–445. https://doi.org/10.1007/s11012-010-9325-9 doi: 10.1007/s11012-010-9325-9
    [10] R. Arora, A. Tomar, V.P. Singh, Similarity solutions for strong shocks in a non-ideal gas, Math. Model. Anal., 17 (2012), 351–365. https://doi.org/10.3846/13926292.2012.685957 doi: 10.3846/13926292.2012.685957
    [11] R. S. Myong, P. L. Roe, Shock waves and rarefaction waves in magnetohydrodynamics part 1. A model system, J. Plasma Phys., 58 (1997), 485–519. https://doi.org/10.1017/S002237789700593X doi: 10.1017/S002237789700593X
    [12] Y. Hu, W. Sheng, The Riemann problem of conservation laws in magnetogasdynamics, Commun. Pure Appl. Anal., 12 (2013), 755–769. https://doi.org/10.3934/cpaa.2013.12.755 doi: 10.3934/cpaa.2013.12.755
    [13] K. Mohamed, Simulation numérique en volume finis, de problémes d'écoulements multidimensionnels raides, par un schéma de flux á deux pas, PhD Thesis, 2005, University of Paris 13.
    [14] H. G. Abdelwahed, M. A. E. Abdelrahman, A. F. Alsarhana, K. Mohamed, Investigation of the Ripa model via NHRS scheme with its wide-ranging applications, Fractal Fract., 6 (2022), 745. https://doi.org/10.3390/fractalfract6120745 doi: 10.3390/fractalfract6120745
    [15] K. Mohamed, Y. Omar, M. A. E. Abdelrahman, Simulating the dusty gas flow model via NHRS scheme, Math. Meth. Appl. Sci., 46 (2023), 16802–16811. https://doi.org/10.1002/mma.9475 doi: 10.1002/mma.9475
    [16] K. Mohamed, A finite volume method for numerical simulation of shallow water models with porosity, Comput. Fluids., 104 (2014), 9–19. https://doi.org/10.1016/j.compfluid.2014.07.020 doi: 10.1016/j.compfluid.2014.07.020
    [17] R. J. LeVeque, Numerical Methods for Conservation laws, Basel: Birkhäuser, 1992.
  • Reader Comments
  • © 2026 the Author(s), licensee AIMS Press. This is an open access article distributed under the terms of the Creative Commons Attribution License (http://creativecommons.org/licenses/by/4.0)
通讯作者: 陈斌, bchen63@163.com
  • 1. 

    沈阳化工大学材料科学与工程学院 沈阳 110142

  1. 本站搜索
  2. 百度学术搜索
  3. 万方数据库搜索
  4. CNKI搜索

Metrics

Article views(387) PDF downloads(21) Cited by(0)

Article outline

Figures and Tables

Figures(9)  /  Tables(2)

/

DownLoad:  Full-Size Img  PowerPoint
Return
Return

Catalog