Research article

Stability and bifurcation analysis of a fractional-order prey–predator model with ratio-dependent functional response

  • Published: 16 January 2026
  • MSC : 39A28, 39A30

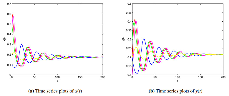
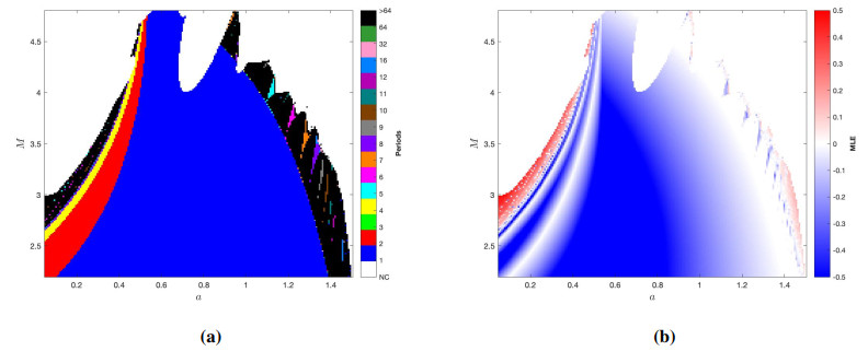
  • This paper explores the dynamics of a fractional prey–predator system with a ratio-dependent functional response with memory and hereditary effects in predator–prey interactions. The model is developed by the Caputo fractional derivative, and the existence, uniqueness, positivity, and boundedness of solutions are proven to satisfy biological reality. Stability conditions for local and global stability of both predator-free and coexistence equilibria are proven through linearization and Lyapunov function techniques. The fractional order is used as a bifurcation parameter, and the appearance of Hopf bifurcations is analytically explained with demonstration of the influence of memory on oscillations. To examine discrete-time dynamics, the piecewise constant argument is used to derive a discrete counterpart of the fractional model. The discrete model indicates a wide range of rich complex oscillatory phenomena, including period-doubling and Neimark–Sacker bifurcations, leading to periodic, quasiperiodic, and chaotic oscillations. Numerical computations, including bifurcation diagrams, phase portraits, and Lyapunov exponents, verify the analytical results and describe the routes of transition to chaos. A comparative analysis to compare integer- and fractional-order cases indicates that memory effects enhance dynamical richness and sensitivity to parameters. The study provides a unified framework relating continuous fractional dynamics and their discrete implementations and provides additional insight into how memory and discretization interact to modify stability and bifurcation in ecological models.

    Citation: Ibrahim Alraddadi, Ramesh Perumal, Rizwan Ahmed, Jawad Khan, Youngmoon Lee. Stability and bifurcation analysis of a fractional-order prey–predator model with ratio-dependent functional response[J]. AIMS Mathematics, 2026, 11(1): 1412-1448. doi: 10.3934/math.2026060

    Related Papers:

  • This paper explores the dynamics of a fractional prey–predator system with a ratio-dependent functional response with memory and hereditary effects in predator–prey interactions. The model is developed by the Caputo fractional derivative, and the existence, uniqueness, positivity, and boundedness of solutions are proven to satisfy biological reality. Stability conditions for local and global stability of both predator-free and coexistence equilibria are proven through linearization and Lyapunov function techniques. The fractional order is used as a bifurcation parameter, and the appearance of Hopf bifurcations is analytically explained with demonstration of the influence of memory on oscillations. To examine discrete-time dynamics, the piecewise constant argument is used to derive a discrete counterpart of the fractional model. The discrete model indicates a wide range of rich complex oscillatory phenomena, including period-doubling and Neimark–Sacker bifurcations, leading to periodic, quasiperiodic, and chaotic oscillations. Numerical computations, including bifurcation diagrams, phase portraits, and Lyapunov exponents, verify the analytical results and describe the routes of transition to chaos. A comparative analysis to compare integer- and fractional-order cases indicates that memory effects enhance dynamical richness and sensitivity to parameters. The study provides a unified framework relating continuous fractional dynamics and their discrete implementations and provides additional insight into how memory and discretization interact to modify stability and bifurcation in ecological models.



    加载中


    [1] A. J. Lotka, Elements of physical biology, Nature, 116 (1925), 461. https://doi.org/10.1038/116461b0
    [2] V. Volterra, Fluctuations in the abundance of a species considered mathematically, Nature, 118 (1926), 558–560. https://doi.org/10.1038/118558a0 doi: 10.1038/118558a0
    [3] M. Javidi, N. Nyamoradi, Dynamic analysis of a fractional order prey-predator interaction with harvesting, Appl. Math. Model., 37 (2023), 8946-8956. https://doi.org/10.1016/j.apm.2013.04.024 doi: 10.1016/j.apm.2013.04.024
    [4] H. L. Li, L. Zhang, C. Hu, Y. L. Jiang, Z. Teng, Dynamical analysis of a fractional-order predator-prey model incorporating a prey refuge, J. Appl. Math. Comput., 54 (2017), 435–449. https://doi.org/10.1007/s12190-016-1017-8 doi: 10.1007/s12190-016-1017-8
    [5] M. F. Elettreby, A. A. Al-Raezah, T. Nabil, Fractional-order model of two-prey one-predator system, Math. Probl. Eng., 2017 (2017), 6714538. https://doi.org/10.1155/2017/6714538 doi: 10.1155/2017/6714538
    [6] H. L. Li, A. Muhammadhaji, L. Zhang, Z. Teng, Stability analysis of a fractional-order predator-prey model incorporating a constant prey refuge and feedback control, Adv. Differ. Equ., 2018 (2018), 325. https://doi.org/10.1186/s13662-018-1776-7 doi: 10.1186/s13662-018-1776-7
    [7] K. Sarkar, B. Mondal, Dynamic analysis of a fractional-order predator-prey model with harvesting, Int. J. Dynam. Control, 11 (2023), 1518–1531. https://doi.org/10.1007/s40435-022-01074-5 doi: 10.1007/s40435-022-01074-5
    [8] G. Zhang, Y. Shen, B. Chen, Positive periodic solutions in a non-selective harvesting predator-prey model with multiple delays, J. Math. Anal. Appl., 395 (2012), 298–306. https://doi.org/10.1016/j.jmaa.2012.05.045 doi: 10.1016/j.jmaa.2012.05.045
    [9] G. Zhang, Y. Shen, B. Chen, Hopf bifurcation of a predator-prey system with predator harvesting and two delays, Nonlinear Dyn., 73 (2013), 2119–2131. https://doi.org/10.1007/s11071-013-0928-2 doi: 10.1007/s11071-013-0928-2
    [10] D. Midya, B. Bhunia, T. K. Kar, Influence of prey refuge and fear effect on fractional order delayed predator-prey model, Phys. Scr., 100 (2025), 055212. https://doi.org/10.1088/1402-4896/adc849 doi: 10.1088/1402-4896/adc849
    [11] B. Ghosh, B. Barman, M. Saha, Multiple dynamics in a delayed predator-prey model with asymmetric functional and numerical responses, Math. Methods Appl. Sci., 46 (2023), 5187–5207. https://doi.org/10.1002/mma.8825 doi: 10.1002/mma.8825
    [12] F. Alsharif, R. Ahmed, I. Alraddadi, M. Alsubhi, M. Amer, M. J. Uddin, A study of stability and bifurcation in a discretized predator-prey model with Holling type Ⅲ response and prey refuge via piecewise constant argument method, Complexity, 2025 (2025), 4542190. https://doi.org/10.1155/cplx/4542190 doi: 10.1155/cplx/4542190
    [13] P. A. Naik, Y. Javaid, R. Ahmed, Z. Eskandari, A. H. Ganie, Stability and bifurcation analysis of a population dynamic model with Allee effect via piecewise constant argument method, J. Appl. Math. Comput., 70 (2024), 4189–4218. https://doi.org/10.1007/s12190-024-02119-y doi: 10.1007/s12190-024-02119-y
    [14] R. Ahmed, A. Q. Khan, M. Amer, A. Faizan, I. Ahmed, Complex dynamics of a discretized predator-prey system with prey refuge using a piecewise constant argument method, Int. J. Bifurcat. Chaos, 34 (2024), 2450120. https://doi.org/10.1142/s0218127424501207 doi: 10.1142/s0218127424501207
    [15] R. Ahmed, M. Adnan, A. Rauf, Dynamic complexity in a discretized fractional-order Cournot Duopoly model using piecewise constant argument method, Quantum Inf. Process., 24 (2025), 256. https://doi.org/10.1007/s11128-025-04882-8 doi: 10.1007/s11128-025-04882-8
    [16] A. A. Kilbas, H. M. Srivastava, J. Trujillo, Theory and applications of fractional differential equations, Vol. 204, North-Holland Mathematics Studies, Elsevier, 2006. https://doi.org/10.1016/s0304-0208(06)x8001-5
    [17] Z. M. Odibat, N. T. Shawagfeh, Generalized Taylor's formula, Appl. Math. Comput., 186 (2007), 286–293. https://doi.org/10.1016/j.amc.2006.07.102
    [18] I. Petráš, Fractional-order nonlinear systems: modeling, analysis and simulation, Springer Berlin, 2011. https://doi.org/10.1007/978-3-642-18101-6
    [19] Y. Li, Y. Q. Chen, I. Podlubny, Stability of fractional-order nonlinear dynamic systems: Lyapunov direct method and generalized Mittag-Leffler stability, Comput. Math. Appl., 59 (2010), 1810–1821. https://doi.org/10.1016/j.camwa.2009.08.019 doi: 10.1016/j.camwa.2009.08.019
    [20] C. Vargas-De-Léon, Volterra-type Lyapunov functions for fractional-order epidemic systems, Commun. Nonlinear Sci. Numer. Simul., 24 (2015), 75–85. https://doi.org/10.1016/j.cnsns.2014.12.013 doi: 10.1016/j.cnsns.2014.12.013
    [21] B. Tang, Dynamics for a fractional-order predator-prey model with group defense, Sci. Rep., 10 (2020), 4906. https://doi.org/10.1038/s41598-020-61468-3 doi: 10.1038/s41598-020-61468-3
    [22] M. S. Abdelouahab, N. E. Hamri, J. Wang, Hopf bifurcation and chaos in fractional-order modified hybrid optical system, Nonlinear Dyn., 69 (2012), 275–284. https://doi.org/10.1007/s11071-011-0263-4 doi: 10.1007/s11071-011-0263-4
    [23] X. Li, R. Wu, Hopf bifurcation analysis of a new commensurate fractional-order hyperchaotic system, Nonlinear Dyn., 78 (2014), 279–288. https://doi.org/10.1007/s11071-014-1439-5 doi: 10.1007/s11071-014-1439-5
    [24] K. Diethelm, N. J. Ford, A. D. Freed, A predictor-corrector approach for the numerical solution of fractional differential equations, Nonlinear Dyn., 29 (2002), 3–22. https://doi.org/10.1023/a:1016592219341 doi: 10.1023/a:1016592219341
    [25] E. Ahmed, A. M. El-Sayed, A. E. El-Mesiry, H. A. El-Saka, Numerical solution for the fractional replicator equation, Int. J. Mod. Phys. C, 16 (2011), 1017–1025. https://doi.org/10.1142/s0129183105007698 doi: 10.1142/s0129183105007698
    [26] A. C. J. Luo, Regularity and complexity in dynamical systems, Vol. 1, Springer New York, 2012. https://doi.org/10.1007/978-1-4614-1524-4
    [27] J. Guckenheimer, P. Holmes, Nonlinear oscillations, dynamical systems, and bifurcations of vector fields, Vol. 42, Springer New York, 1983. https://doi.org/10.1007/978-1-4612-1140-2
    [28] S. Wiggins, M. Golubitsky, Introduction to applied nonlinear dynamical Systems and Chaos, Vol. 2. Springer New York, 2003. https://doi.org/10.1007/b97481
    [29] A. Suleman, A. Q. Khan, R. Ahmed, Bifurcation analysis of a discrete Leslie-Gower predator-prey model with slow-fast effect on predator, Math. Methods Appl. Sci., 47 (2024), 8561–8580. https://doi.org/10.1002/mma.10032 doi: 10.1002/mma.10032
    [30] A. Tassaddiq, A. Mehmood, R. Ahmed, Impact of carrying capacity on the dynamics of a discrete-time plant-herbivore system, Chaos Soliton. Fract., 201 (2025), 117284. https://doi.org/10.1016/j.chaos.2025.117284 doi: 10.1016/j.chaos.2025.117284
  • Reader Comments
  • © 2026 the Author(s), licensee AIMS Press. This is an open access article distributed under the terms of the Creative Commons Attribution License (http://creativecommons.org/licenses/by/4.0)
通讯作者: 陈斌, bchen63@163.com
  • 1. 

    沈阳化工大学材料科学与工程学院 沈阳 110142

  1. 本站搜索
  2. 百度学术搜索
  3. 万方数据库搜索
  4. CNKI搜索

Metrics

Article views(213) PDF downloads(24) Cited by(0)

Article outline

Figures and Tables

Figures(10)

/

DownLoad:  Full-Size Img  PowerPoint
Return
Return

Catalog