Research article

Impact of double Allee effect on the dynamics and stability of a predator-prey model

  • Published: 15 January 2026
  • MSC : 39A28, 39A30

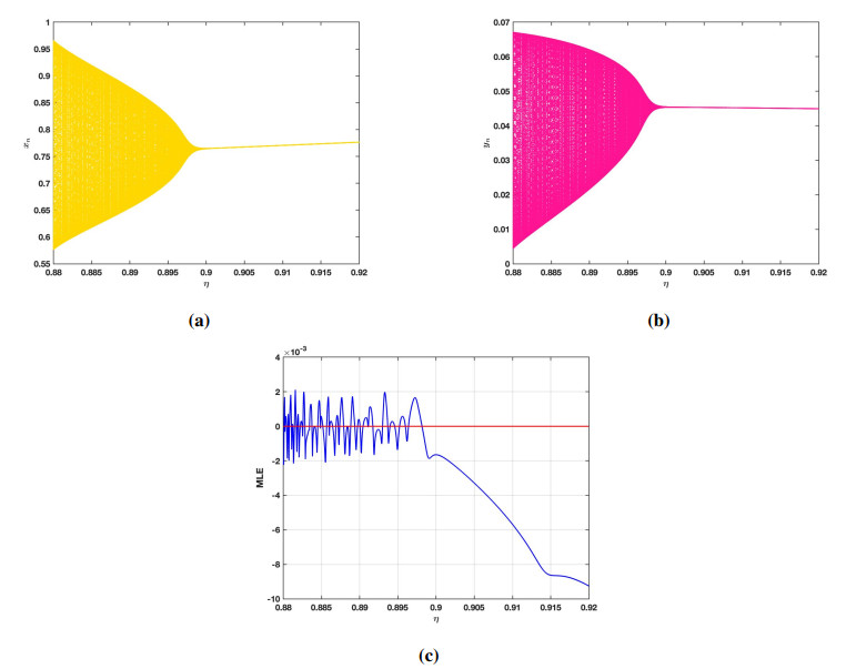
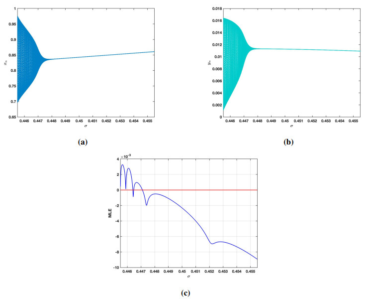
  • In this paper, we investigated the complex dynamics of a discrete-time predator-prey model incorporating a double Allee effect in the prey population. We investigated the existence and stability of biologically meaningful fixed points, including extinction, prey-only, and coexistence equilibria. Through analytical and numerical bifurcation analysis, we demonstrated that the model underwent a Neimark-Sacker bifurcation as key parameters varied, leading to quasi-periodic oscillations that characterized realistic population cycles. Our results revealed that stronger Allee effects tend to destabilize the model, increasing extinction risks and promoting oscillatory dynamics, while higher predator mortality rates and saturation in predation response enhance stability. A comparative analysis with models lacking the Allee effect highlights its critical role in delaying equilibrium convergence and inducing instability at low population densities. These findings provide important insights for ecological conservation, particularly for species vulnerable to population depletion, and contribute to the theoretical understanding of predator-prey models with density-dependent growth constraints.

    Citation: Asifa Tassaddiq, Rizwan Ahmed, Jawad Khan, Youngmoon Lee. Impact of double Allee effect on the dynamics and stability of a predator-prey model[J]. AIMS Mathematics, 2026, 11(1): 1117-1144. doi: 10.3934/math.2026048

    Related Papers:

  • In this paper, we investigated the complex dynamics of a discrete-time predator-prey model incorporating a double Allee effect in the prey population. We investigated the existence and stability of biologically meaningful fixed points, including extinction, prey-only, and coexistence equilibria. Through analytical and numerical bifurcation analysis, we demonstrated that the model underwent a Neimark-Sacker bifurcation as key parameters varied, leading to quasi-periodic oscillations that characterized realistic population cycles. Our results revealed that stronger Allee effects tend to destabilize the model, increasing extinction risks and promoting oscillatory dynamics, while higher predator mortality rates and saturation in predation response enhance stability. A comparative analysis with models lacking the Allee effect highlights its critical role in delaying equilibrium convergence and inducing instability at low population densities. These findings provide important insights for ecological conservation, particularly for species vulnerable to population depletion, and contribute to the theoretical understanding of predator-prey models with density-dependent growth constraints.



    加载中


    [1] A. J. Lotka, Elements of physical biology, Nature, 116 (1925), 461. https://doi.org/10.1038/116461b0
    [2] V. Volterra, Fluctuations in the abundance of a species considered mathematically, Nature, 118 (1926), 558–560. http://dx.doi.org/10.1038/118558a0 doi: 10.1038/118558a0
    [3] K. Sarkar, S. Khajanchi, P. C. Mali, J. J. Nieto, Rich dynamics of a predator-prey system with different kinds of functional responses, Complexity, 2020 (2020), 4285294. https://doi.org/10.1155/2020/4285294 doi: 10.1155/2020/4285294
    [4] M. Alsubhi, R. Ahmed, I. Alraddadi, F. Alsharif, M. Imran, Stability and bifurcation analysis of a discrete-time plant-herbivore model with harvesting effect, AIMS Math., 9 (2024), 20014–20042. https://doi.org/10.3934/math.2024976 doi: 10.3934/math.2024976
    [5] M. S. Shabbir, Q. Din, Understanding cannibalism dynamics in predator-prey interactions: bifurcations and chaos control strategies, Qual. Theory Dyn. Syst., 23 (2024), 53. https://doi.org/10.1007/s12346-023-00908-7 doi: 10.1007/s12346-023-00908-7
    [6] X. Y. Wang, L. Zanette, X. F. Zou, Modelling the fear effect in predator-prey interactions, J. Math. Biol., 73 (2016), 1179–1204. https://doi.org/10.1007/s00285-016-0989-1 doi: 10.1007/s00285-016-0989-1
    [7] F. Y. Zhu, R. Z. Yang, Bifurcation in a modified Leslie-Gower model with nonlocal competition and fear effect, Discrete Contin. Dyn. Syst. S, 30 (2025), 2865–2893. https://doi.org/10.3934/dcdsb.2024195 doi: 10.3934/dcdsb.2024195
    [8] I. M. Alsulami, R. Ahmed, F. Ashraf, Exploring complex dynamics in a Ricker type predator-prey model with prey refuge, Chaos, 35 (2025), 023107. https://doi.org/10.1063/5.0232030 doi: 10.1063/5.0232030
    [9] R. Ahmed, S. Akhtar, U. Farooq, S. Ali, Stability, bifurcation, and chaos control of predator-prey system with additive Allee effect, Commun. Math. Biol. Neurosci., 2023 (2023), 1–25. https://doi.org/10.28919/cmbn/7824 doi: 10.28919/cmbn/7824
    [10] P. A. Naik, R. Ahmed, A. Faizan, Theoretical and numerical bifurcation analysis of a discrete predator-prey system of Ricker type with weak Allee effect, Qual. Theory Dyn. Syst., 23 (2024), 260. https://doi.org/10.1007/s12346-024-01124-7 doi: 10.1007/s12346-024-01124-7
    [11] A. A. Khabyah, R. Ahmed, M. S. Akram, S. Akhtar, Stability, bifurcation, and chaos control in a discrete predator-prey model with strong Allee effect, AIMS Math., 8 (2023), 8060–8081. https://doi.org/10.3934/math.2023408 doi: 10.3934/math.2023408
    [12] W. C. Allee, Animal aggregations, a study in general sociology, The University of Chicago Press, 1931. https://doi.org/10.5962/bhl.title.7313
    [13] Z. C. Shang, Y. H. Qiao, Bifurcation analysis in a predator-prey model with strong Allee effect on prey and density-dependent mortality of predator, Math. Methods Appl. Sci., 47 (2024), 3021–3040. https://doi.org/10.1002/mma.9793 doi: 10.1002/mma.9793
    [14] R. Kumbhakar, S. Pal, N. Pal, P. K. Tiwari, Bistability and tristability in a predator-prey model with strong Allee effect in prey, J. Biol. Syst., 31 (2023), 215–243. https://doi.org/10.1142/s0218339023500110 doi: 10.1142/s0218339023500110
    [15] L. M. Zhang, T. Wang, Qualitative properties, bifurcations and chaos of a discrete predator-prey system with weak Allee effect on the predator, Chaos Solitons Fract., 175 (2023), 113995. https://doi.org/10.1016/j.chaos.2023.113995 doi: 10.1016/j.chaos.2023.113995
    [16] Y. R. Dong, H. Liu, Y. M. Wei, Q. B. Zhang, G. Ma, Stability and Hopf bifurcation analysis of a predator-prey model with weak Allee effect delay and competition delay, Mathematics, 12 (2024), 2853. https://doi.org/10.3390/math12182853 doi: 10.3390/math12182853
    [17] Y. N. Zeng, P. Yu, Complex dynamics of predator-prey systems with Allee effect, Int. J. Bifur. Chaos, 32 (2022), 2250203. https://doi.org/10.1142/s0218127422502030 doi: 10.1142/s0218127422502030
    [18] Y. Z. Liu, Z. Y. Zhang, Z. Li, The impact of Allee effect on a Leslie-Gower predator-prey model with hunting cooperation, Qual. Theory Dyn. Syst., 23 (2024), 88. https://doi.org/10.1007/s12346-023-00940-7 doi: 10.1007/s12346-023-00940-7
    [19] F. D. Chen, Z. Li, Q. Pan, Q. Zhu, Bifurcations in a Leslie-Gower predator-prey model with strong Allee effects and constant prey refuges, Chaos Solitons Fract., 192 (2025), 115994. https://doi.org/10.1016/j.chaos.2025.115994 doi: 10.1016/j.chaos.2025.115994
    [20] Y. D. Ma, M. Zhao, Y. F. Du, Impact of the strong Allee effect in a predator-prey model, AIMS Math., 7 (2022), 16296–16314. https://doi.org/10.3934/math.2022890 doi: 10.3934/math.2022890
    [21] B. Tiwari, S. N. Raw, Dynamics of Leslie-Gower model with double Allee effect on prey and mutual interference among predators, Nonlinear Dyn., 103 (2021), 1229–1257. https://doi.org/10.1007/s11071-020-06095-3 doi: 10.1007/s11071-020-06095-3
    [22] F. T. Wang, R. Z. Yang, X. Zhang, Turing patterns in a predator-prey model with double Allee effect, Math. Comput. Simul., 220 (2024), 170–191. https://doi.org/10.1016/j.matcom.2024.01.015 doi: 10.1016/j.matcom.2024.01.015
    [23] J. F. Jiao, C. Chen, Bogdanov-Takens bifurcation analysis of a delayed predator-prey system with double Allee effect, Nonlinear Dyn., 104 (2021), 1697–1707. https://doi.org/10.1007/s11071-021-06338-x doi: 10.1007/s11071-021-06338-x
    [24] G. Mandal, L. N. Guin, S. Chakravarty, R. J. Han, Dynamic complexities in a predator-prey model with prey refuge influenced by double Allee effects, Math. Comput. Simul., 227 (2025), 527–552. https://doi.org/10.1016/j.matcom.2024.08.015 doi: 10.1016/j.matcom.2024.08.015
    [25] P. J. Pal, T. Saha, Qualitative analysis of a predator-prey system with double Allee effect in prey, Chaos Solitons Fract., 73 (2015), 36–63. https://doi.org/10.1016/j.chaos.2014.12.007 doi: 10.1016/j.chaos.2014.12.007
    [26] F. T. Wang, R. Z. Yang, Dynamics of a delayed reaction-diffusion predator-prey model with nonlocal competition and double Allee effect in prey, Int. J. Biomath., 18 (2025), 2350097. https://doi.org/10.1142/s1793524523500973 doi: 10.1142/s1793524523500973
    [27] C. Mondal, R. Mondal, D. Kesh, D. Mukherjee, Dynamics of predator-prey system with the consequences of double Allee effect in prey population, J. Biol. Phys., 51 (2025), 5. https://doi.org/10.1007/s10867-025-09670-0 doi: 10.1007/s10867-025-09670-0
    [28] P. A. Naik, Z. Eskandari, Z. Avazzadeh, J. Zu, Multiple bifurcations of a discrete-time prey-predator model with mixed functional response, Int. J. Bifur. Chaos, 32 (2022), 2250050. https://doi.org/10.1142/s021812742250050x doi: 10.1142/s021812742250050x
    [29] A. Suleman, A. Q. Khan, R. Ahmed, Bifurcation analysis of a discrete Leslie-Gower predator-prey model with slow-fast effect on predator, Math. Methods Appl. Sci., 47 (2024), 8561–8580. https://doi.org/10.1002/mma.10032 doi: 10.1002/mma.10032
    [30] P. A. Naik, M. Amer, R. Ahmed, S. Qureshi, Z. X. Huang, Stability and bifurcation analysis of a discrete predator-prey system of Ricker type with refuge effect, Math. Biosci. Eng., 21 (2024), 4554–4586. https://doi.org/10.3934/mbe.2024201 doi: 10.3934/mbe.2024201
    [31] R. Ahmed, N. Tahir, N. A. Shah, An analysis of the stability and bifurcation of a discrete-time predator-prey model with the slow-fast effect on the predator, Chaos, 34 (2024), 033127. https://doi.org/10.1063/5.0185809 doi: 10.1063/5.0185809
    [32] P. Baydemir, H. Merdan, E. Karaoglu, G. Sucu, Complex dynamics of a discrete-time prey-predator system with Leslie type: stability, bifurcation analyses and chaos, Int. J. Bifur. Chaos, 30 (2020), 2050149. https://doi.org/10.1142/s0218127420501497 doi: 10.1142/s0218127420501497
    [33] R. Ahmed, A. Q. Khan, M. Amer, A. Faizan, I. Ahmed, Complex dynamics of a discretized predator-prey system with prey refuge using a piecewise constant argument method, Int. J. Bifur. Chaos, 34 (2024), 2450120. https://doi.org/10.1142/s0218127424501207 doi: 10.1142/s0218127424501207
    [34] P. A. Naik, Y. Javaid, R. Ahmed, Z. Eskandari, A. H. Ganie, Stability and bifurcation analysis of a population dynamic model with Allee effect via piecewise constant argument method, J. Appl. Math. Comput., 70 (2024), 4189–4218. https://doi.org/10.1007/s12190-024-02119-y doi: 10.1007/s12190-024-02119-y
    [35] S. F. Aldosary, R. Ahmed, Stability and bifurcation analysis of a discrete Leslie predator-prey system via piecewise constant argument method, AIMS Math., 9 (2024), 4684–4706. https://doi.org/10.3934/math.2024226 doi: 10.3934/math.2024226
    [36] A. C. Luo, Regularity and complexity in dynamical systems, New York: Springer, 2012. http://dx.doi.org/10.1007/978-1-4614-1524-4
    [37] J. Guckenheimer, P. Holmes, Nonlinear oscillations, dynamical systems, and bifurcations of vector fields, New York: Springer, 1983. http://dx.doi.org/10.1007/978-1-4612-1140-2
    [38] S. Wiggins, Introduction to applied nonlinear dynamical systems and chaos, New York: Springer, 1990. http://dx.doi.org/10.1007/978-1-4757-4067-7
  • Reader Comments
  • © 2026 the Author(s), licensee AIMS Press. This is an open access article distributed under the terms of the Creative Commons Attribution License (http://creativecommons.org/licenses/by/4.0)
通讯作者: 陈斌, bchen63@163.com
  • 1. 

    沈阳化工大学材料科学与工程学院 沈阳 110142

  1. 本站搜索
  2. 百度学术搜索
  3. 万方数据库搜索
  4. CNKI搜索

Metrics

Article views(319) PDF downloads(28) Cited by(0)

Article outline

Figures and Tables

Figures(8)

/

DownLoad:  Full-Size Img  PowerPoint
Return
Return

Catalog