Research article

Recovering time-dependent coefficients in a parabolic equation from two nonlocal measurements

  • Published: 12 January 2026
  • MSC : 65M32, 35R30

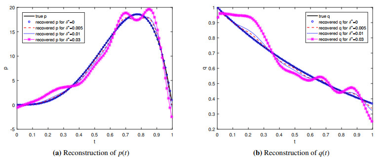
  • This work investigates the inverse recovery of two time-dependent coefficients in a one-dimensional parabolic initial–boundary value problem using two nonlocal measurements. Under suitable regularity assumptions and a natural identifiability condition, we establish the existence and uniqueness of the reconstructed coefficients. We further clarify the intrinsic ill-posedness of the problem, noting that the reconstruction step inherently amplifies high-frequency noise, thereby necessitating regularization. Building on these insights, we develop a Crank–Nicolson finite-difference inversion method, which at each half time step reduces to solving a small linear system for the two coefficients. To stabilize the measured data, we employ mollification. Numerical experiments with synthetic data demonstrate accurate reconstructions under small noise levels and reveal that the recovery of the first coefficient is more sensitive to noise than that of the second. The results highlight the critical roles of identifiability and data smoothing in achieving stable performance.

    Citation: Shufang Qiu, Hang Deng, Zewen Wang, Di Liu. Recovering time-dependent coefficients in a parabolic equation from two nonlocal measurements[J]. AIMS Mathematics, 2026, 11(1): 810-824. doi: 10.3934/math.2026035

    Related Papers:

  • This work investigates the inverse recovery of two time-dependent coefficients in a one-dimensional parabolic initial–boundary value problem using two nonlocal measurements. Under suitable regularity assumptions and a natural identifiability condition, we establish the existence and uniqueness of the reconstructed coefficients. We further clarify the intrinsic ill-posedness of the problem, noting that the reconstruction step inherently amplifies high-frequency noise, thereby necessitating regularization. Building on these insights, we develop a Crank–Nicolson finite-difference inversion method, which at each half time step reduces to solving a small linear system for the two coefficients. To stabilize the measured data, we employ mollification. Numerical experiments with synthetic data demonstrate accurate reconstructions under small noise levels and reveal that the recovery of the first coefficient is more sensitive to noise than that of the second. The results highlight the critical roles of identifiability and data smoothing in achieving stable performance.



    加载中


    [1] V. Isakov, S. Kindermann, Identification of the diffusion coefficient in a one-dimensional parabolic equation, Inverse Probl., 16 (2000), 665. https://doi.org/10.1093/oq/16.4.665 doi: 10.1093/oq/16.4.665
    [2] Z. Liu, B. Wang, Coefficient identification in parabolic equations, Inverse Probl., 209 (2009), 379–390. https://doi.org/10.1016/j.amc.2008.12.062 doi: 10.1016/j.amc.2008.12.062
    [3] N. B. Kerimov, M. I. Ismailov, An inverse coefficient problem for the heat equation in the case of nonlocal boundary conditions, J. Math. Anal. Appl., ‌ 396 (2012), 546–554. https://doi.org/10.1016/j.jmaa.2012.06.046
    [4] M. I. Ismailov, F. Kanca, An inverse coefficient problem for a parabolic equation in the case of nonlocal boundary and overdetermination conditions, Math. Meth. Appl. Sci., ‌ 34 (2011), 692–702. https://doi.org/10.1002/mma.1396
    [5] D. Trucu, D. B. Ingham, D. Lesnic, An inverse coefficient identification problem for the bio-heat equation, Inverse Probl. Sci. En., 17 (2009), 65–83. https://doi.org/10.1080/17415970802082880 doi: 10.1080/17415970802082880
    [6] A. Hazanee, D. Lesnic, Determination of a time-dependent coefficient in the bioheat equation, Int. J. Mech. Sci., 88 (2014), 259–266. https://doi.org/10.1016/j.ijmecsci.2014.05.017 doi: 10.1016/j.ijmecsci.2014.05.017
    [7] M. I. Ismailov, F. S. V. Bazán, L. Bedin, Time-dependent perfusion coefficient estimation in a bioheat transfer problem, Comput. Phys. Commun., 230 (2018), 50–58. https://doi.org/10.1016/j.cpc.2018.04.019 doi: 10.1016/j.cpc.2018.04.019
    [8] Q. Bi, Z. Lin, B. Chen, M. Lai, Y. Guo, Y. Lv, et al., Super-Resolution Reconstruction of Weak Targets on Water Surfaces: A Generative Adversarial Network Approach Based on Implicit Neural Representation, Trait. Signal, 40 (2023), 2701–2710. http://doi.org/10.18280/ts.400630 doi: 10.18280/ts.400630
    [9] S. Wang, Y. Lin, A finite-difference solution to an inverse problem for determining a control function in a parabolic partial differential equation, Inverse Probl., 5 (1989), 631. http://doi.org/10.1088/0266-5611/5/4/013 doi: 10.1088/0266-5611/5/4/013
    [10] Z. Wang, Z. Ruan, H. Huang, S. Qiu, Determination of an unknown time-dependent heat source from a nonlocal measurement by finite difference method, Acta Math. Appl. Sin, -E., 36 (2020), 151–165. http://dx.doi.org/10.1007/s10255-020-0918-3 doi: 10.1007/s10255-020-0918-3
    [11] Q. Cao, B. Hu, S. Wan, Z. Wang, Numerical inversion algorithm for the perfusion rate function in the bioheat transfer equation, J. Jinggangshan. Univ. (Natural Sci.), 43 (2022), 22–27. http://doi.org/10.3969/j.issn.1674-8085.2022.02.004 doi: 10.3969/j.issn.1674-8085.2022.02.004
    [12] D. A. Murio, C. E. Mejía, S. Zhan, Discrete mollification and automatic numerical differentiation, Comput. Math. Appl., 35 (1998), 1–16. https://doi.org/10.1016/S0898-1221(98)00001-7 doi: 10.1016/S0898-1221(98)00001-7
    [13] D. A. Murio, On the stable numerical evaluation of caputo fractional derivatives, Comput. Math. Appl., 51 (2006), 1539–1550. https://doi.org/10.1016/j.camwa.2005.11.037 doi: 10.1016/j.camwa.2005.11.037
    [14] J. Cheng, J. Nakagawa, M. Yamamoto, T. Yamazaki, Uniqueness in an inverse problem for a one-dimensional fractional diffusion equation, Inverse Probl., 25 (2009), 115002. http://doi.org/10.1088/0266-5611/25/11/115002 doi: 10.1088/0266-5611/25/11/115002
    [15] J. J. Liu, M. Yamamoto, A backward problem for the time-fractional diffusion equation, Appl. Anal., 89 (2010), 1769–1788. https://doi.org/10.1080/00036810903479731 doi: 10.1080/00036810903479731
    [16] Y. Zhang, X. Xu, Inverse source problem for a fractional diffusion equation, Inverse Probl., 27 (2011), 035010. http://doi.org/10.1088/0266-5611/27/3/035010 doi: 10.1088/0266-5611/27/3/035010
    [17] Q. Chen, Z. Wang, A double-parameter regularization scheme for the backward diffusion problem with a time-fractional derivative, Fractal Fract., 9 (2025), 459. http://dx.doi.org/10.3390/fractalfract9070459 doi: 10.3390/fractalfract9070459
    [18] Z. Wang, S. Qiu, X. Rui, W. Zhang, Numerical differentiation of fractional order derivatives based on inverse source problems of hyperbolic equations, Math. Model. Anal., 30 (2025), 74–96. https://doi.org/10.3846/mma.2025.19339 doi: 10.3846/mma.2025.19339
    [19] M. S. Hussein, D. Lesnic, M. I. Ivanchov, Simultaneous determination of time-dependent coefficients in the heat equation, Comput. Math. Appl., 67 (2014), 1065–1091. https://doi.org/10.1016/j.camwa.2014.01.004 doi: 10.1016/j.camwa.2014.01.004
    [20] S. Chen, D. Jiang, H. Wang, Simultaneous identification of initial value and source strength in a transmission problem for a parabolic equation, Adv. Comput. Math., 48 (2022), 77. http://dx.doi.org/10.1007/s10444-022-09983-x doi: 10.1007/s10444-022-09983-x
    [21] Y. T. Mehraliyev, M. J. Huntul, E. I. Azizbayov, Simultaneous identification of the right-hand side and time-dependent coefficients in a two-dimensional parabolic equation, Math. Model. Anal., 29 (2024), 90–108. https://doi.org/10.3846/mma.2024.17974 doi: 10.3846/mma.2024.17974
    [22] Z. Ruan, W. Zhang, Z. Wang, Simultaneous inversion of the fractional order and the space-dependent source term for the time-fractional diffusion equation, Appl. Math. Comput., 328 (2018), 365–379. http://doi.org/10.1016/j.amc.2018.01.025 doi: 10.1016/j.amc.2018.01.025
    [23] L. Sun, X. Yan, K. Liao, Simultaneous inversion of a fractional order and a space source term in an anomalous diffusion model, J. Inverse Ill-pose. P., 30 (2022), 791–805. http://doi.org/10.1515/jiip-2021-0027 doi: 10.1515/jiip-2021-0027
    [24] Y. Liu, M. Yamamoto, Uniqueness of orders and parameters in multi-term time-fractional diffusion equations by short-time behavior, Inverse Probl., 39 (2022), 024003. http://doi.org/10.1088/1361-6420/acab7a doi: 10.1088/1361-6420/acab7a
    [25] X. Jing, J. Jia, X. Song, Simultaneous uniqueness identification of the fractional order and diffusion coefficient in a time-fractional diffusion equation, Appl. Math. Lett., 162 (2025), 109386. http://dx.doi.org/10.1016/j.amle.2024.406 doi: 10.1016/j.amle.2024.406
    [26] Z. Wang, Z. Qiu, S. Qiu, Z. Ruan, Multiple terms identification of time fractional diffusion equation with symmetric potential from nonlocal observation, Fractal Fract., 7 (2023), 778. http://doi.org/10.3390/fractalfract7110778 doi: 10.3390/fractalfract7110778
    [27] Z. Wang, Regularization methods for an inverse problem of a class of linear Burgers equations, Jiangxi Sci., 2008 (2008), 175–178. http://doi.org/10.13990/j.issn1001-3679.2008.02.001 doi: 10.13990/j.issn1001-3679.2008.02.001
    [28] S. Qiu, Z. Wang, X. Zeng, B. Hu, Inversion method for the source term in a class of time-fractional diffusion equations, J. Jiangxi Norm. Univ. (Natural Sci.), 42 (2018), 610–615. http://doi.org/10.16357/j.cnki.issn1000-5862.2018.06.11 doi: 10.16357/j.cnki.issn1000-5862.2018.06.11
  • Reader Comments
  • © 2026 the Author(s), licensee AIMS Press. This is an open access article distributed under the terms of the Creative Commons Attribution License (http://creativecommons.org/licenses/by/4.0)
通讯作者: 陈斌, bchen63@163.com
  • 1. 

    沈阳化工大学材料科学与工程学院 沈阳 110142

  1. 本站搜索
  2. 百度学术搜索
  3. 万方数据库搜索
  4. CNKI搜索

Metrics

Article views(303) PDF downloads(25) Cited by(0)

Article outline

Figures and Tables

Figures(2)  /  Tables(1)

Other Articles By Authors

/

DownLoad:  Full-Size Img  PowerPoint
Return
Return

Catalog