Research article Topical Sections

Organic versus inorganic fertilizers: Response of soil properties and crop yield

  • Published: 30 August 2021
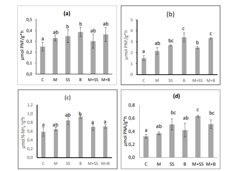
  • The decrease in soil productivity and quality caused by the continuous and abusive use of mineral fertilizers makes necessary to adopt more sustainable agricultural soil management strategies that help to maintain soil edaphic fertility. In light of these considerations, we have evaluated the effect of organic vs. inorganic fertilization on soil microbial communities, soil quality, and crop yield in a melon crop. The following treatments were tested: i) aerobic sewage sludge from a conventional wastewater treatment plant (WWTP) using aerobic bacteria (SS); ii) aerobic sewage sludge from a WWTP using a bacteria-microalgae consortium (B); iii) N-P-K mineral fertilizer (M); iv) a treatment in which 50% of the N was contributed by SS and 50% by mineral fertilizer (M + SS); v) a treatment in which 50% of the N was contributed by B and 50% by mineral fertilizer (M + B); and vi) a no-fertilized control soil. Melon yield and fruit quality were determined in addition to several soil physical, chemical, biochemical and microbiological parameters. Organic fertilizers (SS and B) increased the percentage of soil water-stable aggregates (52 and 60% respectively) as well as the content of organic C (18 and 31%), water soluble C (21 and 41%), N (15 and 41%) and available P content (41 and 82%) compared to inorganic fertilization. They also stimulated bacterial and fungal abundance to a greater extent than mineral fertilizers (189 and 242% vs 85%, and 57 and 122% vs 29%, respectively), as well as soil respiration, and dehydrogenase, β-glucosidase, phosphatase, urease, and glycine aminopectidase activities. The analysis of principal components with parameters linked to soil quality clearly showed that organic fertilizers cause a greater improvement in soil characteristics and microbial community than mineral fertilizers. Results demonstrate that organic and combined fertilization could be used as substitutes for nitrogen mineral fertilizers in melon crop, since these treatments led to similar melon production and quality while improving soil characteristics and microbial population size and activity.

    Citation: Teresa Hernandez, José Guillermo Berlanga, Isabel Tormos, Carlos Garcia. Organic versus inorganic fertilizers: Response of soil properties and crop yield[J]. AIMS Geosciences, 2021, 7(3): 415-439. doi: 10.3934/geosci.2021024

    Related Papers:

  • The decrease in soil productivity and quality caused by the continuous and abusive use of mineral fertilizers makes necessary to adopt more sustainable agricultural soil management strategies that help to maintain soil edaphic fertility. In light of these considerations, we have evaluated the effect of organic vs. inorganic fertilization on soil microbial communities, soil quality, and crop yield in a melon crop. The following treatments were tested: i) aerobic sewage sludge from a conventional wastewater treatment plant (WWTP) using aerobic bacteria (SS); ii) aerobic sewage sludge from a WWTP using a bacteria-microalgae consortium (B); iii) N-P-K mineral fertilizer (M); iv) a treatment in which 50% of the N was contributed by SS and 50% by mineral fertilizer (M + SS); v) a treatment in which 50% of the N was contributed by B and 50% by mineral fertilizer (M + B); and vi) a no-fertilized control soil. Melon yield and fruit quality were determined in addition to several soil physical, chemical, biochemical and microbiological parameters. Organic fertilizers (SS and B) increased the percentage of soil water-stable aggregates (52 and 60% respectively) as well as the content of organic C (18 and 31%), water soluble C (21 and 41%), N (15 and 41%) and available P content (41 and 82%) compared to inorganic fertilization. They also stimulated bacterial and fungal abundance to a greater extent than mineral fertilizers (189 and 242% vs 85%, and 57 and 122% vs 29%, respectively), as well as soil respiration, and dehydrogenase, β-glucosidase, phosphatase, urease, and glycine aminopectidase activities. The analysis of principal components with parameters linked to soil quality clearly showed that organic fertilizers cause a greater improvement in soil characteristics and microbial community than mineral fertilizers. Results demonstrate that organic and combined fertilization could be used as substitutes for nitrogen mineral fertilizers in melon crop, since these treatments led to similar melon production and quality while improving soil characteristics and microbial population size and activity.



    加载中


    [1] Singh H, Verma A, Ansari MW, et al. (2014) Physiological response of rice (Oryzasativa L.) genotypes to elevated nitrogen applied under field conditions. Plant Signal Behav 9: e29015.
    [2] Galloway JN, Townsend AR, Erisman W, et al. (2008) Transformation of the nitrogen cycle: recent trends, questions, and potential solutions. Science 320: 889-892. doi: 10.1126/science.1136674
    [3] Zhou J, Guan D, Zhou B, et al. (2015) Influence of 34-years of fertilization on bacterial communities in an intensively cultivated black soil in northeast China. Soil Biol Biochem 90: 42-51. doi: 10.1016/j.soilbio.2015.07.005
    [4] Wang Y, Zhu Y, Zhan S, et al. (2018) What could promote farmers to replace chemical fertilizers with organic fertilizers? J Clean Prod 199: 882-890.
    [5] Natsheh B, Mousa S (2014) Effect of organic and inorganic fertilizers application on soil and cucumber (Cucumis Sativa L.) plant productivity. Int J Agric For 4: 166-170.
    [6] Hernandez T, Chocano C, Moreno JL, et al. (2016) Use of compost as an alternative to conventional inorganic fertilizers in intensive lettuce (Lactuca sativa L.) crops. Effects on soil and plant. Soil Tillage Res 160: 14-22.
    [7] Cai A, Zang W, Xu M, et al. (2018) Soil fertility and crop yield after manure addition to acidic soils in South China. Nutr Cycl Agroecosyst 11: 61-72. doi: 10.1007/s10705-018-9918-6
    [8] Cai A, Xu M, Wang B, et al. (2019) Manure acts as a better fertilizer for increasing crop yields than synthetic fertilizer does by improving soil fertility. Soil Tillage Res 189: 168-175. doi: 10.1016/j.still.2018.12.022
    [9] Hernandez T, Chocano C, Coll MD, et al. (2018) Composts as alternative to inorganic fertilization for cereal crops. Environ Sci Pollut Res 26: 35340-35352. doi: 10.1007/s11356-018-3898-6
    [10] De Souza JRM, Artur AG, Taniguchi CAK, et al. (2018) Yellow melon yield in response to mineral or organic fertilization. J Plant Nutr 41: 1197-1204. doi: 10.1080/01904167.2018.1434543
    [11] Rezácová V, Czakó A, Stehlik M, et al. (2021) Organic fertilization improves soil aggregation through increases in abundance of eubacteria and products of arbuscular mycorrhizalfungi. Sci Rep 11: 12548. doi: 10.1038/s41598-021-91653-x
    [12] Xin X, Zhang J, Zhu A, et al. (2016) Effects of long-term (23 years) mineral fertilizer and compost application on physical properties of fluvo-aquic soil in the North China plain. Soil Tillage Res 156: 166-172 doi: 10.1016/j.still.2015.10.012
    [13] Hernandez T, Garcia E, García C (2015) A strategy for marginal semiarid degraded soil restoration: A sole addition of compost at a high rate. A five-year field experiment. Soil Biol Biochem 89: 61-71.
    [14] Ochoa-Hueso R, Delgado-Baquerizo M, King PTA, et al. (2019) Ecosystem type and resource quality are more important than global change drivers in regulating early stages of litter decomposition. Soil Biol Biochem 129: 144-152. doi: 10.1016/j.soilbio.2018.11.009
    [15] Van der Wal A, Geydan TD, Kuyper TW, et al. (2013) A thread affair: linking fungal diversity and community dynamics to terrestrial decomposition processes. FEMS Microbiol Rev 37: 477-494. doi: 10.1111/1574-6976.12001
    [16] Fierer N, Lauber CL, Ramirez KS, et al. (2012) Comparative gradients. ISME J 6:1007-1017. doi: 10.1038/ismej.2011.159
    [17] Smalla, Wachtendorf U, Heuer H, et al. (1998) Analysis of Biolog GN substrate utilization patterns by microbial communities. Appl Environ Microbiol 64: 1220-1225. doi: 10.1128/AEM.64.4.1220-1225.1998
    [18] Preston-Mafham J, Boddy L, Randerson PF (2002) Analysis of microbial community functional diversity using sole-carbon-source utilization profiles- a critique. FEMS Microbiol Ecol 42: 1-14.
    [19] Braun S, Thomas V, Quiring R, et al. (2010) Does nitrogen deposition increase forest production? The role of phosphorus. Environ Pollut 158: 2043-2052. doi: 10.1016/j.envpol.2009.11.030
    [20] Ros M, Pascual JA, Garcia C, et al. (2006) Hydrolase activities, microbial biomass and bacterial community in a soil after long-term amendment with different composts. Soil Biol Biochem 38: 3443-3452. doi: 10.1016/j.soilbio.2006.05.017
    [21] Directive 86/278/EEC of 12 June, Relative to the environment protection, in particular, soils in the utilization of sewage sludges in agriculture, 1986. Available from: https://op.europa.eu/en/publication-detail/-/publication/f76faa39-2b27-42f2-be1e-9332f795e324.
    [22] Rehman RA, Rizwan M, QayyumMF, et al. (2018) Efficiency of various sewage sludges and their biochars in improving selected soil properties and growth of wheat (Triticum aestivum). J Environ Manag 223: 607-613. doi: 10.1016/j.jenvman.2018.06.081
    [23] Koutroubas SD, Antoniadis V, Fotiadis S, et al. (2014) Growth, grain yield and nitrogen use efficiency of Mediterranean wheat in soils amended with municipal sewage sludge. Nutr Cycl Agroecosyst 100: 227-243. doi: 10.1007/s10705-014-9641-x
    [24] Lax A, Díaz E, Castillo V, et al. (1994) Reclamation of physical and chemical properties of salinized soil by organic amendment. Arid Land Res Manag 8: 9-17. doi: 10.1080/15324989309381374
    [25] Hernández T, García C (2003) Estimación de respiración microbiana del suelo (Stimation of soil respiration). Técnicas de Análisis de Parámetros Bioquímicos en Suelos. Actividades Enzimáticas y Biomasa Microbiana (Techniques of analysis of Biochemical parameters in soils. Enzymatic activities and microbial biomass), Mundi-Prensa. Madrid, 311-346.
    [26] García C, Hernandez MT, Costa F (1997) Potential use of dehydrogenase activity as an index of microbial activity in degraded soils. Comm Soil Sci Plant Anal 28: 123-134. doi: 10.1080/00103629709369777
    [27] Eivazi F, Tabatabai MA (1988) Glucosidase and galactosidase in soils. Soil Biol Biochem 20: 601-606. doi: 10.1016/0038-0717(88)90141-1
    [28] Kandeler E, Gerber H (1988) Short-term assay of soil urease activity using colorimetric determination of ammonium. Biol Fert Soils 6: 68-72. doi: 10.1007/BF00257924
    [29] Sinsabaugh RL, Antibus RK, Linkins AE, et al. (1993) Wood decomposition: nitrogen and phosphorus dynamics in relation to extracellular enzyme activity. Ecology 74: 1586-1593. doi: 10.2307/1940086
    [30] Garland JL, Mills AI (1991) Classification and characterization of heterotrophic microbial communities on the basis of patterns of community-level sole-carbon-source utilization. Appl Environ Microbiol 57: 2351-2359. doi: 10.1128/aem.57.8.2351-2359.1991
    [31] Weber KP, Legge RL (2009) One-dimensional metric for tracking bacterial community divergence using sole carbon source utilization patterns. J Microbiol Methods 79: 55-61. doi: 10.1016/j.mimet.2009.07.020
    [32] Kaufmann K, Christophersen M, Buttler A, et al. (2004) Microbial community response to petroleum hydrocarbon contamination in the unsaturated zone at the experimental field site Vaerlose, Denmark. FEMS Microbiol Ecol 48: 387-399. doi: 10.1016/j.femsec.2004.02.011
    [33] Bligh EG, Dyer WJ (1959) A rapid method for total lipid extraction and purification. Can J Biochem Physiol 37: 911-917. doi: 10.1139/o59-099
    [34] Frostegard Å, Tunlid A, Bååth E (1993) Phospholipid fatty acid composition, biomass, and activity of microbial communities from two soil types experimentally exposed to different heavy metals. Appl Environ Microbiol 59: 3605-3617. doi: 10.1128/aem.59.11.3605-3617.1993
    [35] Bardgett RD, Hobbs PJ, Frostegard A (1996) Changes in soil fungal: bacterial biomass ratios following reductions in the intensity of management of an upland grassland. Biol Fertil Soils 22: 261-264. doi: 10.1007/BF00382522
    [36] Demelash N, Bayu W, Tesfaye S, et al. (2014) Current and residual effects of composts and inorganic fertilizers on wheat and soil chemical properties. Nutr Cycl Agroecosyst 100: 357-367. doi: 10.1007/s10705-014-9654-5
    [37] Oades JM (1984) Soil organic matter and structural stability: mechanisms and implications for management. Plant Soil 76: 319-337. doi: 10.1007/BF02205590
    [38] Tisdall JM, Oades JM (1982) Organic matter and water-stable aggregates in soils. Soil Sci 62: 141-163. doi: 10.1111/j.1365-2389.1982.tb01755.x
    [39] Hernandez T, Hernandez MC, Garcia C (2017) The effects on soil aggregation and carbon fixation of different organic amendments for restoring degraded.soils in semiarid areas. Eur J Soil Sci 68: 941-950.
    [40] Zou C, Li Y, Huang W, et al. (2018) Rotation and manure amendment increase soil macro-aggregates and associated carbon and nitrogen stocks in flue-cured tobacco production. Geoderma 325: 49-58. doi: 10.1016/j.geoderma.2018.03.017
    [41] Mangalassery D, Kalaivanan S, Philip PS (2019) Effect of inorganic fertilisers and organic amendments on soil aggregation and biochemical characteristics in a weathered tropical soil. Soil Tillage Res 187: 144-151. doi: 10.1016/j.still.2018.12.008
    [42] Long P, Sui P, Gao WS, et al. (2015) Aggregate stability and associated C and N in a silty loam soil as affected by organic material inputs. J Integr Agric 14: 774-787. doi: 10.1016/S2095-3119(14)60796-6
    [43] Heijboer A, ten Berge HFM, de Ruiter PC, et al. (2016) Plant biomass, soil microbial community structure and nitrogen cycle under different organic amendment regimes: a 15N tracer-based approach. Appl Soil Ecol 107: 251-260. doi: 10.1016/j.apsoil.2016.06.009
    [44] Zhao L, Li L, Cai H et al. (2019) Organic amendments improve wheat root growth and yield through regulating soil properties. Agron J 111: 482-495. doi: 10.2134/agronj2018.04.0247
    [45] Toor RR, Savage GP, Heeb A (2006) Influence of different types of fertilizers on the major antioxidant components of tomatoes. J Food Composition Anal 19: 20-27. doi: 10.1016/j.jfca.2005.03.003
    [46] Hu J, Lin X, Wang J, et al. (2011) Microbial functional diversity, metabolic quotient and invertase activity of a sandy loam soil as affected by long-term application of organic amendment and mineral fertilizer. J Soils Sediments 11: 271-280. doi: 10.1007/s11368-010-0308-1
    [47] Zhong Y, Zou S, Lin L, et al. (2010) Effects of pyrene and fluoranthene on the degradation characteristics of phenanthrene in the cometabolism process by Sphingomonas sp. strain PheB4 isolated from mangrove sediments. Mar Pollut Bull 60: 2043-2049.
    [48] Albiach R, Canet R, Pomares F, et al. (2000) Microbial biomass content and enzymatic activities after the application of organic amendments to a horticultural soil. Bioresour Technol 75: 43-48.
    [49] Hoogmoed M, Cunningham SC, Baker P, et al. (2014) N-fixing trees in restoration plantings: effects on nitrogen supply and soil microbial communities. Soil Biol Biochem 77: 203-213. doi: 10.1016/j.soilbio.2014.06.008
    [50] Shrestha P, Gautam R, Ashwath N (2019) Effects of agronomic treatments on functional diversity of soil microbial community and microbial activity in a revegetated coal mine spoil. Geoderma 338: 40-47. doi: 10.1016/j.geoderma.2018.11.038
    [51] Chakraborty A, Chakraborti K, Chakraborty A, et al. (2011) Effect of long-term fertilizers and manure application on microbial biomass and microbial activity of a tropical agricultural soil. Biol Fertil Soils 47: 227-233. doi: 10.1007/s00374-010-0509-1
    [52] Rashedul I, Puneet SC, Yoohak K, et al. (2011) Community level functional diversity and enzyme activities in paddy soils under different long-term fertilizer management practices. Biol Fertil Soils 47: 599-604. doi: 10.1007/s00374-010-0524-2
    [53] Yang XY, Ren WD, Sun BH, et al. (2012) Effects of contrasting soil management regimes on total and labile soil organic carbon fractions in a loess soil in China. Geoderma 177-178: 49-56. doi: 10.1016/j.geoderma.2012.01.033
    [54] Bray SR, Kitajima K, Mack MC (2012) Temporal dynamic of microbial communities on decomposing leaf litter of 10 plant species in relation to decomposition rate. Soil Biol Biochem 49: 30-37. doi: 10.1016/j.soilbio.2012.02.009
    [55] Kramer C, Gleixner G (2008) Soil organic matter in soil depth profiles: distinct carbon preferences of microbial groups during carbon transformation. Soil Biol Biochem 40: 425-433. doi: 10.1016/j.soilbio.2007.09.016
    [56] Börjesson G, Menichetti L, Kirchmann H (2012) Soil microbial community structure affected by 53 years of nitrogen fertilisation and different organic amendments. Biol Fertil Soils 48: 245-257. doi: 10.1007/s00374-011-0623-8
    [57] Tscherko D, Hammesfahr U, Marx MC, et al. (2004) Shits in rhizosphere microbial communities and enzyme activity of Poa alpine across an alpine chronosequence. Soil Biol Biochem 36: 1685-1698. doi: 10.1016/j.soilbio.2004.07.004
    [58] Hueso S, Garcia C, Hernandez T (2012) Severe drought conditions modify the microbial community structure, size and activity in amended and unamended soils. Soil Biol Biochem 50: 167-173. doi: 10.1016/j.soilbio.2012.03.026
    [59] Bossio DA, Scow KM, Gunapala N, et al. (1998) Determinants of soil microbial communities: Effects of agricultural management, season, and soil type on phospholipids fatty acid profiles. Microbial Ecol 36: 1-12. doi: 10.1007/s002489900087
    [60] Vorisková J, Baldrian P (2012) Fungal community on decomposing leaf litter undergoes rapid successional changes. ISME J 7: 477-486. doi: 10.1038/ismej.2012.116
    [61] Trivedi P, Delgado-Baquerizo M, Jeffries TC, et al. (2017) Soil aggregation and associated microbial communities modify the impact of agricultural management on carbon content. Environ Microbiol 19: 3070-3086. doi: 10.1111/1462-2920.13779
    [62] Lehmann J, Kleber M (2015) The contentious nature of soil organic matter. Nature 528: 60-68. doi: 10.1038/nature16069
    [63] Kadri T, Rouissi T, Kaur-Brar S, et al. (2017) Biodegradation of polycyclic aromatic hydrocarbons (PAHs) by fungal enzymes: a review. J Environ Sci 51: 52-74. doi: 10.1016/j.jes.2016.08.023
    [64] Hu P, Wu L, Hollister EB, et al. (2019) Fungal community structural and microbial functional pattern changes after soil amendments by oilseed meals of Jatropha curcas and Camelina sativa: a microcosm study. Front Microbiol 10: 537. doi: 10.3389/fmicb.2019.00537
    [65] Banerjee S, Kirbby CA, Schmutter DA, et al. (2016) Network analysis reveals functional redundancy and keystone taxa amongst bacterial and fungal communities during organic matter decomposition in an arable soil. Soil Biol Biochem 97: 188-198. doi: 10.1016/j.soilbio.2016.03.017
    [66] Broeckling CD, Broz AK, Bergelson J, et al. (2008) Root exudates regulate soil fungal community composition and diversity. Appl Environ Microbiol 74: 738-744. doi: 10.1128/AEM.02188-07
    [67] Sapp M, Harrison M, Hany U, et al. (2015) Comparing the effect of digestate and chemical fertiliser on soil bacteria. Appl Soil Ecol 86: 1-9. doi: 10.1016/j.apsoil.2014.10.004
    [68] Montiel-Rozas MM, Dominguez MT, Madejon E, et al. (2018) Long-term effect of organic amendments on bacterial and fungal communities in a degraded Mediterranean soil. Geoderma 332: 20-28. doi: 10.1016/j.geoderma.2018.06.022
    [69] Lopedota O, Leogrande R, Fiore A, et al. (2013) Yield and soil responses of melon grown with different organic fertilizers. J Plant Nutr 36: 415-428. doi: 10.1080/01904167.2012.748062
    [70] Dungait JAJ, Kemmit SJ, Michallon M, et al. (2011) Variable responses of the soil microbial biomass to trace concentrations of 13C-labelled glucose, using 13C-PLFA analysis. Eur J Soil Sci 62: 117-126. doi: 10.1111/j.1365-2389.2010.01321.x
    [71] Brant JB, Sulzman EW, Myrold DD (2006) Microbial community utilization of added carbon substrates in response to long-term carbon input manipulation. Soil Biol Biochem 38: 2219-2232. doi: 10.1016/j.soilbio.2006.01.022
  • Reader Comments
  • © 2021 the Author(s), licensee AIMS Press. This is an open access article distributed under the terms of the Creative Commons Attribution License (http://creativecommons.org/licenses/by/4.0)
通讯作者: 陈斌, bchen63@163.com
  • 1. 

    沈阳化工大学材料科学与工程学院 沈阳 110142

  1. 本站搜索
  2. 百度学术搜索
  3. 万方数据库搜索
  4. CNKI搜索

Metrics

Article views(14606) PDF downloads(670) Cited by(32)

Article outline

Figures and Tables

Figures(7)  /  Tables(7)

/

DownLoad:  Full-Size Img  PowerPoint
Return
Return

Catalog