Research article

A penalty-free $ hp $-version mixed discontinuous Galerkin method for the biharmonic equation

  • Published: 22 January 2026
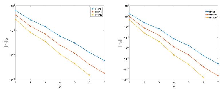
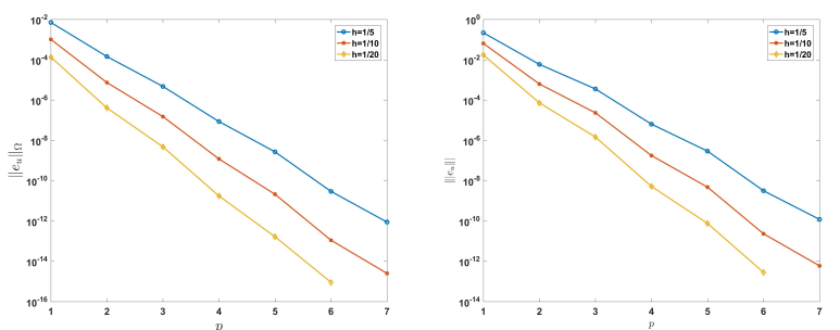
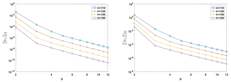
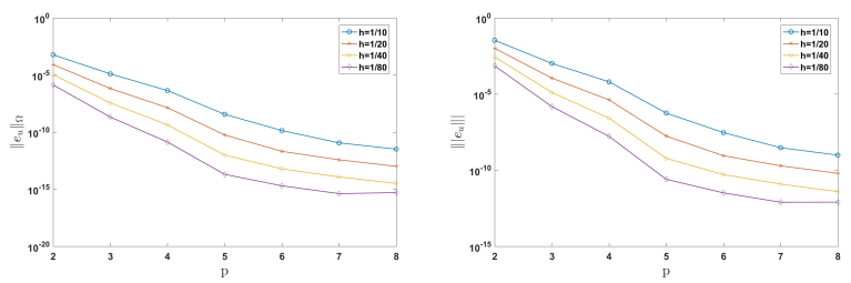
  • This paper focused on an $ hp $-version mixed discontinuous Galerkin method without penalty terms for the biharmonic equation with Navier boundary conditions. By introducing the auxiliary variable $ v = u_{xx} $, we reduced the fourth-order problem to a second-order system and derived its penalty-free variational formulation. The analysis replaces the standard coercivity condition with a polynomial-degree-dependent inf-sup condition for the bilinear form $ B(\cdot, \cdot) $. While $ h $-convergence rates for both $ u_h $ and $ v_h $ were optimal, the $ p $-convergence exhibited contrasting behavior: suboptimal in $ L^2 $-norm but optimal in the energy norm, regardless of the $ p^2 $ scaling in the inf-sup condition. Numerical results revealed that $ p $-convergence order-doubling for boundary-aligned singularities significantly enhanced the efficacy for singular solutions. Furthermore, the method was shown to extend to nonlinear biharmonic equations, while the treatment of Dirichlet boundary conditions necessitated the introduction of penalty terms.

    Citation: Hongying Huang, Jingjing Yin, Lin Zhang. A penalty-free $ hp $-version mixed discontinuous Galerkin method for the biharmonic equation[J]. Networks and Heterogeneous Media, 2026, 21(1): 147-169. doi: 10.3934/nhm.2026006

    Related Papers:

  • This paper focused on an $ hp $-version mixed discontinuous Galerkin method without penalty terms for the biharmonic equation with Navier boundary conditions. By introducing the auxiliary variable $ v = u_{xx} $, we reduced the fourth-order problem to a second-order system and derived its penalty-free variational formulation. The analysis replaces the standard coercivity condition with a polynomial-degree-dependent inf-sup condition for the bilinear form $ B(\cdot, \cdot) $. While $ h $-convergence rates for both $ u_h $ and $ v_h $ were optimal, the $ p $-convergence exhibited contrasting behavior: suboptimal in $ L^2 $-norm but optimal in the energy norm, regardless of the $ p^2 $ scaling in the inf-sup condition. Numerical results revealed that $ p $-convergence order-doubling for boundary-aligned singularities significantly enhanced the efficacy for singular solutions. Furthermore, the method was shown to extend to nonlinear biharmonic equations, while the treatment of Dirichlet boundary conditions necessitated the introduction of penalty terms.



    加载中


    [1] S. M. Han, H. Benaroya, T. Wei, Dynamics of transversely vibrating beams using four engineering theories, J. Sound Vib., 225 (1999), 935–988. https://doi.org/10.1006/jsvi.1999.2257 doi: 10.1006/jsvi.1999.2257
    [2] J. K. Hunter, J. M. Vanden-Broeck, Solitary and periodic gravity-capillary waves of finite amplitude, J. Fluid Mech., 134 (1983), 205–219. https://doi.org/10.1017/S0022112083003316 doi: 10.1017/S0022112083003316
    [3] D. Fishelov, M. Ben-Artzi, J. P. Croisille, Recent advances in the study of a fourth-order compact scheme for the one-dimensional biharmonic equation, J. Sci. Comput., 53 (2012), 55–79. https://doi.org/10.1007/s10915-012-9611-x doi: 10.1007/s10915-012-9611-x
    [4] B. Cockburn, G. E. Karniadakis, C. W. Shu, Discontinuous Galerkin Methods: Theory, Computation and Applications, Springer Science & Business Media, Berlin Heidelberg, 2012.
    [5] L. Wei, L. L. Zhou, Y. H. Xia, The jump filter in the discontinuous Galerkin method for hyperbolic conservation laws, J. Comput. Phys., 520 (2025), 113498. https://doi.org/10.1016/j.jcp.2024.113498 doi: 10.1016/j.jcp.2024.113498
    [6] I. Mozolevski, E. Süli, A priori error analysis for the $hp$-version of the discontinuous Galerkin finite element method for the biharmonic equation, Comput. Methods Appl. Math., 3 (2003), 596–607. https://doi.org/10.2478/CMAM-2003-0037 doi: 10.2478/CMAM-2003-0037
    [7] I. Mozolevski, E. Süli, P. R. Bösing, $hp$-version a priori error analysis of interior penalty discontinuous Galerkin finite element approximations to the biharmonic equation, J. Sci. Comput., 30 (2007), 465–491. https://doi.org/10.1007/s10915-006-9100-1 doi: 10.1007/s10915-006-9100-1
    [8] E. Süli, I. Mozolevski, $hp$-version interior penalty DGFEMs for the biharmonic equation, Comput. Methods Appl. Mech. Eng., 196 (2007), 1851–1863. https://doi.org/10.1016/j.cma.2006.06.014 doi: 10.1016/j.cma.2006.06.014
    [9] Z. Dong, L. Mascotto, $hp$-optimal interior penalty discontinuous Galerkin methods for the biharmonic problem, J. Sci. Comput., 96 (2023), 30. https://doi.org/10.1007/s10915-023-02253-y doi: 10.1007/s10915-023-02253-y
    [10] H. G. Li, P. M. Yin, Z. M. Zhang, A ${C}^0$ finite element method for the biharmonic problem with Navier boundary conditions in a polygonal domain, IMA J. Numer. Anal., 43 (2023), 1779–1801. https://doi.org/10.1093/imanum/drac026 doi: 10.1093/imanum/drac026
    [11] T. Gudi, N. Nataraj, A. K. Pani, Mixed discontinuous Galerkin finite element method for the biharmonic equation, J. Sci. Comput., 37 (2008), 139–161. https://doi.org/10.1007/s10915-008-9200-1 doi: 10.1007/s10915-008-9200-1
    [12] C. G. Xiong, R. Becker, F. S. Luo, X. L. Ma, A priori and a posteriori error analysis for the mixed discontinuous Galerkin finite element approximations of the biharmonic problems, Numer. Methods Partial Differ. Equ., 33 (2017), 318–353. https://doi.org/10.1002/num.22090 doi: 10.1002/num.22090
    [13] J. H. Feng, S. X. Wang, H. Bi, Y. D. Yang, An $hp$-mixed discontinuous Galerkin method for the biharmonic eigenvalue problem, Appl. Math. Comput., 450 (2023), 127969. https://doi.org/10.1016/j.amc.2023.127969 doi: 10.1016/j.amc.2023.127969
    [14] E. Burman, A. Ern, I. Mozolevski, B. Stamm, The symmetric discontinuous Galerkin method does not need stabilization in 1D for polynomial orders $ p\leq 2$, Comput. Rendus Math., 345 (2007), 599–602. https://doi.org/10.1016/j.crma.2007.10.028 doi: 10.1016/j.crma.2007.10.028
    [15] B. Riviere, S. Sardar, Penalty-free discontinous Galerkin methods for incompressible Navier-Stokes equations, Math. Models Methods Appl. Sci., 24 (2014), 1217–1236. https://doi.org/10.1142/S0218202513500826 doi: 10.1142/S0218202513500826
    [16] F. Z. Gao, X. Ye, S. Y. Zhang, A discontinuous Galerkin finite element method without interior penalty terms, Adv. Appl. Math. Mech., 14 (2022), 299–314. https://doi.org/10.4208/aamm.OA-2020-0247 doi: 10.4208/aamm.OA-2020-0247
    [17] Jan Jaśkowiec, N. Sukumar, Penalty-free discontinuous Galerkin method, Int. J. Numer. Methods Eng., 125 (2024), e7472. https://doi.org/10.1002/nme.7472 doi: 10.1002/nme.7472
    [18] H. L. Liu, P. M. Yin, A mixed discontinuous Galerkin method without interior penalty for time-dependent fourth order problems, J. Sci. Comput., 77 (2018), 467–501. https://doi.org/10.1007/s10915-018-0756-0 doi: 10.1007/s10915-018-0756-0
    [19] H. L. Liu, P. M. Yin, Unconditionally energy stable DG schemes for the Swift-Hohenberg equation, J. Sci. Comput., 81 (2019), 789–819. https://doi.org/10.1007/s10915-019-01038-6 doi: 10.1007/s10915-019-01038-6
    [20] H. L. Liu, P. M. Yin, On the SAV-DG method for a class of fourth order gradient flows, Numer. Methods Partial Differ. Equ., 39 (2023), 1185–1200. https://doi.org/10.1002/num.22929 doi: 10.1002/num.22929
    [21] Q. Wang, L. Zhang, An ultraweak-local discontinuous Galerkin method for nonlinear biharmonic Schrödinger equations, ESAIM Math. Model. Numer. Anal., 58 (2024), 1725–1754. https://doi.org/10.1051/m2an/2024023 doi: 10.1051/m2an/2024023
    [22] D. Schötzau, T. P. Wihler, Exponential convergence of mixed $hp$-DGFEM for Stokes flow in polygons, Numer. Math., 96 (2003), 339–361. https://doi.org/10.1007/s00211-003-0478-5 doi: 10.1007/s00211-003-0478-5
    [23] T. P. Wihler, P. Frauenfelder, C. Schwab, Exponential convergence of the $hp$-DGFEM for diffusion problems, Comput. Math. Appl., 46 (2003), 183–205. https://doi.org/10.1016/S0898-1221(03)90088-5 doi: 10.1016/S0898-1221(03)90088-5
    [24] I. Perugia, D. Schötzau, An $hp$-analysis of the local discontinuous Galerkin method for diffusion problems, J. Sci. Comput., 17 (2002), 561–571. https://doi.org/10.1023/A:1015118613130 doi: 10.1023/A:1015118613130
    [25] B. Stamm, T. P. Wihler, $hp$-optimal discontinuous Galerkin methods for linear elliptic problems, Math. Comput., 79 (2010), 2117–2133. https://doi.org/10.1090/S0025-5718-10-02335-5 doi: 10.1090/S0025-5718-10-02335-5
    [26] A. Cangiani, E. H. Georgoulis, P. Houston, $hp$-Version discontinuous Galerkin methods on polygonal and polyhedral meshes, Math. Models Methods Appl. Sci., 24 (2014), 2009–2041. https://doi.org/10.1142/S0218202514500146 doi: 10.1142/S0218202514500146
    [27] A. Cangiani, Z. N. Dong, E. H. Georgoulis, $hp$-Version discontinuous Galerkin methods on essentially arbitrarily-shaped elements, Math. Comput., 91 (2022), 1–35. https://doi.org/10.1090/mcom/3667 doi: 10.1090/mcom/3667
    [28] P. Grisvard, Singularities in Boundary Value Problems, Birkhäuser Basel, 1992.
    [29] B. Rivière, M. F. Wheeler, V. Girault, A priori error estimates for finite element methods based on discontinuous approximation spaces for elliptic problems, SIAM J. Numer. Anal., 39 (2001), 902–931. https://doi.org/10.1137/S003614290037174X doi: 10.1137/S003614290037174X
    [30] C. Schwab, $p$-and $hp$-Finite Element Methods, Oxford University Press, Oxford, 1998.
    [31] P. Houston, C. Schwab, E. Süli, Discontinuous $hp$-finite element methods for advection-diffusion-reaction problems, SIAM J. Numer. Anal., 39 (2002), 2133–2163. https://doi.org/10.1137/S0036142900374111 doi: 10.1137/S0036142900374111
    [32] E. H. Georgoulis, E. Hall, J. M. Melenk, On the suboptimality of the $p$-version interior penalty discontinuous Galerkin method, J. Sci. Comput., 42 (2010), 54–67. https://doi.org/10.1007/s10915-009-9315-z doi: 10.1007/s10915-009-9315-z
  • Reader Comments
  • © 2026 the Author(s), licensee AIMS Press. This is an open access article distributed under the terms of the Creative Commons Attribution License (http://creativecommons.org/licenses/by/4.0)
通讯作者: 陈斌, bchen63@163.com
  • 1. 

    沈阳化工大学材料科学与工程学院 沈阳 110142

  1. 本站搜索
  2. 百度学术搜索
  3. 万方数据库搜索
  4. CNKI搜索

Metrics

Article views(911) PDF downloads(27) Cited by(0)

Article outline

Figures and Tables

Figures(4)  /  Tables(10)

Other Articles By Authors

/

DownLoad:  Full-Size Img  PowerPoint
Return
Return

Catalog