Research article

Dynamics of an Eco-epidemiological model with infected prey in fractional order

  • Published: 29 July 2025
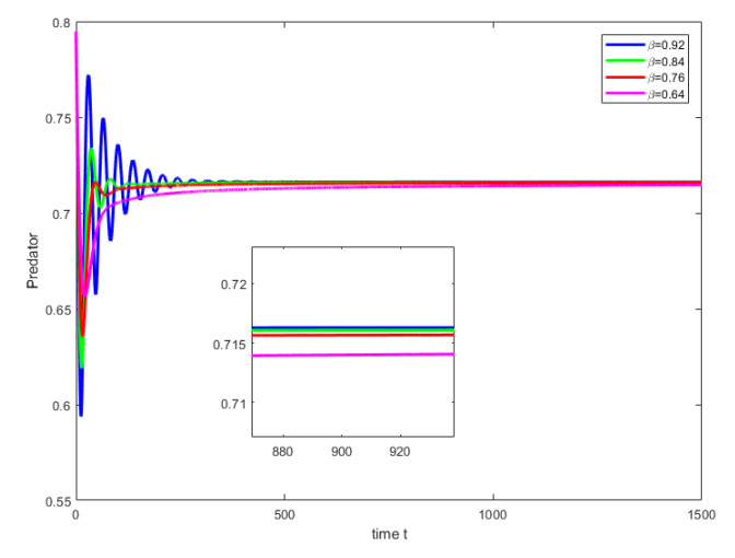
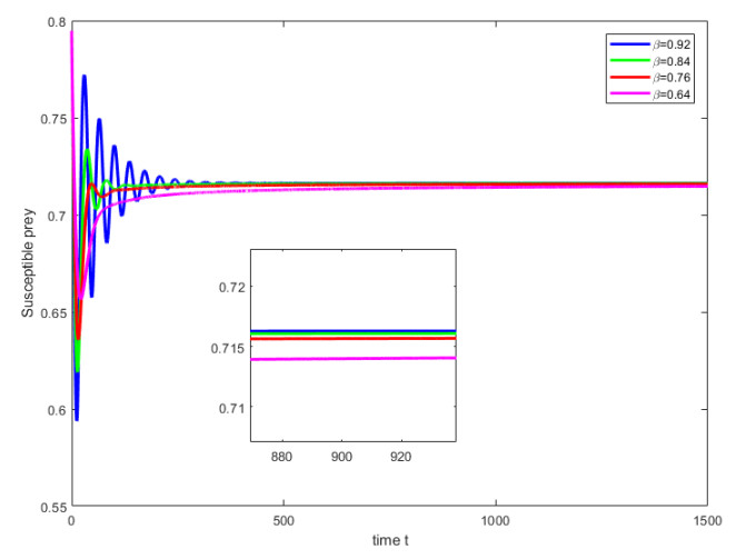
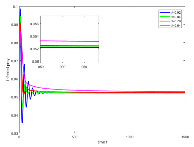
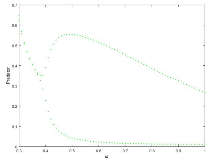
  • In this article, a model of a diseased prey-predator with fractional order has been studied. The model has been used as a functional response of Holling type Ⅱ in a non-delayed model. The eigenvalues of a model are used to test its stability using critical points. Furthermore, the boundedness, uniqueness, existence, and positivity of the solutions have been studied. The locally asymptotically stable model has been analyzed using the critical points, and the globally asymptotically stable model has been examined using the Lyapunov function. The occurrence of Hopf bifurcation for fractional order has been examined. Finally, numerical simulations are presented to confirm the analytical solutions.

    Citation: Deepak Nallasamy Prabhumani, Muthukumar Shanmugam, Siva Pradeep Manickasundaram, Nandha Gopal Thangaraj. Dynamics of an Eco-epidemiological model with infected prey in fractional order[J]. Mathematical Modelling and Control, 2025, 5(3): 292-304. doi: 10.3934/mmc.2025020

    Related Papers:

  • In this article, a model of a diseased prey-predator with fractional order has been studied. The model has been used as a functional response of Holling type Ⅱ in a non-delayed model. The eigenvalues of a model are used to test its stability using critical points. Furthermore, the boundedness, uniqueness, existence, and positivity of the solutions have been studied. The locally asymptotically stable model has been analyzed using the critical points, and the globally asymptotically stable model has been examined using the Lyapunov function. The occurrence of Hopf bifurcation for fractional order has been examined. Finally, numerical simulations are presented to confirm the analytical solutions.



    加载中


    [1] A. J. Lotka, Elements of physical biology, Williams and Wilkins, 1925.
    [2] V. Volterra, Variaziono e fluttuazioni del numero d"individui in specie animali conviventi, Memor. Accad. Lincei., 6 (1926).
    [3] W. O. Kermack, A. G. McKendrick, A contribution to the mathematical theory of epidemics, Proc. R. Soc. Lond. A, 115 (1927), 700–721. https://doi.org/10.1098/rspa.1927.0118 doi: 10.1098/rspa.1927.0118
    [4] K. Nosrati, M. Shafiee, Dynamic analysis of fractional order singular Holling type-Ⅱ predator prey system, Appl. Math. Comput., 313 (2017), 159–179. https://doi.org/10.1016/j.amc.2017.05.067 doi: 10.1016/j.amc.2017.05.067
    [5] M. Das, A. Maiti, G. P. Samanta, Stability analysis of prey-predator fractional order model incorporating prey refuge, Ecol. Genet. Genomics, 7 (2018), 33–46. https://doi.org/10.1016/j.egg.2018.05.001 doi: 10.1016/j.egg.2018.05.001
    [6] A. A. Kilbas, H. M. Srivastava, J. J. Trujillo, Theory and applications of fractional differential equations, Elsevier, 204 (2006).
    [7] H. S. Panigoro, A. Suryanto, W. M. Kusumawinahyu, I. Darti, Dynamics of an eco-epidemic predator-prey model involving fractional derivatives with power-law and Mittag–Leffler kernel, Symmetry, 13 (2021), 785. https://doi.org/10.3390/sym13050785 doi: 10.3390/sym13050785
    [8] S. Magudeeswaran, K. Sathiyanathan, R. Sivasamy, S. Vinoth, M. Sivabalan, Analysis on dynamics of delayed intraguild predation model with Ratio dependent functional response, Discontinuity, Nonlinearity, Complexity, 10 (2021), 381–396. https://doi.org/10.5890/DNC.2021.09.003 doi: 10.5890/DNC.2021.09.003
    [9] M. Xiao, Stability analysis and Hopf-type bifurcation of a fractional order Hindmarsh-Rose neuronal model, Advances in Neural Networks-ISSN 2012, 2012, 217–224. https://doi.org/10.1007/978-3-642-31346-2-25
    [10] I. Petravs, Fractional order nonlinear systems: modeling, analysis and simulation, Springer Berlin, Heidelberg, 2011. https://doi.org/10.1007/978-3-642-18101-6
    [11] W. Yang, Dynamical behaviors of a diffusive predator-prey model with Beddington-DeAngelis functional response and disease in prey, Int. J. Biomath., 10 (2017), 1750119. https://doi.org/10.1142/S1793524517501194 doi: 10.1142/S1793524517501194
    [12] I. Podlubny, Fractional differential equations: an introduction to fractional derivatives, fractional differential equations to methods of their solution and some of their applications, Elseevier, 1998.
    [13] P. Ramesh, M. Sambath, M. H. Mohd, K. Balachandran, Stability analysis of the fractional-order prey-predator model with infection, Int. J. Model. Simul., 41 (2021), 434–450. https://doi.org/10.1080/02286203.2020.1783131 doi: 10.1080/02286203.2020.1783131
    [14] S. R. Jawa, M. Al Nuaimi, Persistence and bifurcation analysis among four species interactions with the influence of competition, predation and harvesting, Iraqi J. Sci., 64 (2023), 1369–1390.
    [15] P. Prabir, Dynamics of a fractional order predator-prey model with intraguild predation, Int. J. Model. Simul., 39 (2019), 256–268. https://doi.org/10.1080/02286203.2019.1611311 doi: 10.1080/02286203.2019.1611311
    [16] S. K. Choi, B. Kang, N. Koo, Stability for Caputo fractional differential equations, Abstr. Appl. Anal., 2014. https://doi.org/10.1155/2014/631419
    [17] M. Javidi, N. Nyamoradi, Dynamic analysis of a fractional order prey-predator interaction with harvesting, Appl. Math. Model., 37 (2013), 8946–8956. https://doi.org/10.1016/j.apm.2013.04.024 doi: 10.1016/j.apm.2013.04.024
    [18] N. P. Deepak, S. Muthukumar, M. Siva Pradeep, T. Nandha Gopal, Stability analysis of fractional order holling type Ⅱ prey predator model with diseased prey, AIP Conf. Proc., 3122 (2024), 040003. https://doi.org/10.1063/5.0216020 doi: 10.1063/5.0216020
    [19] J. Alidousti, Stability and bifurcation analysis for a fractional prey-predator scavenger model, Appl. Math. Model., 81 (2020), 342–355. https://doi.org/10.1016/j.apm.2019.11.025 doi: 10.1016/j.apm.2019.11.025
    [20] D. Mukherjee, R. Mondal, Dynamical analysis of a fractional-order prey predator system with a reserved area, J. Fract. Calc. Appl., 11 (2020), 54–69.
    [21] M. Sambath, P. Ramesh, K. Balachandran, Asymptotic behavior of the fractional order three species prey-predator model, Int. J. Nonlinear Sci. Numer. Simul., 19 (2018), 721–733. https://doi.org/10.1515/ijnsns-2017-0273 doi: 10.1515/ijnsns-2017-0273
    [22] S. J. Majeed, R. K. Naji, A. A. Thirthar, The dynamics of an Omnivore-predator-prey model with harvesting and two different nonlinear functional responses, AIP Conf. Proc., 2096 (2019), 020008. https://doi.org/10.1063/1.5097805 doi: 10.1063/1.5097805
    [23] M. Caputo, Linear models of dissipation Whose Q is almost frequency independent-Ⅱ, Geophys. J. Int., 13 (1967), 529–539. https://doi.org/10.1111/j.1365-246X.1967.tb02303.x doi: 10.1111/j.1365-246X.1967.tb02303.x
    [24] D. N. Prabhumani, M. Shanmugam, S. P. Manickasundaram, N. G. Thangaraj, Dynamical analysis of a fractional order prey–predator model in Crowley–Martin functional response with prey harvesting, Eng. Proc., 56 (2023), 300. https://doi.org/10.3390/ASEC2023-15975 doi: 10.3390/ASEC2023-15975
    [25] E. Ahmed, A. M. A. El-Sayed, H. A. A. El-Saka, Equilibrium points, stability and numerical solutions of fractional-order predator-prey rabies models, J. Math. Anal. Appl., 325 (2007), 542–553. https://doi.org/10.1016/j.jmaa.2006.01.087 doi: 10.1016/j.jmaa.2006.01.087
    [26] G. Roberto, Short tutorial: solving fractional differential equations by Matlab codes, Department of Mathematics University of Bari, Italy, 2014.
    [27] D. Matignon, Stability results for fractional differential equations with applications to control processing, The Multiconference on Computational Engineering in Systems Applications, 2 (1996), 963–968.
    [28] M. Al Nuaimi, S. Jawa, Modelling and stability analysis of the competitional ecological model with harvesting, Commun. Math. Biol. Neurosci., 2022 (2022), 47. https://doi.org/10.28919/cmbn/7450 doi: 10.28919/cmbn/7450
    [29] D. Melese, O. Muhye, S. K. Sahu, Dynamical behavior of an eco-epidemiological model incorporating prey refuge and prey harvesting, Appl. Appl. Math., 15 (2020), 28.
    [30] A. Yousef, A. A. Thirthar, A. L. Alaoui, P. Panja, T. Abdeljawad, The hunting cooperation of a predator under two prey's competition and fear-effect in the prey-predator fractional-order model, AIMS Math., 7 (2022), 5463–5479. https://doi.org/10.3934/math.2022303 doi: 10.3934/math.2022303
    [31] K. Diethelm, The analysis of fractional differential equations, Springer Berlin, Heidelberg, 2010. https://doi.org/10.1007/978-3-642-14574-2
    [32] K. Diethelm, N. J. Ford, Analysis of fractional differential equations, J. Math. Anal. Appl., 265 (2002), 229–248. https://doi.org/10.1006/jmaa.2000.7194 doi: 10.1006/jmaa.2000.7194
  • Reader Comments
  • © 2025 the Author(s), licensee AIMS Press. This is an open access article distributed under the terms of the Creative Commons Attribution License (http://creativecommons.org/licenses/by/4.0)
通讯作者: 陈斌, bchen63@163.com
  • 1. 

    沈阳化工大学材料科学与工程学院 沈阳 110142

  1. 本站搜索
  2. 百度学术搜索
  3. 万方数据库搜索
  4. CNKI搜索

Metrics

Article views(1443) PDF downloads(156) Cited by(0)

Article outline

Figures and Tables

Figures(12)  /  Tables(1)

/

DownLoad:  Full-Size Img  PowerPoint
Return
Return

Catalog