Research article Special Issues

Space-time statistics of a linear dynamical energy cascade model

  • Received: 03 September 2021 Revised: 04 March 2022 Accepted: 04 March 2022 Published: 21 April 2022
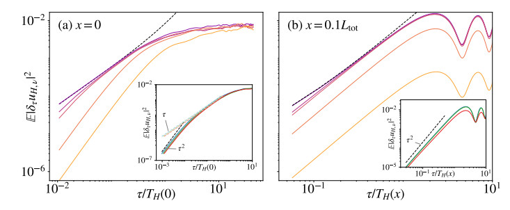
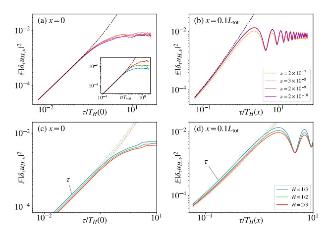
  • A linear dynamical model for the development of the turbulent energy cascade was introduced in Apolinário et al. (J. Stat. Phys., 186, 15 (2022)). This partial differential equation, randomly stirred by a forcing term which is smooth in space and delta-correlated in time, was shown to converge at infinite time towards a state of finite variance, without the aid of viscosity. Furthermore, the spatial profile of its solution gets rough, with the same regularity as a fractional Gaussian field. We here focus on the temporal behavior and derive explicit asymptotic predictions for the correlation function in time of this solution and observe that their regularity is not influenced by the spatial regularity of the problem, only by the correlation in time of the stirring contribution. We also show that the correlation in time of the solution depends on the position, contrary to its correlation in space at fixed times. We then investigate the influence of a forcing which is correlated in time on the spatial and time statistics of this equation. In this situation, while for small correlation times the homogeneous spatial statistics of the white-in-time case are recovered, for large correlation times homogeneity is broken, and a concentration around the origin of the system is observed in the velocity profiles. In other words, this fractional velocity field is a representation in one-dimension, through a linear dynamical model, of the self-similar velocity fields proposed by Kolmogorov in 1941, but only at fixed times, for a delta-correlated forcing, in which case the spatial statistics is homogeneous and rough, as expected of a turbulent velocity field. The regularity in time of turbulence, however, is not captured by this model.

    Citation: Gabriel B. Apolinário, Laurent Chevillard. Space-time statistics of a linear dynamical energy cascade model[J]. Mathematics in Engineering, 2023, 5(2): 1-23. doi: 10.3934/mine.2023025

    Related Papers:

  • A linear dynamical model for the development of the turbulent energy cascade was introduced in Apolinário et al. (J. Stat. Phys., 186, 15 (2022)). This partial differential equation, randomly stirred by a forcing term which is smooth in space and delta-correlated in time, was shown to converge at infinite time towards a state of finite variance, without the aid of viscosity. Furthermore, the spatial profile of its solution gets rough, with the same regularity as a fractional Gaussian field. We here focus on the temporal behavior and derive explicit asymptotic predictions for the correlation function in time of this solution and observe that their regularity is not influenced by the spatial regularity of the problem, only by the correlation in time of the stirring contribution. We also show that the correlation in time of the solution depends on the position, contrary to its correlation in space at fixed times. We then investigate the influence of a forcing which is correlated in time on the spatial and time statistics of this equation. In this situation, while for small correlation times the homogeneous spatial statistics of the white-in-time case are recovered, for large correlation times homogeneity is broken, and a concentration around the origin of the system is observed in the velocity profiles. In other words, this fractional velocity field is a representation in one-dimension, through a linear dynamical model, of the self-similar velocity fields proposed by Kolmogorov in 1941, but only at fixed times, for a delta-correlated forcing, in which case the spatial statistics is homogeneous and rough, as expected of a turbulent velocity field. The regularity in time of turbulence, however, is not captured by this model.



    加载中


    [1] U. Frisch, Turbulence: the legacy of A. N. Kolmogorov, Cambridge: Cambridge university press, 1995. http://doi.org/10.1017/CBO9781139170666
    [2] A. N. Kolmogorov, The local structure of turbulence in incompressible viscous fluid for very large Reynolds numbers, Proc. R. Soc. Lond. A, 434 (1991), 9–13. http://doi.org/10.1098/rspa.1991.0075 doi: 10.1098/rspa.1991.0075
    [3] L. Onsager, Statistical hydrodynamics, Nuovo. Cim., 6 (1949), 279–287. http://doi.org/10.1007/BF02780991 doi: 10.1007/BF02780991
    [4] P. Constantin, W. E, E. S. Titi, Onsager's conjecture on the energy conservation for solutions of Euler's equation, Commun. Math. Phys., 165 (1994), 207–209. http://doi.org/10.1007/BF02099744 doi: 10.1007/BF02099744
    [5] J. Duchon, R. Robert, Inertial energy dissipation for weak solutions of incompressible Euler and Navier-Stokes equations, Nonlinearity, 13 (2000), 249. http://doi.org/10.1088/0951-7715/13/1/312 doi: 10.1088/0951-7715/13/1/312
    [6] G. L. Eyink, K. R. Sreenivasan, Onsager and the theory of hydrodynamic turbulence, Rev. Mod. Phys., 78 (2006), 87. http://doi.org/10.1103/RevModPhys.78.87 doi: 10.1103/RevModPhys.78.87
    [7] K. P. Iyer, K. R. Sreenivasan, P. K. Yeung, Reynolds number scaling of velocity increments in isotropic turbulence, Phys. Rev. E, 95 (2017), 021101. http://doi.org/10.1103/PhysRevE.95.021101 doi: 10.1103/PhysRevE.95.021101
    [8] P. Debue, D. Kuzzay, E.-W. Saw, F. Daviaud, B. Dubrulle, L. Canet, et al., Experimental test of the crossover between the inertial and the dissipative range in a turbulent swirling flow, Phys. Rev. Fluids, 3 (2018), 024602. http://doi.org/10.1103/PhysRevFluids.3.024602 doi: 10.1103/PhysRevFluids.3.024602
    [9] B. Dubrulle, Beyond Kolmogorov cascades, J. Fluid Mech., 867 (2019), P1. http://doi.org/10.1017/jfm.2019.98 doi: 10.1017/jfm.2019.98
    [10] B. B. Mandelbrot, J. W. Van Ness, Fractional brownian motions, fractional noises and applications, SIAM Rev., 10 (1968), 422–437. http://doi.org/10.1137/1010093 doi: 10.1137/1010093
    [11] R. Robert, V. Vargas, Hydrodynamic turbulence and intermittent random fields, Commun. Math. Phys., 284 (2008), 649–673. http://doi.org/10.1007/s00220-008-0642-y doi: 10.1007/s00220-008-0642-y
    [12] A. Lodhia, S. Sheffield, X. Sun, S. S. Watson, Fractional Gaussian fields: a survey, Probab. Surveys, 13 (2016), 1–56. http://doi.org/10.1214/14-PS243 doi: 10.1214/14-PS243
    [13] A. N. Kolmogorov, Dissipation of energy in the locally isotropic turbulence, Proc. R. Soc. Lond. A, 32 (1991), 15–17. http://doi.org/10.1098/rspa.1991.0076 doi: 10.1098/rspa.1991.0076
    [14] F. Schmitt, D. Marsan, Stochastic equations generating continuous multiplicative cascades, Eur. Phys. J. B, 20 (2001), 3–6. http://doi.org/10.1007/BF01313905 doi: 10.1007/BF01313905
    [15] R. M. Pereira, C. Garban, L. Chevillard, A dissipative random velocity field for fully developed fluid turbulence, J. Fluid Mech., 794 (2016), 369–408. http://doi.org/10.1017/jfm.2016.166 doi: 10.1017/jfm.2016.166
    [16] L. Chevillard, C. Garban, R. Rhodes, V. Vargas, On a skewed and multifractal unidimensional random field, as a probabilistic representation of Kolmogorov's views on turbulence, Ann. Henri Poincaré, 20 (2019), 3693–3741. http://doi.org/10.1007/s00023-019-00842-y
    [17] J. Friedrich, J. Peinke, A. Pumir, R. Grauer, Explicit construction of joint multipoint statistics in complex systems, J. Phys. Complex., 2 (2021), 045006. http://doi.org/10.1088/2632-072X/ac2cda doi: 10.1088/2632-072X/ac2cda
    [18] E. B. Gledzer, System of hydrodynamic type admitting two quadratic integrals of motion, Sov. Phys. Dokl., 18 (1973), 216–217.
    [19] K. Ohkitani, M. Yamada, Temporal intermittency in the energy cascade process and local lyapunov analysis in fully-developed model turbulence, Prog. Theor. Phys., 81 (1989), 329–341. http://doi.org/10.1143/PTP.81.329 doi: 10.1143/PTP.81.329
    [20] L. Biferale, Shell models of energy cascade in turbulence, Annu. Rev. Fluid Mech., 35 (2003), 441–468. http://doi.org/10.1146/annurev.fluid.35.101101.161122 doi: 10.1146/annurev.fluid.35.101101.161122
    [21] G. B. Apolinário, L. Chevillard, J.-C. Mourrat, Dynamical fractional and multifractal fields, J. Stat. Phys., 186 (2022), 15. http://doi.org/10.1007/s10955-021-02867-2 doi: 10.1007/s10955-021-02867-2
    [22] Y. Colin de Verdière, L. Saint-Raymond, Attractors for two-dimensional waves with homogeneous Hamiltonians of degree 0, Commun. Pur. Appl. Math., 73 (2020), 421–462. http://doi.org/10.1002/cpa.21845 doi: 10.1002/cpa.21845
    [23] S. Dyatlov, M. Zworski, Microlocal analysis of forced waves, Pure and Applied Analysis, 1 (2019), 359–384. http://doi.org/10.2140/paa.2019.1.359 doi: 10.2140/paa.2019.1.359
    [24] Y. Colin de Verdière, Spectral theory of pseudodifferential operators of degree 0 and an application to forced linear waves, Anal. PDE, 13 (2020), 1521–1537. http://doi.org/10.2140/apde.2020.13.1521 doi: 10.2140/apde.2020.13.1521
    [25] L. R. M. Maas, D. Benielli, J. Sommeria, F.-P. A. Lam, Observation of an internal wave attractor in a confined, stably stratified fluid, Nature, 388 (1997), 557–561. http://doi.org/10.1038/41509 doi: 10.1038/41509
    [26] M. Rieutord, L. Valdettaro, Inertial waves in a rotating spherical shell, J. Fluid Mech., 341 (1997), 77–99. http://doi.org/10.1017/S0022112097005491 doi: 10.1017/S0022112097005491
    [27] H. Scolan, E. Ermanyuk, T. Dauxois, Nonlinear fate of internal wave attractors, Phys. Rev. Lett., 110 (2013), 234501. http://doi.org/10.1103/PhysRevLett.110.234501 doi: 10.1103/PhysRevLett.110.234501
    [28] C. Brouzet, E. V. Ermanyuk, S. Joubaud, I. Sibgatullin, T. Dauxois, Energy cascade in internal-wave attractors, EPL, 113 (2016), 44001. http://doi.org/10.1209/0295-5075/113/44001 doi: 10.1209/0295-5075/113/44001
    [29] J. C. Mattingly, T. Suidan, E. Vanden-Eijnden, Simple systems with anomalous dissipation and energy cascade, Commun. Math. Phys., 276 (2007), 189–220. http://doi.org/10.1007/s00220-007-0333-0 doi: 10.1007/s00220-007-0333-0
    [30] L. Chevillard, S. G. Roux, E. Lévêque, N. Mordant, J.-F. Pinton, A. Arnéodo, Intermittency of velocity time increments in turbulence, Phys. Rev. Lett., 95 (2005), 064501. http://doi.org/10.1103/PhysRevLett.95.064501 doi: 10.1103/PhysRevLett.95.064501
    [31] A. Gorbunova, G. Balarac, L. Canet, G. Eyink, V. Rossetto, Spatio-temporal correlations in three-dimensional homogeneous and isotropic turbulence, Phys. Fluids, 33 (2021), 045114. http://doi.org/10.1063/5.0046677 doi: 10.1063/5.0046677
    [32] H. Tennekes, J. L. Lumley, A first course in turbulence, MIT Press, 1972.
    [33] M. Chaves, K. Gawedzki, P. Horvai, A. Kupiainen, M. Vergassola, Lagrangian dispersion in Gaussian self-similar velocity ensembles, J. Stat. Phys., 113 (2003), 643–692. http://doi.org/10.1023/A:1027348316456 doi: 10.1023/A:1027348316456
    [34] J. Reneuve, L. Chevillard, Flow of spatiotemporal turbulentlike random fields, Phys. Rev. Lett., 125 (2020), 014502. http://doi.org/10.1103/PhysRevLett.125.014502 doi: 10.1103/PhysRevLett.125.014502
    [35] C. Canuto, M. Y. Hussaini, A. Quarteroni, T. A. Zang, Spectral methods: fundamentals in single domains, Berlin, Heidelberg: Springer, 2006. http://doi.org/10.1007/978-3-540-30726-6
    [36] P. E. Kloeden, E. Platen, Numerical solution of stochastic differential equations, Berlin, Heidelberg: Springer, 1992. http://doi.org/10.1007/978-3-662-12616-5
  • Reader Comments
  • © 2023 the Author(s), licensee AIMS Press. This is an open access article distributed under the terms of the Creative Commons Attribution License (http://creativecommons.org/licenses/by/4.0)
通讯作者: 陈斌, bchen63@163.com
  • 1. 

    沈阳化工大学材料科学与工程学院 沈阳 110142

  1. 本站搜索
  2. 百度学术搜索
  3. 万方数据库搜索
  4. CNKI搜索

Metrics

Article views(3623) PDF downloads(207) Cited by(3)

Article outline

Figures and Tables

Figures(8)

Other Articles By Authors

/

DownLoad:  Full-Size Img  PowerPoint
Return
Return

Catalog