Research article

Comparative in vitro activity of various antibiotic against planktonic and biofilm and the gene expression profile in Pseudomonas aeruginosa

  • Published: 30 March 2023
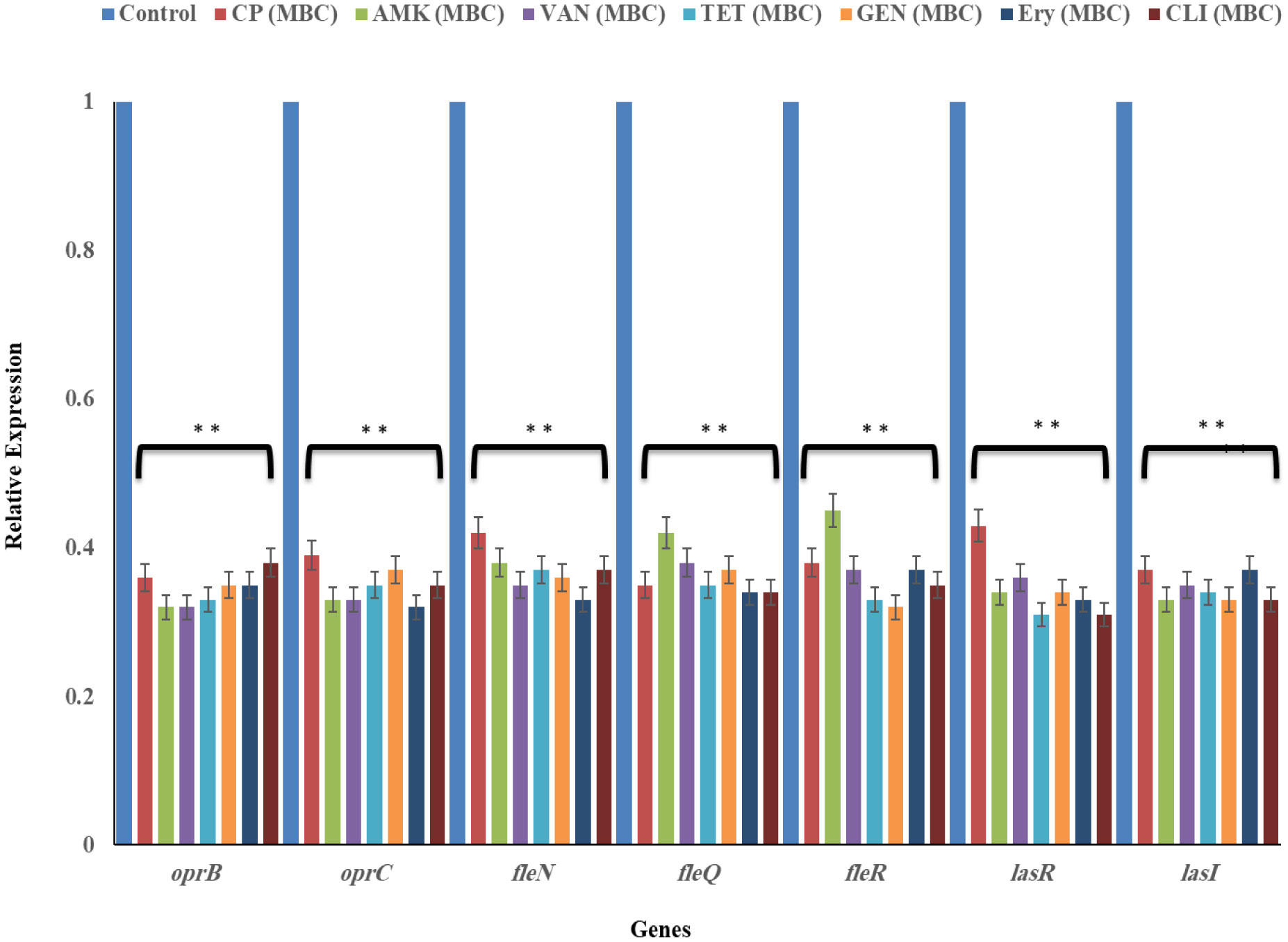
  • P. aeruginosa is an opportunistic pathogen that is commonly found in nosocomial infections. The purpose of this study was to investigate the effects of seven antibiotics on P. aeruginosa planktonic growth, biofilm formation, and the expression of virulence factors. These antibiotics included Ciprofloxacin (CP), Amikacin (AMK), Vancomycin (VAN), Tetracycline (TET), Gentamicin (GEN), Erythromycin (Ery), and Clindamycin (CLI). Antibiotic susceptibility testing, Minimum Bactericidal Concentration (MBC), Minimum Inhibitory Concentration (MIC), growth curve, time-kill curve, biofilm inhibition and reduction assay, and RT-qPCR were used to assess the effects of these antibiotics on P. aeruginosa planktonic and biofilm. The clear zones of inhibition against P. aeruginosa for the CP, AMK, VAN, TET, GEN, Ery, and CLI were 26 mm, 20 mm, 21 mm, 22 mm, 20 mm, 25 mm and 23 mm, respectively. The MIC values for CP, AMK, VAN, TET, GEN, Ery and CLI against P. aeruginosa ranged from 0.25 to 1 µg/mL while the MBC values ranged from 1 and 0.5 to 2 µg/mL respectively. The growth, total viable counts (TVCs), bacterial adhesion and biofilm formation of P. aeruginosa were reduced after exposure to all the tested antibiotics in a dose-dependent manner. The RT-qPCR analysis showed that all the tested antibiotics share a similar overall pattern of gene expression, with a trend toward reduced expression of the virulence genes of interest (lasR, lasI, fleN, fleQ and fleR, oprB and oprC) in P. aeruginosa. The results indicate that all of the tested antibiotics possess antimicrobial and anti-biofilm activities, and that they may be multiple inhibitors and moderators of P. aeruginosa virulence via a variety of molecular targets. This deduction requires to be investigated in vivo.

    Citation: Mohammad Abu-Sini, Mohammad A. Al-Kafaween, Rania M. Al-Groom, Abu Bakar Mohd Hilmi. Comparative in vitro activity of various antibiotic against planktonic and biofilm and the gene expression profile in Pseudomonas aeruginosa[J]. AIMS Microbiology, 2023, 9(2): 313-331. doi: 10.3934/microbiol.2023017

    Related Papers:

  • P. aeruginosa is an opportunistic pathogen that is commonly found in nosocomial infections. The purpose of this study was to investigate the effects of seven antibiotics on P. aeruginosa planktonic growth, biofilm formation, and the expression of virulence factors. These antibiotics included Ciprofloxacin (CP), Amikacin (AMK), Vancomycin (VAN), Tetracycline (TET), Gentamicin (GEN), Erythromycin (Ery), and Clindamycin (CLI). Antibiotic susceptibility testing, Minimum Bactericidal Concentration (MBC), Minimum Inhibitory Concentration (MIC), growth curve, time-kill curve, biofilm inhibition and reduction assay, and RT-qPCR were used to assess the effects of these antibiotics on P. aeruginosa planktonic and biofilm. The clear zones of inhibition against P. aeruginosa for the CP, AMK, VAN, TET, GEN, Ery, and CLI were 26 mm, 20 mm, 21 mm, 22 mm, 20 mm, 25 mm and 23 mm, respectively. The MIC values for CP, AMK, VAN, TET, GEN, Ery and CLI against P. aeruginosa ranged from 0.25 to 1 µg/mL while the MBC values ranged from 1 and 0.5 to 2 µg/mL respectively. The growth, total viable counts (TVCs), bacterial adhesion and biofilm formation of P. aeruginosa were reduced after exposure to all the tested antibiotics in a dose-dependent manner. The RT-qPCR analysis showed that all the tested antibiotics share a similar overall pattern of gene expression, with a trend toward reduced expression of the virulence genes of interest (lasR, lasI, fleN, fleQ and fleR, oprB and oprC) in P. aeruginosa. The results indicate that all of the tested antibiotics possess antimicrobial and anti-biofilm activities, and that they may be multiple inhibitors and moderators of P. aeruginosa virulence via a variety of molecular targets. This deduction requires to be investigated in vivo.



    加载中

    Acknowledgments



    This work was supported by Al-Zaytoonah University of Jordan (Grant Number: 2019-2018/18/09) and Universiti Sultan Zainal Abidin (UniSZA) (UniSZA/2018/DPU/13:R0034-R013). The authors thank all the staff members of the Faculty of Pharmacy at Al-Zaytoonah University of Jordan and the Faculty of Health Sciences at UniSZA for their support and commitment.

    Conflict of interest



    The authors declare that there is no conflict of interest.

    [1] Al-Kafaween MA, Al-Jamal HA, Hilmi AB, et al. (2020) Antibacterial properties of selected Malaysian Tualang honey against Pseudomonas aeruginosa and Streptococcus pyogenes. Iran J Microbiol 12: 565-576. https://doi.org/10.18502/ijm.v12i6.5031
    [2] Streeter K, Katouli M (2016) Pseudomonas aeruginosa: a review of their pathogenesis and prevalence in clinical settings and the environment. Infect Epidemiol Med 2: 25-32. https://doi.org/10.7508/iem.2016.01.008
    [3] Al-kafaween MA, Hilmi ABM, Al-Jamal HAN, et al. (2020) Potential antibacterial activity of yemeni sidr honey against Pseudomonas aeruginosa and Streptococcus pyogenes. Anti Infect Agents 19: 51-65. https://doi.org/10.2174/2211352519666210319100204
    [4] del Mar Cendra M, Torrents E (2021) Pseudomonas aeruginosa biofilms and their partners in crime. Biotechnol Adv 49: 107734. https://doi.org/10.1016/j.biotechadv.2021.107734
    [5] Dufour D, Leung V, Lévesque CM (2010) Bacterial biofilm: structure, function, and antimicrobial resistance. J Endod 22: 2-16. https://doi.org/10.1111/j.1601-1546.2012.00277
    [6] AL-Kafaween MA, Khan RS, Hilmi ABM, et al. (2019) Characterization of biofilm formation by Escherichia coli: An in vitro study. J appl biol biotechnol 7: 17-19. http://dx.doi.org/10.7324/JABB.2019.70304
    [7] Thi MTT, Wibowo D, Rehm BH (2020) Pseudomonas aeruginosa biofilms. Int J Mol Sci 21: 8671.
    [8] Al Kafaween MA, Hilmi ABM, Khan RS, et al. (2019) Effect of Trigona honey on Escherichia coli cell culture growth: In vitro study. J Apither 5: 10-17. http://dx.doi.org/10.5455/Ja.20190407083601
    [9] Rendueles O, Ghigo JM (2015) Mechanisms of competition in biofilm communities. Microbial Biofilms 10: 319-342. https://doi.org/10.1128/9781555817466.ch16
    [10] Bouacha M, Besnaci S, Boudiar I, et al. (2022) Impact of storage on Honey antibacterial and antioxidant activities and their correlation with polyphenolic content. Trop J Nat Prod Res 6: 34-39. https://doi.org/doi. org/10.26538/tjnpr/v6i17
    [11] Tan CH, Lee KWK, Burmølle M, et al. (2017) All together now: experimental multispecies biofilm model systems. Environ Microbiol 19: 42-53. https://doi/10.1111/1462-2920.13594
    [12] Bouacha M, Boudiar I, Akila A, et al. (2022) The antimutagenic effect of multifloral Honey in Salmonella/microsomal assay and its correlation with the total polyphenolic content. J Microbiol Biotechnol Food Sci 11: E5557-E. https://doi.org/10.55251/jmbfs.5557
    [13] Tarawneh O, Alwahsh W, Abul-Futouh H, et al. (2021) Determination of antimicrobial and antibiofilm activity of combined LVX and AMP impregnated in p (HEMA) hydrogel. Appl Sci 11: 8345. https://doi.org/10.3390/app11188345
    [14] Huwaitat R, Coulter SM, Porter SL, et al. (2021) Antibacterial and antibiofilm efficacy of synthetic polymyxin-mimetic lipopeptides. Pept Sci 113: e24188. https://doi.org/10.1002/pep2.24188
    [15] Alkafaween MA, Kafaween H, Al-Groom RM (2022) A comparative study of antibacterial activity of citrus and Jabali Honeys with Manuka Honey. Appl Environ Biotechnol 7: 28-37. https://doi.org/10.26789/AEB.2022.01.004
    [16] Mahto KU, Kumari S, Das S (2022) Unraveling the complex regulatory networks in biofilm formation in bacteria and relevance of biofilms in environmental remediation. Crit Rev Biochem Mol 57: 305-320. https://doi.org/10.1080/10409238.2021.2015747
    [17] Olivares E, Badel-Berchoux S, Provot C, et al. (2020) Clinical impact of antibiotics for the treatment of Pseudomonas aeruginosa biofilm infections. Front Microbiol 10: 2894. https://doi.org/10.3389/fmicb.2019.02894
    [18] Mabrouka B, Ines B, Al-Kafaween MA, et al. (2022) Screening of the antibacterial and antibiofilm effect of multifloral honey against multidrug-resistant Pseudomonas aeruginosa. Acta Microbiol Hell 67: 69-79.
    [19] Al-Kafaween MA, HANA J, Abu Bakar MH (2022) De novo whole genome sequencing data of Pseudomonas aeruginosa ATCC10145, an opportunistic pathogen. Trop J Nat Prod Res 6: 176-9.
    [20] Alkafaween MA, Abu-Sini M, Al-Jamal HAN (2022) Antibiotic susceptibility and differential expression of virulence genes in Staphylococcus aureus. Appl Environ Biotechnol 7: 6-15. https://doi.org/10.26789/AEB.2022.01.002
    [21] Kumbar VM, Peram MR, Kugaji MS, et al. (2021) Effect of curcumin on growth, biofilm formation and virulence factor gene expression of Porphyromonas gingivalis. Odontology 109: 18-28. https://doi.org/10.1007/s10266-020-00514
    [22] Bhandari S, Adhikari S, Karki D, et al. (2022) Antibiotic resistance, biofilm formation and detection of mexA/mexB efflux-pump genes among clinical isolates of Pseudomonas aeruginosa in a Tertiary Care Hospital, Nepal. Front Trop Dis 2: 810863. https://doi.org/10.3389/fitd.2021.810863
    [23] Hassan MM, Harrington NE, Sweeney E, et al. (2020) Predicting antibiotic-associated virulence of pseudomonas aeruginosa using an ex vivo lung biofilm model. Front Microbiol 11: 568510. https://doi.org/10.3389/fmicb.2020.568510
    [24] Rodríguez C, Alonso C, García C, et al. (2021) Minimum inhibitory concentration (MIC) and minimum bactericidal concentration (MBC) for twelve antimicrobials (biocides and antibiotics) in eight strains of listeria monocytogenes. Biology 11: 1-16. https://doi.org/10.3390/biology11010046
    [25] Al-Bakri AG, Mahmoud NN (2019) Photothermal-induced antibacterial activity of gold nanorods loaded into polymeric hydrogel against Pseudomonas aeruginosa biofilm. Molecules 24: 1-19. https://doi.org/10.3390/molecules24142661
    [26] Al-kafaween MA, Al-Jamal HAN (2022) A comparative study of antibacterial and antivirulence activities of four selected honeys to Manuka honey. Iran J Microbiol 14: 238-251. https://doi.org/10.18502%2Fijm.v14i2.9193
    [27] Zainol MI, Mohd Yusoff K, Mohd Yusof MY (2013) Antibacterial activity of selected Malaysian honey. BMC 13: 1-10. https://doi.org/10.1186/1472-6882-13-129
    [28] Al-kafaween MA, Abu baker MH, Hamid AJ (2021) The beneficial effects of stingless bee kelulut honey against Pseudomonas aeruginosa and Streptococcus pyogenes planktonic and biofilm. Trop J Nat Prod Res 5: 1788-1796. https://doi.org/10.26538/tjnpr/v5i10.15
    [29] Kim YG, Baltabekova AZ, Zhiyenbay EE, et al. (2017) Recombinant vaccinia virus-coded interferon inhibitor B18R: Expression, refolding and a use in a mammalian expression system with a RNA-vector. PLoS One 12: e0189308. https://doi.org/10.1371/journal.pone.0189308
    [30] Shi C, Zhao X, Yan H, et al. (2016) Effect of tea tree oil on Staphylococcus aureus growth and enterotoxin production. Food Control 62: 257-263. https://doi.org/10.1016/j.foodcont.2015.10.049
    [31] Al-kafaween MA, Mohd Hilmi AB, Jaffar N, et al. (2020) Effects of Trigona honey on the gene expression profile of Pseudomonas aeruginosa ATCC 10145 and Streptococcus pyogenes ATCC 19615. Jordan J Biol Sci 1: 133-138.
    [32] Olivares E, Badel-Berchoux S, Provot C, et al. (2017) Tobramycin and amikacin delay adhesion and microcolony formation in Pseudomonas aeruginosa cystic fibrosis isolates. Front Microbiol 8: 1289. https://doi.org/10.3389/fmicb.2017.01289
    [33] Kaur S, Harjai K, Chhibber S (2012) Methicillin-resistant Staphylococcus aureus phage plaque size enhancement using sublethal concentrations of antibiotics. Appl Environ Microbiol 2012; 78: 8227-8233. https://doi.org/10.1128/AEM.02371-12
    [34] Gomes F, Teixeira P, Cerca N, et al. (2011) Virulence gene expression by Staphylococcus epidermidis biofilm cells exposed to antibiotics. Microb Drug Resist 17: 191-196. https://doi.org/10.1089/mdr.2010.0149
    [35] Resch A, Rosenstein R, Nerz C, et al. (2005) Differential gene expression profiling of Staphylococcus aureus cultivated under biofilm and planktonic conditions. Appl Environ Microbiol 71: 2663-2676. https://doi.org/10.1128/AEM.71.5.2663-2676.2005
    [36] Maddocks SE, Lopez MS, Rowlands RS, et al. (2012) Manuka honey inhibits the development of Streptococcus pyogenes biofilms and causes reduced expression of two fibronectin binding proteins. Microbiology 158: 781-790. https://doi.org/10.1099/mic.0.053959-0
    [37] Roberts AE, Maddocks SE, Cooper RA (2012) Manuka honey is bactericidal against Pseudomonas aeruginosa and results in differential expression of oprF and algD. Microbiology 158: 3005-3013. https://doi.org/10.1099/mic.0.062794-0
    [38] Wasfi R, Elkhatib WF, Khairalla AS (2016) Effects of selected Egyptian honeys on the cellular ultrastructure and the gene expression profile of Escherichia coli. PloS one 11: e0150984. https://doi.org/10.1371/journal.pone.0150984
    [39] Yadav MK, Kwon SK, Cho CG, et al. (2012) Gene expression profile of early in vitro biofilms of Streptococcus pneumoniae. Microbiol Immunol 56: 621-629. https://doi.org/10.1111/j.1348-0421.2012.00483
    [40] Livak KJ, Schmittgen TD (2001) Analysis of relative gene expression data using real-time quantitative PCR and the 2− ΔΔCT method. methods 25: 402-408. https://doi.org/10.1006/meth.2001.1262
    [41] Schmittgen TD, Livak KJ (2008) Analyzing real-time PCR data by the comparative CT method. Nat Protoc 3: 11-18. https://doi.org/10.1038/nprot.2008.73
    [42] Al-kafaween MA, Hilmi AB, Al-Jamal HA, et al. (2021) Effects of selected Malaysian Kelulut Honey on biofilm formation and the gene expression profile of Staphylococcus Aureus, Pseudomonas Aeruginosa and Escherichia Coli. Jordan J Pharm Sci 14: 1-18.
    [43] Al-Kafaween MA, Hilmi AB, Al-Jamal HN, et al. (2020) Pseudomonas aeruginosa and Streptococcus pyogenes exposed to Malaysian trigona honey in vitro demonstrated downregulation of virulence factor. Iran J Biotechnol 18: e2542. https://doi.org/10.30498/ijb.2020.2542
    [44] Jarrar YB, Jarrar Q, Abaalkhail SJ, et al. (2022) Molecular toxicological alterations in the mouse hearts induced by sub-chronic thiazolidinedione drugs administration. Fundam Clin Pharmacol 36: 143-149. https://doi.org/10.1111/fcp.12694
    [45] Jarrar Y, Jarrar Q, Abu-Shalhoob M, et al. (2019) Relative expression of mouse Udp-glucuronosyl transferase 2b1 gene in the livers, kidneys, and hearts: the influence of nonsteroidal anti-inflammatory drug treatment. Curr Drug Metab 20: 918-923. https://doi.org/10.2174/1389200220666191115103310
    [46] Tielen P, Kuhn H, Rosenau F, et al. (2013) Interaction between extracellular lipase LipA and the polysaccharide alginate of Pseudomonas aeruginosa. BMC 13: 1-12. https://doi.org/10.1186/1471-2180-13-159
    [47] Ceylan M, Yang SY, Asmatulu R (2017) Effects of gentamicin-loaded PCL nanofibers on growth of Gram positive and Gram negative bacteria. IJAMBR 5: 40-51.
    [48] Sharifian P, Yaslianifard S, Fallah P, et al. (2020) Investigating the effect of nano-curcumin on the expression of biofilm regulatory genes of Pseudomonas aeruginosa. Infect Drug Resist 13: 1-8.
    [49] Liu Y, Moore JH, Kolling GL, et al. (2020) Minimum bactericidal concentration of ciprofloxacin to Pseudomonas aeruginosa determined rapidly based on pyocyanin secretion. Sens Actuators B Chem 312: 1-12. https://doi.org/10.1016/j.snb.2020.127936
    [50] Chowdhury SA, Naher J, Mamun AA, et al. (2014) Studies on antibiotic sensitivity pattern of Pseudomonas aeruginosa isolated from hospitalized patients. OALib J 1: 1-9. http://dx.doi.org/10.4236/oalib.1100911
    [51] Al-kafaween MA, Hilmi AB (2022) Evaluation of the effect of different growth media and incubation time on the suitability of biofilm formation by Pseudomonas aeruginosa and Streptococcus pyogenes. Appl Environ Biotechnol 6: 19-26. http://doi.org/10.26789/AEB.2021.02.003
    [52] Wu H, Song L, Yam JKH, et al. (2022) Effects of antibiotic treatment and phagocyte infiltration on development of Pseudomonas aeruginosa biofilm—Insights from the application of a novel PF hydrogel model in vitro and in vivo. Front Cell Infect Microbiol 12: 1-7. https://doi.org/10.3389/fcimb.2022.826450
    [53] Al-Kafaween MA, Alwahsh M, Hilmi AB, et al. (2023) Physicochemical characteristics and bioactive compounds of different types of Honey and their biological and therapeutic properties: A comprehensive review. Antibiotics 6: 1-34. https://doi.org/10.3390/antibiotics12020337
  • Reader Comments
  • © 2023 the Author(s), licensee AIMS Press. This is an open access article distributed under the terms of the Creative Commons Attribution License (http://creativecommons.org/licenses/by/4.0)
通讯作者: 陈斌, bchen63@163.com
  • 1. 

    沈阳化工大学材料科学与工程学院 沈阳 110142

  1. 本站搜索
  2. 百度学术搜索
  3. 万方数据库搜索
  4. CNKI搜索

Metrics

Article views(4235) PDF downloads(144) Cited by(7)

Article outline

Figures and Tables

Figures(6)  /  Tables(3)

/

DownLoad:  Full-Size Img  PowerPoint
Return
Return

Catalog