Research article Special Issues

Output formation containment of time-delayed heterogeneous singular multi-agent systems with stochastic impulsive effects

  • Published: 28 April 2026
  • MSC : 26A33, 34K37

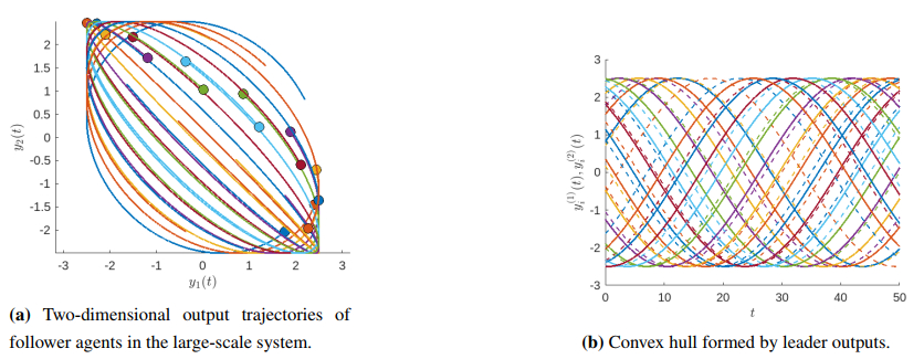
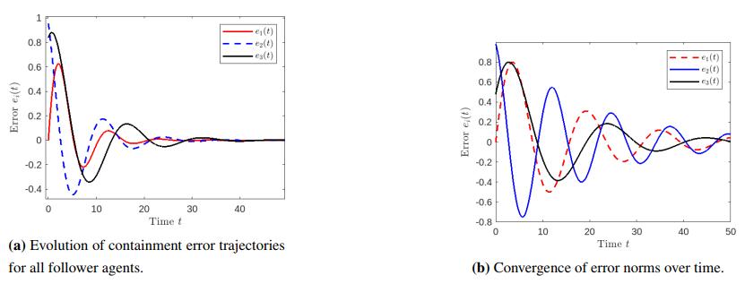
  • This paper investigates the containment of output formation for heterogeneous singular multi-agent systems (MASs) subject to time delays and stochastic impulsive disturbances. The considered agents exhibit diverse dynamics, including descriptor-type tracking and algebraic systems, reflecting heterogeneity in state-space representations. Communication constraints are modeled via bounded state and input delays, while environmental uncertainties are captured through stochastic noise and impulsive effects occurring at arbitrary time instants. A distributed control protocol is proposed to achieve output formation containment, ensuring asymptotic convergence of follower outputs to a convex combination of leader outputs. The approach effectively addresses system singularities and uncertainties by employing a Lyapunov–Krasovskii functional combined with stochastic stability analysis. Sufficient conditions for mean-square admissibility and asymptotic convergence are derived. Numerical simulations validate the effectiveness and robustness of the proposed control strategy under varying delays and impulsive conditions.

    Citation: Mhamed Benaissa, Esmail H. A. Al-Sabri, Maryam Iqbal, Walid Abdelfattah, Ghada A. Alsawah, Azmat Ullah Khan Niazi. Output formation containment of time-delayed heterogeneous singular multi-agent systems with stochastic impulsive effects[J]. AIMS Mathematics, 2026, 11(4): 11706-11730. doi: 10.3934/math.2026482

    Related Papers:

  • This paper investigates the containment of output formation for heterogeneous singular multi-agent systems (MASs) subject to time delays and stochastic impulsive disturbances. The considered agents exhibit diverse dynamics, including descriptor-type tracking and algebraic systems, reflecting heterogeneity in state-space representations. Communication constraints are modeled via bounded state and input delays, while environmental uncertainties are captured through stochastic noise and impulsive effects occurring at arbitrary time instants. A distributed control protocol is proposed to achieve output formation containment, ensuring asymptotic convergence of follower outputs to a convex combination of leader outputs. The approach effectively addresses system singularities and uncertainties by employing a Lyapunov–Krasovskii functional combined with stochastic stability analysis. Sufficient conditions for mean-square admissibility and asymptotic convergence are derived. Numerical simulations validate the effectiveness and robustness of the proposed control strategy under varying delays and impulsive conditions.



    加载中


    [1] W. Chen, J. Hu, Z. Wu, S. Ma, A survey on fault detection for networked systems under communication constraints, Syst. Sci. Control Eng., 13 (2025), 2460434. https://doi.org/10.1080/21642583.2025.2460434 doi: 10.1080/21642583.2025.2460434
    [2] C. Y. Wang, Z. Y. Zuo, Z. Q. Qi, Z. T. Ding, Predictor-based extended-state-observer design for consensus of MASs with delays and disturbances, IEEE T. Cybernetics, 49 (2019), 1259. https://doi.org/10.1109/TCYB.2018.2799798 doi: 10.1109/TCYB.2018.2799798
    [3] G. Bao, L. Ma, X. Yi, Recent advances on cooperative control of heterogeneous multi-agent systems subject to constraints: A survey, Syst. Sci. Control Eng., 10 (2022), 539–551. https://doi.org/10.1080/21642583.2022.2074169 doi: 10.1080/21642583.2022.2074169
    [4] S. Behjat, M. R. Salehizadeh, G. Lorenzini, Modeling time-delay in consensus control: A review, Int. J. Res. Tech. Electr. Ind., 3 (2024), 287–298. https://doi.org/10.48308/ijrtei.2024.234427.1037 doi: 10.48308/ijrtei.2024.234427.1037
    [5] J. Zhang, M. Lyu, T. Shen, L. Liu, Y. Bo, Sliding mode control for a class of nonlinear multi-agent systems with time delay and uncertainties, IEEE T. Ind. Electron., 65 (2017), 865–875. https://doi.org/10.1109/TIE.2017.2701777 doi: 10.1109/TIE.2017.2701777
    [6] C. Li, Y. Liu, M. Gao, L. Sheng, Fault-tolerant formation consensus control for time-varying multi-agent systems with stochastic communication protocol, Int. J. Netw. Dyn. Intell., 2024. https://doi.org/10.53941/ijndi.2024.100004
    [7] A. Khan, A. U. K. Niazi, S. Rehman, S. Ahmed, Hostile-based bipartite containment control of nonlinear fractional multi-agent systems with input delays: A signed graph approach under disturbance and switching networks, AIMS Math., 9 (2024), 12678–12699. https://doi.org/10.3934/math.2024620 doi: 10.3934/math.2024620
    [8] Z. H. Zhu, B. Hu, Z. H. Guan, D. X. Zhang, T. Li, Observer-based bipartite containment control for singular multi-agent systems over signed digraphs, IEEE T. Circuits-I, 68 (2020), 444–457. https://doi.org/10.1109/TCSI.2020.3026323 doi: 10.1109/TCSI.2020.3026323
    [9] Y. Wang, M. Rajabinezhad, Y. Zhang, S. Zuo, Cyber-physical defense for heterogeneous multi-agent systems against exponentially unbounded attacks on signed digraphs, arXiv preprint, 2025.
    [10] L. Zhang, Y. Li, J. Lou, J. Lu, Bipartite asynchronous impulsive tracking consensus for multi-agent systems, Front. Inform. Tech. El., 23 (2022), 1522–1532. https://doi.org/10.1631/FITEE.2100122 doi: 10.1631/FITEE.2100122
    [11] Z. Yan, Z. Pan, G. Hu, J. Cheng, W. Qi, Annular finite-time $H_2/H_\infty$ control for mean-field jump-diffusion systems, IEEE T. Cybernetics, 55 (2025), 5358–5371. https://doi.org/10.1109/TCYB.2025.3597588 doi: 10.1109/TCYB.2025.3597588
    [12] Z. Yan, Z. Pan, G. Hu, H. Yan, Finite-time annular domain guaranteed cost control for uncertain mean-field stochastic systems with Wiener and Poisson noises, IEEE T. Syst. Man Cy.-S., 55 (2025), 7981–7993. https://doi.org/10.1109/TSMC.2025.3598993 doi: 10.1109/TSMC.2025.3598993
    [13] H. Zheng, J. Lu, S. Zhen, X. Liu, Y. Chen, Hybrid nominal-robust control strategy with error-bounding constraints for enhanced hub motor performance, Control Eng. Pract., 168 (2026), 106672. https://doi.org/10.1016/j.conengprac.2025.106672 doi: 10.1016/j.conengprac.2025.106672
    [14] Z. Li, J. Jin, D. Zhang, C. Chen, Design and realization of pulse-controlled multi-memristor Hopfield neural networks and their applications in information encryption, Multimedia Syst., 31 (2025), 427. https://doi.org/10.1007/s00530-025-02012-z doi: 10.1007/s00530-025-02012-z
    [15] N. Cheng, W. Wang, H. Zeng, X. Liu, X. Zhang, Novel exponential-weighted integral inequality for exponential stability analysis of time-varying delay systems, Appl. Math. Lett., 172 (2026), 109730. https://doi.org/10.1016/j.aml.2025.109730 doi: 10.1016/j.aml.2025.109730
    [16] C. Li, W. Wang, H. Zeng, X. Zhang, Novel stability and stabilization criteria for T-S fuzzy systems with time-varying delay based on fuzzy line integral, Commun. Nonlinear Sci., 156 (2026), 109663. https://doi.org/10.1016/j.cnsns.2026.109663 doi: 10.1016/j.cnsns.2026.109663
    [17] F. Zhu, P. Li, Adaptive fuzzy consensus tracking control of multi-agent systems with predefined time, AIMS Math., 10 (2025), 5307–5331. https://doi.org/10.3934/math.2025245 doi: 10.3934/math.2025245
    [18] M. Nasir, Z. Ahmed, N. Ali, M. A. Saeed, $H_\infty $ performance tracking and group consensus of delayed multi-agent systems under attack, J. Vib. Control, 30 (2024), 1721–1736. https://doi.org/10.1177/10775463231170032 doi: 10.1177/10775463231170032
    [19] H. Yang, S. Li, L. Yang, Z. Ding, Leader-following consensus of fractional-order uncertain multi-agent systems with time delays, Neural Process. Lett., 54 (2022), 4829–4849. https://doi.org/10.1007/s11063-022-10837-2 doi: 10.1007/s11063-022-10837-2
    [20] T. Hu, Z. He, X. Zhang, S. Zhong, Leader-following consensus of fractional-order multi-agent systems based on event-triggered control, Nonlinear Dynam., 99 (2020), 2219–2232. https://doi.org/10.1007/s11071-019-05390-y doi: 10.1007/s11071-019-05390-y
    [21] J. Liu, G. Jiang, C. Chu, Y. Li, Z. Wang, S. Hu, A formal model for multiagent Q-learning on graphs, Sci. China Inform. Sci., 68 (2025), 192206. https://doi.org/10.1007/s11432-024-4289-6 doi: 10.1007/s11432-024-4289-6
    [22] X. Liu, L. Zhao, J. Jin, A noise-tolerant fuzzy-type zeroing neural network for robust synchronization of chaotic systems, Concurr. Comp.-Pract. E., 36 (2024), e8218. https://doi.org/10.1002/cpe.8218 doi: 10.1002/cpe.8218
    [23] J. Xiong, X. Wang, C. Li, Recurrent neural network based sliding mode control for an uncertain tilting quadrotor UAV, Int. J. Robust Nonlin., 35 (2025), 8030–8046. https://doi.org/10.1002/rnc.70108 doi: 10.1002/rnc.70108
    [24] Q. Lu, X. Wu, J. She, F. Guo, L. Yu, Disturbance rejection for systems with uncertainties based on fixed-time equivalent-input-disturbance approach, IEEE-CAA J. Automatic., 11 (2024), 2384–2395. https://doi.org/10.1109/JAS.2024.124650 doi: 10.1109/JAS.2024.124650
    [25] H. Tian, Z. Wang, Z. Cao, B. Sun, Field and delay effects on synchronization in a multilayer memristive neuronal network with a hub, Chaos Soliton. Fract., 201 (2025), 117292. https://doi.org/10.1016/j.chaos.2025.117292 doi: 10.1016/j.chaos.2025.117292
    [26] W. Yuan, J. Chen, S. Chen, D. Feng, Z. Hu, P. Li, et al., Transformer in reinforcement learning for decision-making: A survey, Front. Inform. Tech. El., 25 (2024), 763–790. https://doi.org/10.1631/FITEE.2300548 doi: 10.1631/FITEE.2300548
    [27] Y. Kang, L. Yao, H. Wang, Fault isolation and fault-tolerant control for Takagi-Sugeno fuzzy time-varying delay stochastic distribution systems, IEEE T. Fuzzy Syst., 30 (2022), 1185–1195. https://doi.org/10.1109/TFUZZ.2021.3053320 doi: 10.1109/TFUZZ.2021.3053320
    [28] J. Zhang, X. Zhao, G. Zheng, F. Zhu, T. N. Dinh, On distributed prescribed-time unknown input observers, IEEE T. Automat. Contr., 70 (2025), 4743–4750. https://doi.org/10.1109/TAC.2025.3536856 doi: 10.1109/TAC.2025.3536856
    [29] J. Zhang, Y. Song, G. Zheng, Prescribed-time observer for descriptor systems with unknown input, Automatica, 172 (2025), 111999. https://doi.org/10.1016/j.automatica.2024.111999 doi: 10.1016/j.automatica.2024.111999
    [30] X. Yang, X. Zhang, J. Cao, H. Liu, Observer-based adaptive fuzzy fractional backstepping consensus control of uncertain multiagent systems via event-triggered scheme, IEEE T. Fuzzy Syst., 32 (2024), 3953–3967. https://doi.org/10.1109/TFUZZ.2024.3386312 doi: 10.1109/TFUZZ.2024.3386312
    [31] J. Kandasamy, R. Ramachandran, V. Veerasamy, A. X. R. Irudayaraj, Distributed leader-follower based adaptive consensus control for networked microgrids, Appl. Energ., 353 (2024), 122083. https://doi.org/10.1016/j.apenergy.2023.122083 doi: 10.1016/j.apenergy.2023.122083
    [32] X. Pu, Z. Cheng, Couple-group consensus of heterogeneous fractional multi-agent systems with pinning and self-adaptive controller, In: 2022 34th Chinese Control and Decision Conference (CCDC), IEEE, 2022, 3357–3362. https://doi.org/10.1109/CCDC55256.2022.10034347
    [33] R. Almeida, E. Girejko, S. Hristova, A. B. Malinowska, Leader-following consensus for fractional multi-agent systems, Adv. Differ. Equ., 2019 (2019), 1–15. https://doi.org/10.1186/s13662-019-2235-9 doi: 10.1186/s13662-019-2235-9
    [34] B. Ramakrishnan, F. Parastesh, S. Jafari, K. Rajagopal, G. Stamov, I. Stamova, Synchronization in a multiplex network of nonidentical fractional-order neurons, Fractal Fract., 6 (2022), 169. https://doi.org/10.3390/fractalfract6030169 doi: 10.3390/fractalfract6030169
    [35] M. Abdelrahim, A. Abdessameud, E. H. Abed, M. Abu-Khalaf, B. Acikmese, E. M. Adam, et al., 2019 index IEEE transactions on automatic control Vol. 64, IEEE T. Automat. Contr., 64 (2019), 5273–5349. https://doi.org/10.1109/TAC.2020.2967132 doi: 10.1109/TAC.2020.2967132
    [36] W. Zhang, B. Gong, X. Wang, H. Li, Leader-following consensus of stochastic delayed multiagent systems with input saturation under self-triggered impulsive control, Sci. China Tech. Sci., 68 (2025), 1420404. https://doi.org/10.1007/s11431-024-2715-5 doi: 10.1007/s11431-024-2715-5
    [37] Z. Guo, L. Cao, C. Zuo, Y. Pan, Dynamic event-triggered adaptive tracking control for multi-agent systems with power exponential function using fuzzy disturbance observer, Int. J. Fuzzy Syst., 25 (2023), 2900–2917. https://doi.org/10.1007/s40815-023-01540-y doi: 10.1007/s40815-023-01540-y
    [38] M. Parsa, M. Danesh, Robust containment control of uncertain multi-agent systems with time-delay and heterogeneous Lipschitz nonlinearity, IEEE T. Syst. Man Cyb.-Sy., 51 (2019), 2312–2321. https://doi.org/10.1109/TSMC.2019.2912268 doi: 10.1109/TSMC.2019.2912268
    [39] Y. Ye, H. Su, Leader-following consensus of nonlinear fractional-order multi-agent systems over directed networks, Nonlinear Dynam., 96 (2019), 1391–1403. https://doi.org/10.1007/s11071-019-04861-6 doi: 10.1007/s11071-019-04861-6
    [40] P. Xiao, Z. Gu, Adaptive event-triggered consensus of fractional-order nonlinear multi-agent systems, IEEE Access, 10 (2021), 213–220. https://doi.org/10.1109/ACCESS.2021.3136892 doi: 10.1109/ACCESS.2021.3136892
    [41] H. Guo, M. Chen, Y. Shen, M. Lungu, Distributed event-triggered collision avoidance formation control for QUAVs with disturbances based on virtual tubes, IEEE T. Indu. Electron., 72 (2024), 1892–1903. https://doi.org/10.1109/TIE.2024.3417975 doi: 10.1109/TIE.2024.3417975
    [42] T. Shi, L. Chen, G. He, W. Song, Distributed composite learning dynamic event-triggered control for nonlinear multi-agent power systems, IEEE T. Circuits-I, 72 (2025), 2274–2287. https://doi.org/10.1109/TCSI.2025.3539299 doi: 10.1109/TCSI.2025.3539299
    [43] S. Miao, H. Su, Consensus of different-order switched multi-agent systems on matrix-weighted networks, Appl. Math. Comput., 508 (2026), 129610. https://doi.org/10.1016/j.amc.2025.129610 doi: 10.1016/j.amc.2025.129610
    [44] X. Xu, B. Li, Semi-global stabilization of parabolic PDE-ODE systems with input saturation, Automatica, 171 (2025), 111931. https://doi.org/10.1016/j.automatica.2024.111931 doi: 10.1016/j.automatica.2024.111931
    [45] X. Xu, B. Li, PDE-based observation and predictor-based control for linear systems with distributed infinite input and output delays, Automatica, 170 (2024), 111845. https://doi.org/10.1016/j.automatica.2024.111845 doi: 10.1016/j.automatica.2024.111845
    [46] Y. Wang, W. Kong, J. Li, H. Sun, X. Li, Q. Wei, A decoupling model for fatigue life assessment of double wellhead system with subsea suction anchor, Ocean Eng., 311 (2024), 118896. https://doi.org/10.1016/j.oceaneng.2024.118896 doi: 10.1016/j.oceaneng.2024.118896
    [47] Z. Zhou, Y. Wang, X. Liu, Z. Li, M. Wu, G. Zhou, Hybrid of neural network and physics-based estimator for vehicle longitudinal dynamics modeling using limited driving data, IEEE T. Intell. Transp., 26 (2025), 16735–16746. https://doi.org/10.1109/TITS.2025.3585346 doi: 10.1109/TITS.2025.3585346
    [48] J. Chen, M. Li, M. Marcantoni, B. Jayawardhana, Y. Wang, Range-only distributed safety-critical formation control based on contracting bearing estimators and control barrier functions, IEEE Internet Things, 12 (2025), 40968–40979. https://doi.org/10.1109/JIOT.2025.3590774 doi: 10.1109/JIOT.2025.3590774
    [49] J. Wang, H. Wang, J. Song, X. Chen, J. Guo, K. Li, et al., Knowledge-guided self-learning control strategy for mixed vehicle platoons with delays, Nature Commun., 16 (2025), 7705. https://doi.org/10.1038/s41467-025-62597-x doi: 10.1038/s41467-025-62597-x
    [50] B. Wang, J. Sun, B. Peng, X. Cui, L. Cheng, X. Zheng, Optimal event-triggered neural learning tracking control for pneumatic muscle antagonistic joint with asymmetric constraints, IEEE T. Ind. Electron., 72 (2025), 14677–14687. https://doi.org/10.1109/TIE.2025.3585055 doi: 10.1109/TIE.2025.3585055
  • Reader Comments
  • © 2026 the Author(s), licensee AIMS Press. This is an open access article distributed under the terms of the Creative Commons Attribution License (http://creativecommons.org/licenses/by/4.0)
通讯作者: 陈斌, bchen63@163.com
  • 1. 

    沈阳化工大学材料科学与工程学院 沈阳 110142

  1. 本站搜索
  2. 百度学术搜索
  3. 万方数据库搜索
  4. CNKI搜索

Metrics

Article views(349) PDF downloads(27) Cited by(0)

Article outline

Figures and Tables

Figures(9)

/

DownLoad:  Full-Size Img  PowerPoint
Return
Return

Catalog