Research article Special Issues

Hamiltonian Monte Carlo–based inference for the flexible exponential power–Weibull distribution with applications in reliability analysis

  • Published: 27 April 2026
  • MSC : 60E05, 62E15, 62E20, 62F10, 62F15

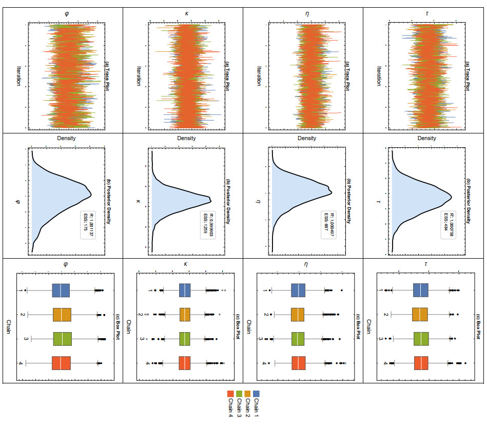
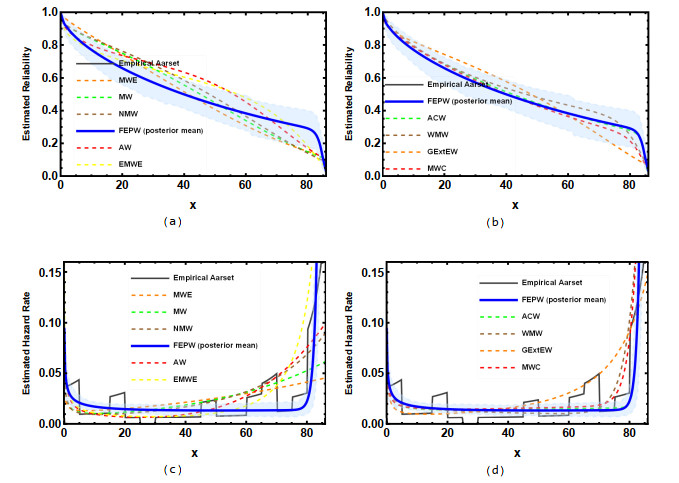
  • In this study, I introduce a new four-parameter lifetime model, termed the flexible exponential power–Weibull (FEPW) distribution, developed by combining the exponential power and Weibull distributions to enhance modeling capability for a wide range of reliability data. The proposed distribution exhibited considerable flexibility in capturing increasing, decreasing, bathtub-shaped, and J-shaped hazard rate behaviors, making it suitable for complex engineering systems. The hazard rate function of the FEPW distribution was derived, and its principal structural properties were rigorously established. Parameter estimation for the FEPW distribution was addressed through maximum likelihood estimation and Bayesian inference. For the Bayesian framework, I implemented Hamiltonian Monte Carlo with the No-U-Turn Sampler (HMC–NUTS) to achieve efficient posterior exploration and stable parameter uncertainty quantification. A detailed simulation study was conducted to evaluate estimator performance under various parameter settings and sample sizes, assessing bias and mean squared error. The practical utility of the proposed model was demonstrated through applications to real-world reliability datasets, where it consistently outperformed several competing lifetime models in terms of goodness-of-fit and information criteria. The results underscored the FEPW distribution as a flexible and useful model for modeling complex failure-time data in reliability engineering and related fields.

    Citation: M. G. M. Ghazal. Hamiltonian Monte Carlo–based inference for the flexible exponential power–Weibull distribution with applications in reliability analysis[J]. AIMS Mathematics, 2026, 11(4): 11659-11705. doi: 10.3934/math.2026481

    Related Papers:

  • In this study, I introduce a new four-parameter lifetime model, termed the flexible exponential power–Weibull (FEPW) distribution, developed by combining the exponential power and Weibull distributions to enhance modeling capability for a wide range of reliability data. The proposed distribution exhibited considerable flexibility in capturing increasing, decreasing, bathtub-shaped, and J-shaped hazard rate behaviors, making it suitable for complex engineering systems. The hazard rate function of the FEPW distribution was derived, and its principal structural properties were rigorously established. Parameter estimation for the FEPW distribution was addressed through maximum likelihood estimation and Bayesian inference. For the Bayesian framework, I implemented Hamiltonian Monte Carlo with the No-U-Turn Sampler (HMC–NUTS) to achieve efficient posterior exploration and stable parameter uncertainty quantification. A detailed simulation study was conducted to evaluate estimator performance under various parameter settings and sample sizes, assessing bias and mean squared error. The practical utility of the proposed model was demonstrated through applications to real-world reliability datasets, where it consistently outperformed several competing lifetime models in terms of goodness-of-fit and information criteria. The results underscored the FEPW distribution as a flexible and useful model for modeling complex failure-time data in reliability engineering and related fields.



    加载中


    [1] W. Weibull, A statistical distribution function of wide applicability, J. Appl. Mech., 18 (1951), 293–297. http://dx.doi.org/10.1115/1.4010337 doi: 10.1115/1.4010337
    [2] P. Kosky, R. Balmer, W. Keat, G. Wise, Industrial engineering, In: Exploring Engineering, Elsevier, 2021,229–257. https://doi.org/10.1016/B978-0-12-815073-3.00011-9
    [3] W. Q. Meeker, L. A. Escobar, Statistical methods for reliability data, John Wiley & Sons, 1998.
    [4] B. Singh, An additive Perks–Weibull model with bathtub-shaped hazard rate function, Commun. Math. Stat., 4 (2016), 473–493. http://dx.doi.org/10.1007/s40304-016-0096-z doi: 10.1007/s40304-016-0096-z
    [5] M. K. Shakhatreh, A. J. Lemonte, G. M. Arenas, The log-normal modified Weibull distribution and its reliability implications, Reliab. Eng. Syst. Saf., 188 (2019), 6–22. http://dx.doi.org/10.1016/j.ress.2019.03.014 doi: 10.1016/j.ress.2019.03.014
    [6] B. Abba, H. Wang, H. S. Bakouch, A reliability and survival model for one and two failure modes system with applications to complete and censored datasets, Reliab. Eng. Syst. Saf., 223 (2022), 108460. http://dx.doi.org/10.1016/j.ress.2022.108460 doi: 10.1016/j.ress.2022.108460
    [7] L. C. M. González, L. A. R. Picón, M. I. R. Borbón, H. Sohn, The Chen–Perks distribution: Properties and reliability applications, Mathematics, 11 (2023), 3001. http://dx.doi.org/10.3390/math11133001 doi: 10.3390/math11133001
    [8] B. Abba, H. Wang, M. Muhammad, H. S. Bakouch, A robust bathtub-shaped failure time model for a two-component system with applications to complete and censored reliability data, Qual. Technol. Quant. M., 21 (2024), 309–339. http://dx.doi.org/10.1080/16843703.2023.2193771 doi: 10.1080/16843703.2023.2193771
    [9] A. U. Abdullahi, H. Wang, Y. Liu, Y. Qin, Robust failure time model with Bayesian inference and its application to reliability analysis, Qual. Reliab. Eng. Int., 2025. http://dx.doi.org/10.1002/qre.3821
    [10] R. Jiang, D. N. P. Murthy, Reliability modeling involving two Weibull distributions, Reliab. Eng. Syst. Saf., 47 (1995), 187–198. http://dx.doi.org/10.1016/0951-8320(94)00045-P doi: 10.1016/0951-8320(94)00045-P
    [11] S. J. Almalki, J. Yuan, A new modified Weibull distribution, Reliab. Eng. Syst. Saf., 111 (2013), 164–170. http://dx.doi.org/10.1016/j.ress.2012.10.018 doi: 10.1016/j.ress.2012.10.018
    [12] B. Tarvirdizade, M. Ahmadpour, A new extension of Chen distribution with applications to lifetime data, Commun. Math. Stat., 9 (2021), 23–38. http://dx.doi.org/10.1007/s40304-019-00185-4 doi: 10.1007/s40304-019-00185-4
    [13] T. T. Thach, R. Bris, An additive Chen–Weibull distribution and its applications in reliability modeling, Qual. Reliab. Eng. Int., 37 (2021), 352–373. http://dx.doi.org/10.1002/qre.2740 doi: 10.1002/qre.2740
    [14] B. Abba, H. Wang, A new failure times model for one and two failure modes system: A Bayesian study with Hamiltonian Monte Carlo simulation, Proc. I. Mech. Eng. O-J. Risk Reliab., 238 (2024), 304–323. http://dx.doi.org/10.1177/1748006X221146367 doi: 10.1177/1748006X221146367
    [15] B. Abba, J. Wu, M. Muhammad, A robust multi-risk model and its reliability relevance: A Bayes study with Hamiltonian Monte Carlo methodology, Reliab. Eng. Syst. Saf., 250 (2024), 110310. http://dx.doi.org/10.1016/j.ress.2024.110310 doi: 10.1016/j.ress.2024.110310
    [16] N. Metropolis, A. W. Rosenbluth, M. N. Rosenbluth, A. H. Teller, E. Teller, Equation of state calculations by fast computing machines, J. Chem. Phys., 21 (1953), 1087–1092. http://dx.doi.org/10.1063/1.1699114 doi: 10.1063/1.1699114
    [17] W. K. Hastings, Monte Carlo sampling methods using Markov chains and their applications, Biometrika, 57 (1970), 97–109. http://dx.doi.org/10.1093/biomet/57.1.97 doi: 10.1093/biomet/57.1.97
    [18] A. E. Gelfand, Gibbs sampling, J. Amer. Statist. Assoc., 95 (2000), 1300–1304. https://doi.org/10.2307/2669775 doi: 10.2307/2669775
    [19] R. M. Neal, MCMC using Hamiltonian dynamics, In: S. Brooks, A. Gelman, G. Jones, et al., Eds., Handbook of Markov Chain Monte Carlo, Florida: CRC Press, 2011,113–162.
    [20] M. D. Hoffman, A. Gelman, The No-U-Turn sampler: Adaptively setting path lengths in Hamiltonian Monte Carlo, J. Mach. Learn. Res., 15 (2014), 1593–1623.
    [21] M. Nishio, A. Arakawa, Performance of Hamiltonian Monte Carlo and No-U-Turn sampler for estimating genetic parameters and breeding values, Genet. Sel. Evol., 51 (2019). https://doi.org/10.1186/s12711-019-0515-1 doi: 10.1186/s12711-019-0515-1
    [22] L. Devlin, M. Carter, P. R. Horridge, P. L. Green, S. Maskell, The No-U-Turn sampler as a proposal distribution in a sequential Monte Carlo sampler without accept/reject, IEEE Signal Proc. Let., 31 (2024), 1089–1093. https://doi.org/10.1109/LSP.2024.3386494 doi: 10.1109/LSP.2024.3386494
    [23] D. Levy, M. D. Hoffman, J. Sohl-Dickstein, Generalizing Hamiltonian Monte Carlo with neural networks, arXiv Preprint, 2018. http://dx.doi.org/10.48550/arXiv.1711.09268
    [24] X. Meng, J. L. Beck, Y. Huang, H. Li, Adaptive meta-learning stochastic gradient Hamiltonian Monte Carlo simulation for Bayesian updating of structural dynamic models, Comput. Method. Appl. M., 437 (2025), 117753. https://doi.org/10.1016/j.cma.2025.117753 doi: 10.1016/j.cma.2025.117753
    [25] M. Xie, Y. Tang, T. N. Goh, A modified Weibull extension with bathtub-shaped failure rate function, Reliab. Eng. Syst. Saf., 76 (2002), 279–285. https://doi.org/10.1016/S0951-8320(02)00022-4 doi: 10.1016/S0951-8320(02)00022-4
    [26] C. D. Lai, M. Xie, D. N. P. Murthy, A modified Weibull distribution, IEEE T. Reliab., 52 (2003), 33–37. https://doi.org/10.1109/TR.2002.805788 doi: 10.1109/TR.2002.805788
    [27] M. G. M. Ghazal, A new extension of the modified Weibull distribution with applications for engineering data, Probabilist. Eng. Mech., 74 (2023), 103523. https://doi.org/10.1016/j.probengmech.2023.103523 doi: 10.1016/j.probengmech.2023.103523
    [28] A. M. Sarhan, J. Apaloo, Exponentiated modified Weibull extension distribution, Reliab. Eng. Syst. Saf., 112 (2013), 137–144. https://doi.org/10.1016/j.ress.2012.10.013 doi: 10.1016/j.ress.2012.10.013
    [29] M. K. Shakhatreh, A. J. Lemonte, G. M. Cordeiro, On the generalized extended exponential–Weibull distribution: Properties and different methods of estimation, Int. J. Comput. Math., 97 (2020), 1029–1057. https://doi.org/10.1080/00207160.2019.1605062 doi: 10.1080/00207160.2019.1605062
    [30] B. He, W. Cui, X. Du, An additive modified Weibull distribution, Reliab. Eng. Syst. Saf., 145 (2016), 28–37. http://dx.doi.org/10.1016/j.ress.2015.08.010 doi: 10.1016/j.ress.2015.08.010
    [31] N. Doganaksoy, G. Hahn, W. Meeker, Reliability analysis by failure mode, Qual. Prog., 35 (2002), 47–52.
    [32] M. V. Aarset, How to identify a bathtub hazard rate, IEEE T. Reliab., R-36 (1987), 106–108. http://dx.doi.org/10.1109/TR.1987.5222310 doi: 10.1109/TR.1987.5222310
    [33] Z. Tang, W. Zhou, J. Zhao, D. Wang, L. Zhang, H. Liu, et al., Comparison of the Weibull and the Crow–AMSAA model in prediction of early cable joint failures, IEEE T. Power Deliver., 30 (2015), 2410–2418. http://dx.doi.org/10.1109/TPWRD.2015.2404926 doi: 10.1109/TPWRD.2015.2404926
  • Reader Comments
  • © 2026 the Author(s), licensee AIMS Press. This is an open access article distributed under the terms of the Creative Commons Attribution License (http://creativecommons.org/licenses/by/4.0)
通讯作者: 陈斌, bchen63@163.com
  • 1. 

    沈阳化工大学材料科学与工程学院 沈阳 110142

  1. 本站搜索
  2. 百度学术搜索
  3. 万方数据库搜索
  4. CNKI搜索

Metrics

Article views(306) PDF downloads(34) Cited by(0)

Article outline

Figures and Tables

Figures(22)  /  Tables(15)

Other Articles By Authors

/

DownLoad:  Full-Size Img  PowerPoint
Return
Return

Catalog