Research article

Comparative symmetry analysis and qualitative properties of impulsive multi-delay systems across a family of power Caputo fractional kernels

  • Published: 15 April 2026
  • MSC : 34A08, 34K20, 34K45, 47H10

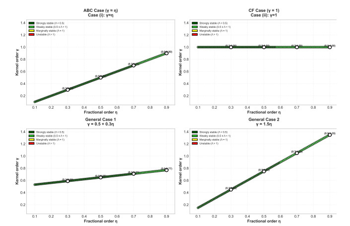
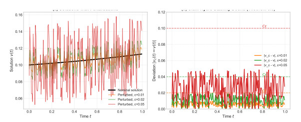
  • In this study, we perform a comparative symmetry analysis and investigate the qualitative properties of a nonlinear impulsive fractional differential system with multiple delays and nonlocal boundary conditions. By utilizing the generalized power Caputo fractional derivative, we present a unified theoretical framework that encompasses several operators—including the Atangana-Baleanu, Caputo-Fabrizio, and weighted Hattaf derivatives—as special cases. This generality guarantees that our findings are relevant to a range of fractional kernels, emphasizing the inherent symmetry characteristics of these operators. We establish adequate criteria for the existence and uniqueness of solutions through fixed-point theory. We also show that the system is Ulam-Hyers stable, an important property for maintaining its strength in the face of change. A convergent numerical scheme confirms the theoretical results, and a sensitivity analysis demonstrates the effect of kernel symmetry on stability margins. The networked control system application shows how useful the framework is in real life. The results show that the framework can include complex genetic phenomena and spontaneous interactions that are often ignored in traditional models.

    Citation: Yasir A. Madani, Mohammed Almalahi, Bakri Younis, Alawia Adam, Nidal Eljaneid, Khaled Aldwoah, Amer Alsulami. Comparative symmetry analysis and qualitative properties of impulsive multi-delay systems across a family of power Caputo fractional kernels[J]. AIMS Mathematics, 2026, 11(4): 10372-10399. doi: 10.3934/math.2026428

    Related Papers:

  • In this study, we perform a comparative symmetry analysis and investigate the qualitative properties of a nonlinear impulsive fractional differential system with multiple delays and nonlocal boundary conditions. By utilizing the generalized power Caputo fractional derivative, we present a unified theoretical framework that encompasses several operators—including the Atangana-Baleanu, Caputo-Fabrizio, and weighted Hattaf derivatives—as special cases. This generality guarantees that our findings are relevant to a range of fractional kernels, emphasizing the inherent symmetry characteristics of these operators. We establish adequate criteria for the existence and uniqueness of solutions through fixed-point theory. We also show that the system is Ulam-Hyers stable, an important property for maintaining its strength in the face of change. A convergent numerical scheme confirms the theoretical results, and a sensitivity analysis demonstrates the effect of kernel symmetry on stability margins. The networked control system application shows how useful the framework is in real life. The results show that the framework can include complex genetic phenomena and spontaneous interactions that are often ignored in traditional models.



    加载中


    [1] A. Bonfanti, J. Kaplan, G. Charras, A. Kabla, Fractional viscoelastic models for power-law materials, Soft Matter, 16 (2020), 6002–6020. https://doi.org/10.1039/D0SM00354A doi: 10.1039/D0SM00354A
    [2] M. Shitikova, Fractional operator viscoelastic models in dynamic problems of mechanics of solids: a review, Mech. Solids, 57 (2022), 1–33. https://doi.org/10.3103/S0025654422010022 doi: 10.3103/S0025654422010022
    [3] R. Metzler, J. Klafter, The random walk's guide to anomalous diffusion: a fractional dynamics approach, Phys. Rep., 339 (2000), 1–77. https://doi.org/10.1016/S0370-1573(00)00070-3 doi: 10.1016/S0370-1573(00)00070-3
    [4] W. Wang, R. Metzler, A. Cherstvy, Anomalous diffusion, aging, and nonergodicity of scaled Brownian motion with fractional Gaussian noise: overview of related experimental observations and models, Phys. Chem. Chem. Phy., 24 (2022), 18482–18504. https://doi.org/10.1039/D2CP01741E doi: 10.1039/D2CP01741E
    [5] D. Tong, B. Ma, Q. Chen, Y. Wei, P. Shi, Finite-time synchronization and energy consumption prediction for multilayer fractional-order networks, IEEE Trans. Circuits II, 70 (2023), 2176–2180. https://doi.org/10.1109/TCSII.2022.3233420 doi: 10.1109/TCSII.2022.3233420
    [6] E. Kharazmi, M. Cai, X. Zheng, Z. Zhang, G. Lin, G. Karniadakis, Identifiability and predictability of integer-and fractional-order epidemiological models using physics-informed neural networks, Nat. Comput. Sci., 1 (2021), 744–753. https://doi.org/10.1038/s43588-021-00158-0 doi: 10.1038/s43588-021-00158-0
    [7] F. Gassem, M. Almalahi, M. Rabih, M. Juma, A. Awaad, A. Tedjani, et al., Stability and controllability of coupled neutral impulsive $\varrho$-fractional system with mixed delays, Fractal Fract., 10 (2026), 192. https://doi.org/10.3390/fractalfract10030192 doi: 10.3390/fractalfract10030192
    [8] A. Kilbas, H. Srivastava, J. Trujillo, Theory and applications of fractional differential equations, Amsterdam: Elsevier, 2006.
    [9] I. Podlubny, Fractional differential equations: an introduction to fractional derivatives, fractional differential equations, to methods of their solution and some of their applications, Manhattan: Academic Press, 1998.
    [10] M. Caputo, M. Fabrizio, A new definition of fractional derivative without singular kernel, Progr. Fract. Differ. Appl., 1 (2015), 73–85. https://doi.org/10.12785/pfda/010201 doi: 10.12785/pfda/010201
    [11] A. Atangana, D. Baleanu, New fractional derivatives with nonlocal and non-singular kernel: Theory and application to heat transfer model, Therm. Sci., 20 (2016), 763–769. https://doi.org/10.2298/TSCI160111018A doi: 10.2298/TSCI160111018A
    [12] E. Lotfi, H. Zine, D. Torres, N. Yousfi, The power fractional calculus: first definitions and properties with applications to power fractional differential equations, Mathematics, 10 (2022), 3594. https://doi.org/10.3390/math10193594 doi: 10.3390/math10193594
    [13] Z. Yu, Y. Sun, X. Dai, Stability and stabilization of the fractional-order power system with time delay, IEEE Trans. Circuits II, 68 (2021), 3446–3450. https://doi.org/10.1109/TCSII.2021.3069323 doi: 10.1109/TCSII.2021.3069323
    [14] A. Selvam, V. Govindaraj, Investigation of controllability and stability of fractional dynamical systems with delay in control, Math. Comput. Simulat., 220 (2024), 89–104. https://doi.org/10.1016/j.matcom.2024.01.011 doi: 10.1016/j.matcom.2024.01.011
    [15] P. Gokul, G. Soundararajan, A. Kashkynbayev, R. Rakkiyappan, Finite-time contractive stability for fractional-order nonlinear systems with delayed impulses: applications to neural networks, Neurocomputing, 610 (2024), 128599. https://doi.org/10.1016/j.neucom.2024.128599 doi: 10.1016/j.neucom.2024.128599
    [16] L. Luo, L. Li, J. Cao, M. Abdel-Aty, Fractional exponential stability of nonlinear conformable fractional-order delayed systems with delayed impulses and its application, J. Franklin Ins., 362 (2025), 107353. https://doi.org/10.1016/j.jfranklin.2024.107353 doi: 10.1016/j.jfranklin.2024.107353
    [17] K. Priyendhu, P. Prakash, M. Lakshmanan, On the solutions of coupled nonlinear time-fractional diffusion-reaction system with time delays, Eur. Phys. J. Spec. Top., 234 (2025), 2171–2189. https://doi.org/10.1140/epjs/s11734-024-01190-7 doi: 10.1140/epjs/s11734-024-01190-7
    [18] J. Wang, M. Fec, Y. Zhou, Ulam's type stability of impulsive ordinary differential equations, J. Math. Anal. Appl., 395 (2012), 258–264. https://doi.org/10.1016/j.jmaa.2012.05.040 doi: 10.1016/j.jmaa.2012.05.040
    [19] A. Zada, S. Faisal, Y. Li, On the Hyers‐Ulam stability of first‐order impulsive delay differential equations, J. Funct. Space., 2016 (2016), 8164978. https://doi.org/10.1155/2016/8164978 doi: 10.1155/2016/8164978
    [20] C. Tunç, O. Tunç, On the Ulam-type stability of impulsive differential equations with multiple time delays, Arab Journal of Basic and Applied Sciences, 32 (2025), 490–504. https://doi.org/10.1080/25765299.2025.2588901 doi: 10.1080/25765299.2025.2588901
    [21] B. Han, B. Zhu, Existence and stability of mixed type Hilfer fractional differential equations with impulses and time delay, Results in Applied Mathematics, 28 (2025), 100653. https://doi.org/10.1016/j.rinam.2025.100653 doi: 10.1016/j.rinam.2025.100653
    [22] M. Almalahi, S. Panchal, Some properties of implicit impulsive coupled system via $\varphi$-Hilfer fractional operator, Bound. Value Probl., 2021 (2021), 67. https://doi.org/10.1186/s13661-021-01543-4 doi: 10.1186/s13661-021-01543-4
    [23] M. Ali, S. Thabet, T. Abdeljawad, I. Kedim, New results on an impulsive differential equation involving a q-analogue of the $\psi$-Caputo fractional derivative, Bound. Value Problems, 2025 (2025), 139. https://doi.org/10.1186/s13661-025-02133-4 doi: 10.1186/s13661-025-02133-4
    [24] A. Salim, S. Thabet, I. Kedim, M. Vivas-Cortez, On the nonlocal hybrid ($k, \varphi$)-Hilfer inverse problem with delay and anticipation, AIMS Mathematics, 9 (2024), 22859–22882. https://doi.org/10.3934/math.20241112 doi: 10.3934/math.20241112
    [25] A. Zada, U. Riaz, J. Jamshed, M. Alam, A. Kallekh, Analysis of impulsive Caputo fractional integro‐differential equations with delay, Math. Method. Appl. Sci., 48 (2025), 2102–2121. https://doi.org/10.1002/mma.10426 doi: 10.1002/mma.10426
    [26] M. Almalahi, H. Saber, A. Moumen, E. Ali, K. Aldwoah, M. Hassan, et al., Application of Perov fixed point on modified ABC coupled model of impulsive equations in high-fractional order, Fractals, 33 (2025), 2540098. https://doi.org/10.1142/S0218348X25400985 doi: 10.1142/S0218348X25400985
    [27] Z. Cui, Z. Zhou, Existence of solutions for Caputo fractional delay differential equations with nonlocal and integral boundary conditions, Fixed Point Theory Algorithms Sci. Eng., 2023 (2023), 1. https://doi.org/10.1186/s13663-022-00738-3 doi: 10.1186/s13663-022-00738-3
    [28] M. Algolam, M. Almalahi, K. Aldwoah, A. Awaad, M. Suhail, F. Alshammari, et al., Theoretical and numerical analysis of the SIR model and its symmetric cases with power Caputo fractional derivative, Fractal Fract., 9 (2025), 251. https://doi.org/10.3390/fractalfract9040251 doi: 10.3390/fractalfract9040251
    [29] S. Naveen, V. Parthiban, Application of Newton's polynomial interpolation scheme for variable order fractional derivative with power-law kernel, Sci. Rep., 14 (2024), 16090. https://doi.org/10.1038/s41598-024-66494-z doi: 10.1038/s41598-024-66494-z
    [30] W. Sawangtong, P. Dunnimit, B. Wiwatanapataphee, P. Sawangtong, An analytical solution to the time fractional Navier-Stokes equation based on the Katugampola derivative in Caputo sense by the generalized Shehu residual power series approach, Partial Differential Equations in Applied Mathematics, 11 (2024), 100890. https://doi.org/10.1016/j.padiff.2024.100890 doi: 10.1016/j.padiff.2024.100890
    [31] M. Al-Refai, A. Jarrah, Fundamental results on weighted Caputo-Fabrizio fractional derivative, Chaos Soliton. Fract., 126 (2019), 7–11. https://doi.org/10.1016/j.chaos.2019.05.035 doi: 10.1016/j.chaos.2019.05.035
    [32] K. Hattaf, On some properties of the new generalized fractional derivative with non‐singular kernel, Math. Probl. Eng., 2021 (2021), 1580396. https://doi.org/10.1155/2021/1580396 doi: 10.1155/2021/1580396
  • Reader Comments
  • © 2026 the Author(s), licensee AIMS Press. This is an open access article distributed under the terms of the Creative Commons Attribution License (http://creativecommons.org/licenses/by/4.0)
通讯作者: 陈斌, bchen63@163.com
  • 1. 

    沈阳化工大学材料科学与工程学院 沈阳 110142

  1. 本站搜索
  2. 百度学术搜索
  3. 万方数据库搜索
  4. CNKI搜索

Metrics

Article views(202) PDF downloads(29) Cited by(0)

Article outline

Figures and Tables

Figures(7)  /  Tables(3)

/

DownLoad:  Full-Size Img  PowerPoint
Return
Return

Catalog