Research article

Dynamics, bifurcation, and chaos control in a fractional-order discrete multi-team predator–prey model

  • Published: 10 April 2026
  • MSC : 39A30, 37G15

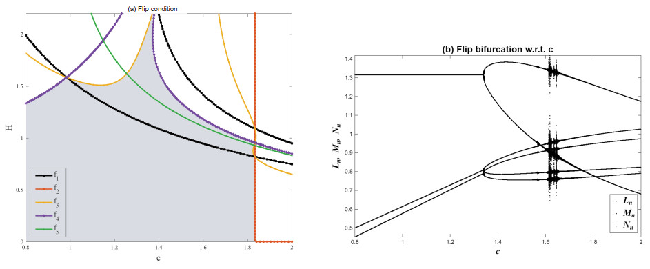
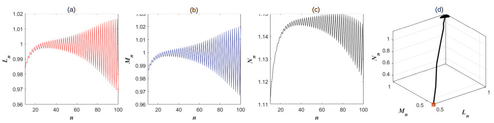
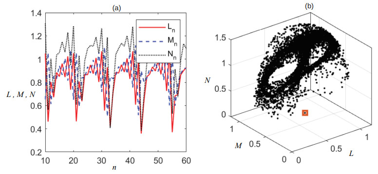
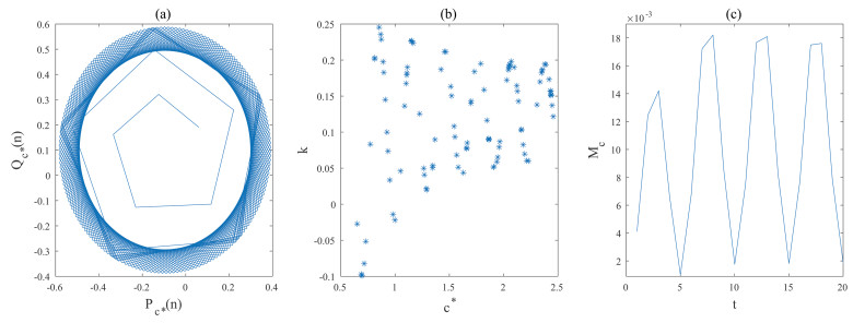
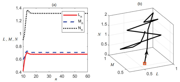
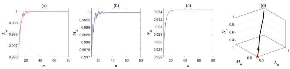
  • In this paper, a discrete-time fractional-order multi-team predator–prey model derived from a Caputo-type fractional framework was proposed and analyzed. The model describes the nonlinear interactions between two cooperating prey populations and a common predator species, where the fractional-order parameter modulates the influence of past states through the fractional discrete formulation. An algebraic stability criterion based on the characteristic polynomial coefficients of the Jacobian matrix was employed to investigate the local asymptotic stability of the coexistence equilibrium without relying on explicit eigenvalue computations. The necessary and sufficient analytical conditions for the occurrence of flip and Neimark–Sacker (NS) bifurcations were derived, and the associated codimension-two flip–NS bifurcation was rigorously characterized. Numerical simulations validated the theoretical results and revealed complex dynamical behaviors, including periodic oscillations, quasiperiodicity, and chaos. To suppress unstable oscillations, three chaos control strategies—Ott–Grebogi–Yorke (OGY) feedback control, hybrid control, and state feedback control—were implemented. A systematic quantitative comparison based on convergence speed, control effort, and stabilization robustness was conducted to evaluate their relative performance and to clarify their ecological management implications. The results showed that the fractional-order parameter significantly affects stability thresholds and bifurcation organization, thereby reshaping the qualitative structure of population dynamics. These findings highlight the regulatory role of fractional-order effects in discrete ecological systems and provide a rigorous framework for stability analysis and controlled ecosystem management.

    Citation: Mahmoud A. M. Abdelaziz, Elhadi E. Elamir, Ibrahim M. E. Abdelsatar, A. A. Al Qarni, Manal Alqhtani, Montaser O. S. Hilal, A. A. Elsadany. Dynamics, bifurcation, and chaos control in a fractional-order discrete multi-team predator–prey model[J]. AIMS Mathematics, 2026, 11(4): 9587-9611. doi: 10.3934/math.2026397

    Related Papers:

  • In this paper, a discrete-time fractional-order multi-team predator–prey model derived from a Caputo-type fractional framework was proposed and analyzed. The model describes the nonlinear interactions between two cooperating prey populations and a common predator species, where the fractional-order parameter modulates the influence of past states through the fractional discrete formulation. An algebraic stability criterion based on the characteristic polynomial coefficients of the Jacobian matrix was employed to investigate the local asymptotic stability of the coexistence equilibrium without relying on explicit eigenvalue computations. The necessary and sufficient analytical conditions for the occurrence of flip and Neimark–Sacker (NS) bifurcations were derived, and the associated codimension-two flip–NS bifurcation was rigorously characterized. Numerical simulations validated the theoretical results and revealed complex dynamical behaviors, including periodic oscillations, quasiperiodicity, and chaos. To suppress unstable oscillations, three chaos control strategies—Ott–Grebogi–Yorke (OGY) feedback control, hybrid control, and state feedback control—were implemented. A systematic quantitative comparison based on convergence speed, control effort, and stabilization robustness was conducted to evaluate their relative performance and to clarify their ecological management implications. The results showed that the fractional-order parameter significantly affects stability thresholds and bifurcation organization, thereby reshaping the qualitative structure of population dynamics. These findings highlight the regulatory role of fractional-order effects in discrete ecological systems and provide a rigorous framework for stability analysis and controlled ecosystem management.



    加载中


    [1] A. Suryanto, I. Darti, E. Cahyono, Bifurcation analysis and chaos control of a discrete–time fractional-order predator–prey model with Holling type Ⅱ functional response and harvesting, Chaos Theory Appl., 7 (2025), 87–98. https://doi.org/10.51537/chaos.1581247 doi: 10.51537/chaos.1581247
    [2] S. H. Strogatz, Nonlinear dynamics and chaos, With Applications to Physics, Biology, Chemistry, and Engineering, 2 Eds., Westview Press, 2015. https://doi.org/10.1201/9780429492563
    [3] L. J. Ontañón-García, J. G. Barajas-Ramírez, E. Campos-Cantón, D. A. Magallón-García, C. A. Guerra-García, J. R. Cuesta-García, et al., Algorithm for generating bifurcation diagrams using Poincaré intersection plane, Mathematics, 13 (2025), 1818. https://doi.org/10.3390/math13111818 doi: 10.3390/math13111818
    [4] M. C. Köhnke, I. Siekmann, H. Malchow, Taxis-driven pattern formation in a predator-prey model with group defense, Ecol. Complex., 43 (2020), 100848. https://doi.org/10.1016/j.ecocom.2020.100848 doi: 10.1016/j.ecocom.2020.100848
    [5] Y. Du, B. Niu, J. Wei, A predator–prey model with cooperative hunting in the predator and group defense in the prey, Discrete Contin. Dyn. Syst. Ser. B, 27 (2022), 5845–5881. https://doi.org/10.3934/dcdsb.2021298 doi: 10.3934/dcdsb.2021298
    [6] Y. Enatsu, J. Roy, M. Banerjee, Hunting cooperation in a prey–predator model with maturation delay, J. Biol. Dyn., 18 (2024), 2332279. https://doi.org/10.1080/17513758.2024.2332279 doi: 10.1080/17513758.2024.2332279
    [7] E. A. McGehee, N. Schutt, D. A. Vasquez, E. Peacock-Lopez, Bifurcations, and temporal and spatial patterns of a modified Lotka–Volterra model, Int. J. Bifurcation Chaos, 18 (2008), 2223–2248. https://doi.org/10.1142/S0218127408021671 doi: 10.1142/S0218127408021671
    [8] M. F. Elettreby, Two-prey one-predator model, Chaos Soliton. Fract., 39 (2009), 2018–2027. https://doi.org/10.1016/j.chaos.2007.06.058
    [9] M. A. M. Abdelaziz, A. I. Ismail, F. A. Abdullah, M. H. Mohd, Discrete-time fractional order SIR epidemic model with saturated treatment function, Int. J. Nonlinear Sci. Numer. Simul., 21 (2020), 397–424. https://doi.org/10.1515/ijnsns-2019-0068 doi: 10.1515/ijnsns-2019-0068
    [10] J. Roy, S. Dey, B. W. Kooi, M. Banerjee, Prey group defense and hunting cooperation among generalist-predators induce complex dynamics: a mathematical study, J. Math. Biol., 89 (2024), 22. https://doi.org/10.1007/s00285-024-02121-9 doi: 10.1007/s00285-024-02121-9
    [11] H. Chen, M. Liu, X. Xu, Dynamics of a prey–predator model with group defense for prey, cooperative hunting for predator, and Lévy jump, Axioms, 12 (2023), 878. https://doi.org/10.3390/axioms12090878 doi: 10.3390/axioms12090878
    [12] S. Patnaik, J. P. Hollkamp, F. Semperlotti, Applications of variable-order fractional operators: a review, Proc. R. Soc. A, 476 (2020), 20190498. https://doi.org/10.1098/rspa.2019.0498 doi: 10.1098/rspa.2019.0498
    [13] Q. Din, Stability, bifurcation analysis and chaos control for a predator–prey system, J. Vib. Control, 25 (2019), 612–626. https://doi.org/10.1177/1077546318790871 doi: 10.1177/1077546318790871
    [14] A. Deshpande, V. Daftardar-Gejji, Chaos in discrete fractional difference equations, Pramana – J. Phys., 87 (2025), 49. https://doi.org/10.1007/s12043-016-1231-9 doi: 10.1007/s12043-016-1231-9
    [15] J. Tenreiro Machado, V. Kiryakova, F. Mainardi, Recent history of fractional calculus, Commun. Nonlinear Sci. Numer. Simul., 16 (2011), 1140–1153. https://doi.org/10.1016/j.cnsns.2010.05.027 doi: 10.1016/j.cnsns.2010.05.027
    [16] C. Li, F. Zeng, Numerical methods for fractional calculus, 1 Ed., Chapman and Hall/CRC, 2015. https://doi.org/10.1201/b18503
    [17] K. Diethelm, The analysis of fractional differential equations, An Application-Oriented Exposition Using Differential Operators of Caputo Type, Vol. 200, Springer Berlin, 2010. https://doi.org/10.1007/978-3-642-14574-2
    [18] M. Singh, M. P. Singh, M. Tamsir, M. Asif, Analysis of fractional-order nonlinear dynamical systems by using different techniques, Int. J. Appl. Comput. Math., 11 (2025), 47. https://doi.org/10.1007/s40819-025-01865-2 doi: 10.1007/s40819-025-01865-2
    [19] L. Li, J. G. Liu, A generalized definition of Caputo derivatives and its application to fractional ODEs, SIAM J. Math. Anal., 50 (2018), 2867–2900. https://doi.org/10.1137/17M1160318 doi: 10.1137/17M1160318
    [20] E. Rahmi, N. Anggriani, H. S. Panigoro, O. J. Peter, A fractional-order approach to predator–prey interactions: Modeling fear and disease dynamics with memory effects, PLoS One, 21 (2026), e0339351. https://doi.org/10.1371/journal.pone.0339351 doi: 10.1371/journal.pone.0339351
    [21] C. Ionescu, A. Lopes, D. Copot, J. A. T. Machado, J. H. T. Bates, The role of fractional calculus in modeling biological phenomena: a review, Commun. Nonlinear Sci. Numer. Simul., 51 (2017), 141–159. https://doi.org/10.1016/j.cnsns.2017.04.001 doi: 10.1016/j.cnsns.2017.04.001
    [22] R. Hilfer, Applications of fractional calculus in physics, World Scientific, 2000. https://doi.org/10.1142/3779
    [23] M. Rayungsari, A. Suryanto, W. M. Kusumawinahyu, I. Darti, Dynamics analysis of a predator–prey fractional-order model incorporating predator cannibalism and refuge, Front. Appl. Math. Stat., 9 (2023), 1122330. https://doi.org/10.3389/fams.2023.1122330 doi: 10.3389/fams.2023.1122330
    [24] M. Caputo, Linear models of dissipation whose $Q$ is almost frequency independent–Ⅱ, Geophys. J. Int., 13 (1967), 529–539. https://doi.org/10.1111/j.1365-246X.1967.tb02303.x doi: 10.1111/j.1365-246X.1967.tb02303.x
    [25] M. A. Abdelaziz, A. I. Ismail, F. A. Abdullah, M. H. Mohd, Bifurcations and chaos in a discrete SI epidemic model with fractional order, Adv. Differ. Equ., 2018 (2018), 44. https://doi.org/10.1186/s13662-018-1481-6 doi: 10.1186/s13662-018-1481-6
    [26] S. Salahshour, T. Allahviranloo, S. Abbasbandy, D. Baleanu, Existence and uniqueness results for fractional differential equations with uncertainty, Adv. Differ. Equ., 2012 (2012), 112. https://doi.org/10.1186/1687-1847-2012-112 doi: 10.1186/1687-1847-2012-112
    [27] Y. Kao, C. Wang, H. Xia, Y. Cao, Analysis and control for fractional-order systems, Singapore: Springer, 2024. https://doi.org/10.1007/978-981-99-6054-5
    [28] I. Alraddadi, R. Perumal, R. Ahmed, J. Khan, Y. Lee, Stability and bifurcation analysis of a fractional-order prey–predator model with ratio-dependent functional response, AIMS Math., 11 (2026), 1412–1448. https://doi.org/10.3934/math.2026060 doi: 10.3934/math.2026060
    [29] A. A. Elsadany, Y. Sabbar, W. Adel, A. El-Mesady, Dynamics of a novel discrete fractional model for maize streak epidemics with linear control, Int. J. Dyn. Control, 13 (2025), 5. https://doi.org/10.1007/s40435-024-01509-1 doi: 10.1007/s40435-024-01509-1
    [30] S. Elaydi, An introduction to difference equations, 3 Eds., New York: Springer, 2005. https://doi.org/10.1007/0-387-27602-5
    [31] S. Wiggins, Introduction to applied nonlinear dynamical systems and chaos, Vol. 2, New York: Springer, 2003. https://doi.org/10.1007/b97481
    [32] L. E. Garza, N. Martínez, G. Romero, New stability criteria for discrete linear systems based on orthogonal polynomials, Mathematics, 8 (2020), 1322. https://doi.org/10.3390/math8081322 doi: 10.3390/math8081322
    [33] Q. Din, A. A. Elsadany, H. Khalil, Neimark–Sacker bifurcation and chaos control in a fractional-order plant–herbivore model, Discrete Dyn. Nat. Soc., 2017 (2017), 6312964. https://doi.org/10.1155/2017/6312964 doi: 10.1155/2017/6312964
    [34] H. Kielhöfer, Bifurcation theory, Springer, New York, 2012. https://doi.org/10.1007/978-1-4614-0502-3
    [35] S. F. Aldosary, R. Ahmed, Stability and bifurcation analysis of a discrete Leslie predator-prey system via piecewise constant argument method, AIMS Math., 9 (2024), 4684–4706. https://doi.org/10.3934/math.2024226 doi: 10.3934/math.2024226
    [36] A. Al Khabyah, R. Ahmed, M. S. Akram, S. Akhtar, Stability, bifurcation, and chaos control in a discrete predator-prey model with strong Allee effect, AIMS Math., 8 (2023), 8060–8081. https://doi.org/10.3934/math.2023408 doi: 10.3934/math.2023408
    [37] S. Shoyimardonov, Neimark-Sacker bifurcation and stability analysis in a discrete phytoplankton-zooplankton system with Holling type Ⅱ functional response, J. Appl. Anal. Comput., 13 (2023), 2048–2064. https://doi.org/10.11948/20220345 doi: 10.11948/20220345
    [38] B. Xie, Z. Zhang, N. Zhang, Dynamic analysis of a fractional-order three-dimensional predator–prey system with competitive and fear effects, Nonlinear Dyn., 113 (2025), 26949–26979. https://doi.org/10.1007/s11071-025-11499-0 doi: 10.1007/s11071-025-11499-0
    [39] M. A. M. Abdelaziz, A. I. Ismail, F. A. Abdullah, M. H. Mohd, Codimension one and two bifurcations of a discrete–time fractional-order SEIR measles epidemic model with constant vaccination, Chaos Soliton. Fract., 140 (2020), 110104. https://doi.org/10.1016/j.chaos.2020.110104 doi: 10.1016/j.chaos.2020.110104
    [40] R. Saadeh, A. Abbes, A. Al-Husban, A. Ouannas, G. Grassi, The fractional discrete predator–prey model: chaos, control and synchronization, Fractal Fract., 7 (2023), 120. https://doi.org/10.3390/fractalfract7020120 doi: 10.3390/fractalfract7020120
    [41] E. Ott, C. Grebogi, J. A. Yorke, Controlling chaos, Phys. Rev. Lett., 64 (1990), 1196–1199. https://doi.org/10.1103/PhysRevLett.64.1196
    [42] X. S. Luo, G. Chen, B. H. Wang, J. Q. Fang, Hybrid control of period-doubling bifurcation and chaos in discrete nonlinear dynamical systems, Chaos Soliton. Fract., 18 (2003), 775–783. https://doi.org/10.1016/S0960-0779(03)00028-6 doi: 10.1016/S0960-0779(03)00028-6
    [43] R. Ahmed, M. Rafaqat, I. Siddique, M. A. Arefin, Complex dynamics and chaos control of a discrete-time predator-prey model, Discrete Dyn. Nat. Soc., 2023 (2023), 8873611. https://doi.org/10.1155/2023/8873611 doi: 10.1155/2023/8873611
    [44] G. P. Jiang, W. X. Zheng, A simple method of chaos control for a class of chaotic discrete-time systems, Chaos Soliton. Fract., 23 (2005), 843–849. https://doi.org/10.1016/j.chaos.2004.05.025 doi: 10.1016/j.chaos.2004.05.025
  • Reader Comments
  • © 2026 the Author(s), licensee AIMS Press. This is an open access article distributed under the terms of the Creative Commons Attribution License (http://creativecommons.org/licenses/by/4.0)
通讯作者: 陈斌, bchen63@163.com
  • 1. 

    沈阳化工大学材料科学与工程学院 沈阳 110142

  1. 本站搜索
  2. 百度学术搜索
  3. 万方数据库搜索
  4. CNKI搜索

Metrics

Article views(576) PDF downloads(133) Cited by(0)

Article outline

Figures and Tables

Figures(11)  /  Tables(1)

/

DownLoad:  Full-Size Img  PowerPoint
Return
Return

Catalog