Research article Special Issues

Nonlinear dynamics and intelligent control of a novel 4D chaotic monetary model with expectation index using SRBF neural networks for sustainable economic stability

  • Published: 01 April 2026
  • MSC : 37D45, 37M10, 68T07, 91B62, 93C10

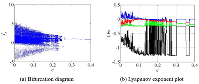
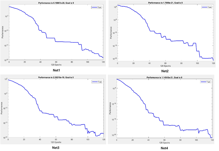
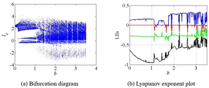
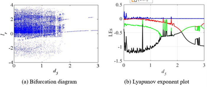
  • In this paper, we proposed and analyzed a novel chaotic monetary model by extending Lazureanu's three-dimensional economic system through the introduction of a fourth state variable, the Expectation Index (Ei), which captures psychological and behavioral dynamics in financial decision-making. The modified system exhibits rich dynamical features such as chaos, multistability, coexisting attractors, and complex bifurcation behavior. Key parameters influencing chaotic regimes were investigated through bifurcation diagrams and Lyapunov exponent spectra. Furthermore, the model's behavior was controlled using amplitude scaling and DC offset boosting techniques without altering its chaotic structure. To suppress chaos and achieve stabilization, a Supervised Radial Basis Function Neural Network (SRBFNN) controller was designed. The SRBFNN was trained using system error signals, achieving extremely low mean squared error (MSE) values: 1.14543×10−21, 1.7698×10−21, 2.38218×10−19, and 6.16987×10−20 across the four networks. Simulation results demonstrated that the SRBFNN effectively eliminates chaotic behavior and drives the system toward desired equilibrium states with high accuracy and stability.

    Citation: Muhamad Deni Johansyah, Bob Foster, Yulian Zifar Ayustira, Rameshbabu Ramar, Seyed Mohammad Hamidzadeh, Aceng Sambas. Nonlinear dynamics and intelligent control of a novel 4D chaotic monetary model with expectation index using SRBF neural networks for sustainable economic stability[J]. AIMS Mathematics, 2026, 11(4): 8903-8925. doi: 10.3934/math.2026367

    Related Papers:

  • In this paper, we proposed and analyzed a novel chaotic monetary model by extending Lazureanu's three-dimensional economic system through the introduction of a fourth state variable, the Expectation Index (Ei), which captures psychological and behavioral dynamics in financial decision-making. The modified system exhibits rich dynamical features such as chaos, multistability, coexisting attractors, and complex bifurcation behavior. Key parameters influencing chaotic regimes were investigated through bifurcation diagrams and Lyapunov exponent spectra. Furthermore, the model's behavior was controlled using amplitude scaling and DC offset boosting techniques without altering its chaotic structure. To suppress chaos and achieve stabilization, a Supervised Radial Basis Function Neural Network (SRBFNN) controller was designed. The SRBFNN was trained using system error signals, achieving extremely low mean squared error (MSE) values: 1.14543×10−21, 1.7698×10−21, 2.38218×10−19, and 6.16987×10−20 across the four networks. Simulation results demonstrated that the SRBFNN effectively eliminates chaotic behavior and drives the system toward desired equilibrium states with high accuracy and stability.



    加载中


    [1] B. Gaies, Exploring the time-varying predictability of global financial instability over the last two decades: the influence of climate change news, J. Econ. Stud., 52 (2025), 904–918. https://doi.org/10.1108/JES-01-2024-0031 doi: 10.1108/JES-01-2024-0031
    [2] T. L. Yang, F. X. Zhou, M. Du, Q. Y. Du, S. R. Zhou, Fluctuation in the global oil market, stock market volatility, and economic policy uncertainty: A study of the US and China, Q. Rev. Econ. Financ., 87 (2023), 377–387. https://doi.org/10.1016/j.qref.2021.08.006 doi: 10.1016/j.qref.2021.08.006
    [3] M. A. Shahmi, Interaction of macroeconomic variable shocks and monetary policy interventions on the profitability of sharia commercial banks in Indonesia, Imara: Jurnal Riset Ekonomi Islam, 7 (2023), 11–19. https://doi.org/10.31958/imara.v7i1.9360 doi: 10.31958/imara.v7i1.9360
    [4] Y. Liu, X. Zhao, Y. Liu, F. J. Kong, The dynamic impact of digital economy on the green development of traditional manufacturing industry: evidence from China, Econ. Anal. Policy, 80 (2023), 143–160. https://doi.org/10.1016/j.eap.2023.08.005 doi: 10.1016/j.eap.2023.08.005
    [5] W. Hynes, B. D. Trump, P. Love, A. Kirman, S. E. Galaitsi, G. Ramos, et al., Resilient financial systems can soften the next global financial crisis, Challenge, 63 (2020), 311–318. https://doi.org/10.1080/05775132.2020.1822660 doi: 10.1080/05775132.2020.1822660
    [6] S. Mohammadi, S. R. Hejazi, H. Saeidi, G. ElahiShirvan. Modeling and optimal control of nonlinear fractional order chaotic system of factors affecting money laundering: genetic algorithms and particle swarm optimization, Appl. Econ., 57 (2025), 3092–3113. https://doi.org/10.1080/00036846.2024.2333713 doi: 10.1080/00036846.2024.2333713
    [7] M. A. Khan, H. Ali, H. Shabbir, F. Noor, M. D. Majid, M. Atif, Impact of macroeconomic indicators on stock market predictions: A cross-country analysis, Journal of Computing & Biomedical Informatics, 8 (2024), 1–13.
    [8] K. Shaurav, A. Deheri, B. N. Rath, Understanding corruption in India: determinants, nonlinear dynamics and policy implications, Int. J. Emerg. Mark., 20 (2025), 3315–3341. https://doi.org/10.1108/IJOEM-08-2023-1273 doi: 10.1108/IJOEM-08-2023-1273
    [9] Q. L. Chen, Z. Sabir, M. Umar, H. M. Baskonus, A Bayesian regularization radial basis neural network novel procedure for the fractional economic and environmental system, Int. J. Comput. Math., 102 (2025), 280–291. https://doi.org/10.1080/00207160.2024.2409794 doi: 10.1080/00207160.2024.2409794
    [10] L. Q. Dinh, T. T. K. Oanh, N. T. H. Ha, Financial stability and sustainable development: perspectives from fiscal and monetary policy, Int. J. Financ. Econ., 30 (2025), 1724–1741. https://doi.org/10.1002/ijfe.2981 doi: 10.1002/ijfe.2981
    [11] S. Mohammadi, S. R. Hejazi, H, Saeidi, G. ElahiShirvan, Modeling and optimal control of nonlinear fractional order chaotic system of factors affecting money laundering: genetic algorithms and particle swarm optimization, Appl. Econ., 57 (2025), 3092–3113. https://doi.org/10.1080/00036846.2024.2333713 doi: 10.1080/00036846.2024.2333713
    [12] D. Schäfer, W. Semmler, Is interest rate hiking a recipe for missing several goals of monetary policy—beating inflation, preserving financial stability, and keeping up output growth, Eurasian Econ. Rev., 14 (2024), 235–254. https://doi.org/10.1007/s40822-023-00256-6 doi: 10.1007/s40822-023-00256-6
    [13] H. El Ouazzani, H. Ouakil, A. Moustabchir, A simulation of the macroeconomic effects of the Russia–Ukraine War on the Moroccan economy using the DSGE model, Afr. Dev. Rev., 36 (2024), S75–S93. https://doi.org/10.1111/1467-8268.12726 doi: 10.1111/1467-8268.12726
    [14] J. W. Liu, L. Ji, Y. A. Sun, Y. H. Chiu, H. X. Zhao, Unleashing the convergence between SDG 9 and SDG 8 towards pursuing SDGs: Evidence from two urban agglomerations in China during the 13th five-year plan, J. Clean. Prod., 434 (2024), 139924. https://doi.org/10.1016/j.jclepro.2023.139924 doi: 10.1016/j.jclepro.2023.139924
    [15] K. M. A. Aziz, A. O. Daoud, A. K. Singh, M. Alhusban, Integrating digital mapping technologies in urban development: Advancing sustainable and resilient infrastructure for SDG 9 achievement–a systematic review, Alex. Eng. J., 116 (2025), 512–524. https://doi.org/10.1016/j.aej.2024.12.078 doi: 10.1016/j.aej.2024.12.078
    [16] N. Amin, A. Sharif, M. Tayyab, Y. C. Pan, Green technological advances and resource rents as levers for carbon reduction in BRICS: implications for SDGs 7, 8, 9, 12, and 13, Sustain. Dev., 33 (2025), 3171–3195. https://doi.org/10.1002/sd.3294 doi: 10.1002/sd.3294
    [17] S. Mariappanadar, Improving quality of work for positive health: interaction of sustainable development goal (SDG) 8 and SDG 3 from the sustainable HRM perspective, Sustainability, 16 (2024), 5356. https://doi.org/10.3390/su16135356 doi: 10.3390/su16135356
    [18] S. Bouali, The hunt hypothesis and the dividend policy of the firm. The chaotic motion of the profits, 8th International Conference of the Society for Computational Economics Computing in Economics and Finance, Aixen Provence, France, 2002, 27–29.
    [19] C. Lazureanu, Chaotic behavior of an integrable deformation of a nonlinear monetary system. AIP Conf. Proc., 2116 (2019), 370004. https://doi.org/10.1063/1.5114377 doi: 10.1063/1.5114377
    [20] M. D. Johansyah, A. Sambas, S. Qureshi, S. Zheng, T. M. Abed-Elhameed, S. Vaidyanathan, et al., Investigation of the hyperchaos and control in the fractional order financial system with profit margin, Partial Differential Equations in Applied Mathematics, 9 (2024), 100612. https://doi.org/10.1016/j.padiff.2023.100612 doi: 10.1016/j.padiff.2023.100612
    [21] M. Qayyum, E. Ahmad, S. T. Saeed, A. Akgül, S. M. El Din, New solutions of fractional 4D chaotic financial model with optimal control via He-Laplace algorithm, Ain Shams Eng. J., 15 (2024), 102503. https://doi.org/10.1016/j.asej.2023.102503 doi: 10.1016/j.asej.2023.102503
    [22] M. Asadollahi, N. Padar, A. Fathollahzadeh, M. J. Mirzaei, E. Aslmostafa, Fixed-time terminal sliding mode control with arbitrary convergence time for a class of chaotic systems applied to a nonlinear finance model, Int. J. Dynam. Control, 12 (2024), 1874–1887. https://doi.org/10.1007/s40435-023-01319-x doi: 10.1007/s40435-023-01319-x
    [23] H. X. Cheng, H. H. Li, Q. L. Dai, J. Z. Yang, A deep reinforcement learning method to control chaos synchronization between two identical chaotic systems, Chaos Soliton. Fract., 174 (2023), 113809. https://doi.org/10.1016/j.chaos.2023.113809 doi: 10.1016/j.chaos.2023.113809
    [24] Q. Liu, H. Peng, L. F. Long, J. Wang, Q. Yang, M. J. Pérez-Jiménez, et al., Nonlinear spiking neural systems with autapses for predicting chaotic time series, IEEE T. Cybernetics, 54 (2024), 1841–1853. https://doi.org/10.1109/TCYB.2023.3270873 doi: 10.1109/TCYB.2023.3270873
    [25] F. A. Syed, K. T. Fang, A. K. Kiani, M. Shoaib, M. A. Z. Raja, Design of Neuro-Stochastic bayesian networks for nonlinear chaotic differential systems in financial mathematics, Comput. Econ., 65 (2025), 241–270. https://doi.org/10.1007/s10614-024-10587-4 doi: 10.1007/s10614-024-10587-4
    [26] S. Gao, R. Wu, X. Y. Wang, J. F. Liu, Q. Li, C. P. Wang, et al., Asynchronous updating Boolean network encryption algorithm, IEEE T. Circ. Syst. Vid., 33 (2023), 4388–4400. https://doi.org/10.1109/TCSVT.2023.3237136 doi: 10.1109/TCSVT.2023.3237136
    [27] S. Gao, R. Wu, H. H. C. Iu, U. Erkan, Y. H. Cao, Q. Li, et al., Chaos-based video encryption techniques: A review, Comput. Sci. Rev., 58 (2025), 100816. https://doi.org/10.1016/j.cosrev.2025.100816 doi: 10.1016/j.cosrev.2025.100816
    [28] S. Gao, H. H. C. Iu, U. Erkan, C. Simsek, A. Toktas, Y. H. Cao, et al., A 3D memristive cubic map with dual discrete memristors: design, implementation, and application in image encryption, IEEE T. Circ. Syst. Vid., 35 (2025), 7706–7718. https://doi.org/10.1109/TCSVT.2025.3545868 doi: 10.1109/TCSVT.2025.3545868
    [29] Q. Lai, C. K. Zhu, X. W. Zhao, X. Sun, J. L. Hua, A unified framework for generating 4-D discrete memristive hyperchaotic maps with complex dynamics and application to encryption, IEEE Internet Things, 12 (2025), 40934–40943. https://doi.org/10.1109/JIOT.2025.3590465 doi: 10.1109/JIOT.2025.3590465
    [30] Q. Lai, H. Q. Hua, L. Yang, Encryption design and analysis of 3-D medical models in internet of medical things using a novel memristive hyperchaotic map, IEEE Internet Things, 12 (2025), 39019–39028. https://doi.org/10.1109/JIOT.2025.3587815 doi: 10.1109/JIOT.2025.3587815
    [31] Q. Lai, J. Wang, D. X. Huang, Diverse dynamical behaviors and predefined-time synchronization of a simple memristive chaotic system, Acta Phys. Sin., 74 (2025), 200501. https://doi.org/10.7498/aps.74.20250954 doi: 10.7498/aps.74.20250954
    [32] F. Yu, X. X. Kong, W. Yao, J. Zhang, S. Cai, H. R. Lin, et al., Dynamics analysis, synchronization and FPGA implementation of multiscroll Hopfield neural networks with non-polynomial memristor, Chaos Soliton. Fract., 179 (2024), 114440. https://doi.org/10.1016/j.chaos.2023.114440 doi: 10.1016/j.chaos.2023.114440
    [33] T. He, F. Yu, Y. Lin, S. Q. He, W. Yao, S. Cai, et al., Multi-scroll hopfield neural network excited by memristive self-synapses and its application in image encryption, Chin. Phys. B., 34 (2025), 120506. https://doi.org/10.1088/1674-1056/adfeff doi: 10.1088/1674-1056/adfeff
    [34] W. Feng, Z. X. Tang, X. Y. Zhao, Z. T. Qin, Y. Chen, B. Cai, et al., State-dependent variable fractional-order hyperchaotic dynamics in a coupled quadratic map: A novel system for high-performance image protection, Fractal Fract., 9 (2025), 792. https://doi.org/10.3390/fractalfract9120792 doi: 10.3390/fractalfract9120792
  • Reader Comments
  • © 2026 the Author(s), licensee AIMS Press. This is an open access article distributed under the terms of the Creative Commons Attribution License (http://creativecommons.org/licenses/by/4.0)
通讯作者: 陈斌, bchen63@163.com
  • 1. 

    沈阳化工大学材料科学与工程学院 沈阳 110142

  1. 本站搜索
  2. 百度学术搜索
  3. 万方数据库搜索
  4. CNKI搜索

Metrics

Article views(619) PDF downloads(81) Cited by(0)

Article outline

Figures and Tables

Figures(18)  /  Tables(2)

/

DownLoad:  Full-Size Img  PowerPoint
Return
Return

Catalog