Research article Special Issues

The k-means clustering-based CD method for solving large-scale matrix equation $ AX=B $

  • Published: 01 April 2026
  • MSC : 15A24, 65F10

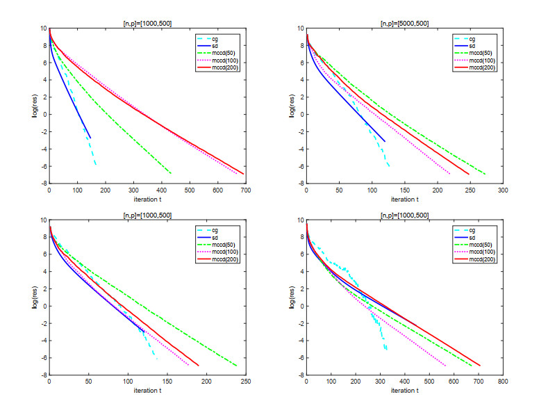
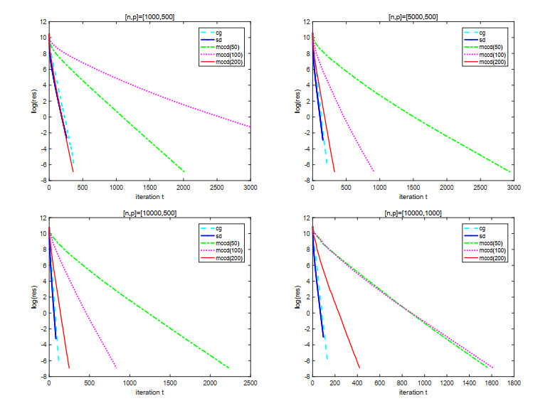
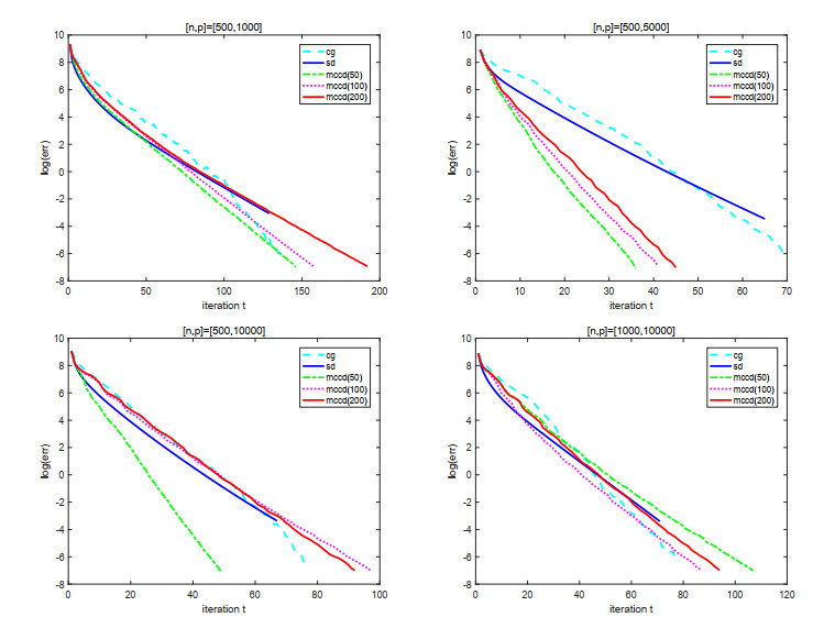
  • In this paper, the coordinate descent (CD) method integrated with k-means clustering is proposed to address the least-squares problem of the large-scale matrix equation $ AX=B $, where the coefficient matrix $ A $ is assumed to be of full column rank. Rigorous theoretical analysis shows that the iteration sequence generated by this method converges to the unique least-norm least-squares solution of the problem. The performed numerical results demonstrate that the method developed here is feasible and efficient.

    Citation: Lifang Dai, Maolin Liang, Qun Li, Ruijuan Zhao, Yong-hong Shen. The k-means clustering-based CD method for solving large-scale matrix equation $ AX=B $[J]. AIMS Mathematics, 2026, 11(4): 8859-8878. doi: 10.3934/math.2026365

    Related Papers:

  • In this paper, the coordinate descent (CD) method integrated with k-means clustering is proposed to address the least-squares problem of the large-scale matrix equation $ AX=B $, where the coefficient matrix $ A $ is assumed to be of full column rank. Rigorous theoretical analysis shows that the iteration sequence generated by this method converges to the unique least-norm least-squares solution of the problem. The performed numerical results demonstrate that the method developed here is feasible and efficient.



    加载中


    [1] M. J. Corless, A. E. Frazho, Linear systems and control: an operator perspective, New York: CRC Press, 2003. https://doi.org/10.1201/9780203911372
    [2] B. N. Datta, Linear and numerical linear algebra in control theory: some research problems, Linear Algebra Appl., 197–198 (1994), 755–790. https://doi.org/10.1016/0024-3795(94)90512-6 doi: 10.1016/0024-3795(94)90512-6
    [3] V. Simoncini, Computational methods for linear matrix equations, SIAM Rev., 58 (2016), 377–441. https://doi.org/10.1137/130912839 doi: 10.1137/130912839
    [4] F. Uhlig, On the matrix equation AX=B with applications to the generators of controllability matrix, Linear Algebra Appl., 85 (1987), 203–209. https://doi.org/10.1016/0024-3795(87)90217-5 doi: 10.1016/0024-3795(87)90217-5
    [5] T. Sakurai, H. Tadano, Y. Kuramashi, Application of block Krylov subspace algorithms to the Wilson-Dirac equation with multiple right-hand sides in lattice QCD, Comput. Phys. Commun., 181 (2010), 113–117. https://doi.org/10.1016/j.cpc.2009.09.006 doi: 10.1016/j.cpc.2009.09.006
    [6] A. Ben-Israel, T. Greville, Generalized inverses: theory and applications, New York: Springer, 2003. https://doi.org/10.1007/b97366
    [7] A. L. Andrew, Solution of equations involving centrosymmetric matrices, Technometrics, 15 (1973), 365–378. https://doi.org/10.1080/00401706.1973.10489049 doi: 10.1080/00401706.1973.10489049
    [8] K. E. Chu, Symmetric solutions of linear matrix equations by matrix decompositions, Linear Algebra Appl., 119 (1989), 35–50. https://doi.org/10.1016/0024-3795(89)90067-0 doi: 10.1016/0024-3795(89)90067-0
    [9] Z. Y. Peng, X. Y. Hu, The reflexive and anti-reflexive solutions of the matrix equation $AX=B$, Linear Algebra Appl., 375 (2003), 147–155. https://doi.org/10.1016/S0024-3795(03)00607-4 doi: 10.1016/S0024-3795(03)00607-4
    [10] W. F. Trench, Hermitian, Hermitian $R$-symmetric, and Hermitian $R$-skew symmetric Procrustes problems, Linear Algebra Appl., 387 (2004), 83–98. https://doi.org/10.1016/j.laa.2004.01.018 doi: 10.1016/j.laa.2004.01.018
    [11] Q. F. Xiao, X. Y. Hu, L. Zhang, The symmetric minimal rank solution of the matrix equation $AX=B$ and the optimal approximation, Electron. J. Linear Al., 18 (2009), 264–273. https://doi.org/10.13001/1081-3810.1311 doi: 10.13001/1081-3810.1311
    [12] M. L. Arias, M. C. Gonzalez, Proper splittings and reduced solutions of matrix equations, J. Math. Anal. Appl., 505 (2022), 125588. https://doi.org/10.1016/j.jmaa.2021.125588 doi: 10.1016/j.jmaa.2021.125588
    [13] S. F. Yuan, Q. W. Wang, X. F. Duan, On solutions of the quaternion matrix equation AX=B and their applications in color image restoration, Appl. Math. Comput., 221 (2013), 10–20. https://doi.org/10.1016/j.amc.2013.05.069 doi: 10.1016/j.amc.2013.05.069
    [14] Y. Li, F. X. Zhang, W. B. Guo, J. L. Zhao, On solutions of the quaternion matrix equation AX=B and their applications in color image restoration, Comput. Math. Appl., 62 (2011), 1389–1397. https://doi.org/10.1016/j.camwa.2011.04.004 doi: 10.1016/j.camwa.2011.04.004
    [15] Z. S. Yang, B. Zheng, Block minimum perturbation algorithm based on block Arnoldi process for nonsymmetric linear systems with multiple right-hand sides, Appl. Math. Comput., 347 (2019), 741–766. https://doi.org/10.1016/j.amc.2018.11.024 doi: 10.1016/j.amc.2018.11.024
    [16] W. Ding, Y. Li, D. Wang, Special least squares solutions of the reduced biquaternion matrix equation $AX=B$ with applications, Comput. Appl. Math., 40 (2021), 279. https://doi.org/10.1007/s40314-021-01641-0 doi: 10.1007/s40314-021-01641-0
    [17] D. P. O'Leary, The block conjugate gradient algorithm and related methods, Linear Algebra Appl., 29 (1980), 293–322. https://doi.org/10.1016/0024-3795(80)90247-5 doi: 10.1016/0024-3795(80)90247-5
    [18] M. Gutknecht, Block Krylov space methods for linear systems with multiple right-hand sides: an introduction, In: Modern mathematical models, methods and algorithms for real world systems, 2007.
    [19] B. Krasnopolsky, Revisiting performance of BiCGStab methods for solving systems with multiple right-hand sides, Comput. Math. Appl., 79 (2020), 2574–2597. https://doi.org/10.1016/j.camwa.2019.11.025 doi: 10.1016/j.camwa.2019.11.025
    [20] V. Simoncini, E. Gallopoulos, An iterative method for nonsymmetric systems with multiple right-hand sides, SIAM J. Sci. Comput., 16 (1995), 917–933. https://doi.org/10.1137/0916053 doi: 10.1137/0916053
    [21] H. X. Zhong, G. Wu, G. L. Chen, A flexible and adaptive simpler block GMRES with deflated restarting for linear systems with multiple right-hand sides, J. Comput. Appl. Math., 282 (2015), 139–156. https://doi.org/10.1016/j.cam.2014.12.040 doi: 10.1016/j.cam.2014.12.040
    [22] M. Hached, K. Jbilou, Numerical methods for differential linear matrix equations via Krylov subspace methods, J. Comput. Appl. Math., 370 (2020), 112674. https://doi.org/10.1016/j.cam.2019.112674 doi: 10.1016/j.cam.2019.112674
    [23] C. Jelich, M. Karimi, N. Kessissoglou, S. Marburg, Efficient solution of block Toeplitz systems with multiple right-hand sides arising from a periodic boundary element formulation, Eng. Anal. Bound. Elem., 130 (2021), 135–144. https://doi.org/10.1016/j.enganabound.2021.05.003 doi: 10.1016/j.enganabound.2021.05.003
    [24] V. Kalantzis, A. C. I. Malossi, C. Bekas, A. Curioni, E. Gallopoulos, A scalable iterative dense linear system solver for multiple right-hand sides in data analytics, Parallel Comput., 74 (2018), 136–153. https://doi.org/10.1016/j.parco.2017.12.005 doi: 10.1016/j.parco.2017.12.005
    [25] L. J. Zhao, X. Y. Hu, L. Zhang, Least squares solutions to $AX=B$ for bisymmetric matrices under a central principal submatrix constraint and the optimal approximation, Linear Algebra Appl., 428 (2008), 871–880. https://doi.org/10.1016/j.laa.2007.08.019 doi: 10.1016/j.laa.2007.08.019
    [26] L. Xu, X. Q. Liu, J. Liang, J. Wang, M. Li, S. Shen, Quantum algorithm for solving matrix equations of the form $AX=B$, Laser Phys. Lett., 19 (2022), 055202. https://doi.org/10.1088/1612-202X/ac5b5a doi: 10.1088/1612-202X/ac5b5a
    [27] Q. W. Wang, L. M. Xie, Z. H. Gao, A survey on solving the matrix equation $AXB=C$ with applications, Mathematics, 13 (2025), 450. https://doi.org/10.3390/math13030450 doi: 10.3390/math13030450
    [28] S. Hadjiantoni, G. Loizou, Numerical strategies for recursive least squares solutions to the matrix equation $AX=B$, Int. J. Comput. Math., 100 (2023), 497–510. https://doi.org/10.1080/00207160.2022.2123220 doi: 10.1080/00207160.2022.2123220
    [29] T. Strohmer, R. Vershynin, A randomized Kaczmarz algorithm with exponential convergence, J. Fourier Anal. Appl., 15 (2009), 262–278. https://doi.org/10.1007/s00041-008-9030-4 doi: 10.1007/s00041-008-9030-4
    [30] A. Zouzias, N. M. Freris, Randomized extended Kaczmarz for solving least-squares, SIAM J. Matrix Anal. Appl., 34 (2013), 773–793. https://doi.org/10.1137/120889897 doi: 10.1137/120889897
    [31] Z. Z. Bai, W. T. Wu, On greedy randomized Kaczmarz method for solving large sparse linear systems, SIAM J. Sci. Comput., 40 (2018), A592–A606. https://doi.org/10.1137/17M1137747 doi: 10.1137/17M1137747
    [32] A. Ma, D. Needell, A. Ramdas, Convergence properties of the randomized extended Gauss-Seidel and Kaczmarz methods, SIAM J. Matrix Anal. Appl., 36 (2015), 1590–1604. https://doi.org/10.1137/15M1014425 doi: 10.1137/15M1014425
    [33] Y. Q. Niu, B. Zheng, A greedy block Kaczmarz algorithm for solving large-scale linear systems, Appl. Math. Lett., 104 (2020), 106294. https://doi.org/10.1016/j.aml.2020.106294 doi: 10.1016/j.aml.2020.106294
    [34] A. K. Jain, Data clustering: 50 years beyond K-means, Pattern Recogn. Lett., 31 (2010), 651–666. https://doi.org/10.1016/j.patrec.2009.09.011 doi: 10.1016/j.patrec.2009.09.011
    [35] X. L. Jiang, K. Zhang, J. F. Yin, Randomized block Kaczmarz methods with K-means clustering for solving large linear systems, J. Comput. Appl. Math., 403 (2022), 113828. https://doi.org/10.1016/j.cam.2021.113828 doi: 10.1016/j.cam.2021.113828
    [36] Y. Nesterov, Efficiency of coordinate descent methods on huge-scale optimization problems, SIAM J. Optim., 22 (2012), 341–362. https://doi.org/10.1137/100802001 doi: 10.1137/100802001
    [37] J. H. Zhang, J. H. Guo, On relaxed greedy randomized coordinate descent methods for solving large linear least-squares problems, Appl. Numer. Math., 157 (2020), 372–384. https://doi.org/10.1016/j.apnum.2020.06.014 doi: 10.1016/j.apnum.2020.06.014
    [38] R. R. Li, H. Liu, Y. Y. Ding, Block Kaczmarz algorithm for solving large overdetermined systems of linear algebraic equations, J. Comput. Math. Higher Educ. I., 43 (2021), 150–160.
    [39] H. L. Chen, A. L. Yang, R. Liu, Y. Cao, K-means clustering based maximal residual (block) Kaczmarz methods for solving consistent system of linear equations, Comp. Appl. Math., 44 (2025), 307. https://doi.org/10.1007/s40314-025-03265-0 doi: 10.1007/s40314-025-03265-0
    [40] L. Rui. Y. Ai-Li, M. Yang, Maximal residual coordinate descent method with K-means clustering for solving large linear least-squares problems, Numer. Algor., 101 (2026), 1157–1173. https://doi.org/10.1007/s11075-025-02036-6 doi: 10.1007/s11075-025-02036-6
    [41] D. A. Désopo, A convex programming procedure, Nav. Res. Log. Quart., 6 (1959), 33–42. https://doi.org/10.1002/nav.3800060105 doi: 10.1002/nav.3800060105
    [42] H. J. Shi, S. Y. Tu, Y. Y. Xu, W. Yin, A primer on coordinate descent algorithms, 2016. https://doi.org/10.48550/arXiv.1610.00040
    [43] S. J. Wright, Coordinate descent algorithms, Math. Program., 151 (2015), 3–34. https://doi.org/10.1007/s10107-015-0892-3 doi: 10.1007/s10107-015-0892-3
    [44] K. H. Guo, X. Y. Hu, L. Zhang, A new iteration method for the matrix equation, Appl. Math. Comput., 187 (2007), 1434–1441. https://doi.org/10.1016/j.amc.2006.09.059 doi: 10.1016/j.amc.2006.09.059
    [45] G. X. Huang, F. Yin, K. Guo, An iterative method for the skew-symmetric solution and the optimal approximate solution of the matrix equation $AXB=C$, J. Comput. Appl. Math., 212 (2008), 231–244. https://doi.org/10.1016/j.cam.2006.12.005 doi: 10.1016/j.cam.2006.12.005
    [46] S. G. Shafiei, M. Hajarian, Developing Kaczmarz method for solving Sylvester matrix equations, J. Franklin I., 359 (2022), 8991–9005. https://doi.org/10.1016/j.jfranklin.2022.09.028 doi: 10.1016/j.jfranklin.2022.09.028
  • Reader Comments
  • © 2026 the Author(s), licensee AIMS Press. This is an open access article distributed under the terms of the Creative Commons Attribution License (http://creativecommons.org/licenses/by/4.0)
通讯作者: 陈斌, bchen63@163.com
  • 1. 

    沈阳化工大学材料科学与工程学院 沈阳 110142

  1. 本站搜索
  2. 百度学术搜索
  3. 万方数据库搜索
  4. CNKI搜索

Metrics

Article views(664) PDF downloads(203) Cited by(0)

Article outline

Figures and Tables

Figures(4)  /  Tables(3)

/

DownLoad:  Full-Size Img  PowerPoint
Return
Return

Catalog