Research article Special Issues

Bifurcation analysis, stability analysis, modulation instability and soliton structures of the nonlinear Klein–Gordon model in particle physics

  • Published: 30 March 2026
  • MSC : 35Rxx, 35Qxx, 35Q51

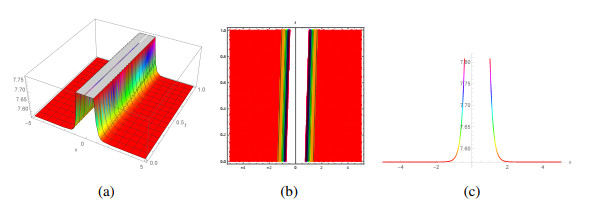
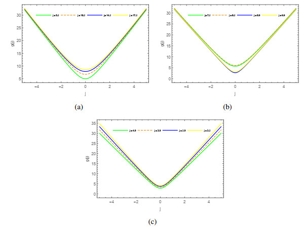
  • In this study, the nonlinear Klein-Gordon model is investigated analytically as an extension of the classical Klein-Gordon equation involving nonlinear effects. This relativistic wave equation plays an important role in describing scalar field dynamics in particle physics, condensed matter physics, and cosmology. Although several studies have reported soliton solutions for nonlinear wave equations, comprehensive analyses combining exact solutions with stability, modulation instability, and chaotic dynamics remain limited for this model. To address this gap, we employ analytical techniques to obtain different types of solutions, including solitary, periodic, and V-shaped wave structures. Graphical illustrations demonstrate the rich dynamical behavior of the system for various parameter regimes. In addition, a stability analysis is performed to determine the conditions under which the system preserves its dynamical behavior. The modulation instability and bifurcation structures are also examined through phase portraits, revealing transitions between regular and complex dynamics. Furthermore, periodic perturbations are introduced to explore chaotic behavior in the system. The results reveal previously unreported solitary and periodic solutions whose stability and chaotic phases offer insight into the underlying nonlinear mechanisms, with potential applications in wave propagation and field dynamics.

    Citation: Kalim U. Tariq, S. M. Raza Kazmi, Sajawal A. Baloch, Abdulaziz Khalid Alsharidi, Naif Almusallam, Luai Abdulla Aldoghan. Bifurcation analysis, stability analysis, modulation instability and soliton structures of the nonlinear Klein–Gordon model in particle physics[J]. AIMS Mathematics, 2026, 11(3): 8584-8617. doi: 10.3934/math.2026353

    Related Papers:

  • In this study, the nonlinear Klein-Gordon model is investigated analytically as an extension of the classical Klein-Gordon equation involving nonlinear effects. This relativistic wave equation plays an important role in describing scalar field dynamics in particle physics, condensed matter physics, and cosmology. Although several studies have reported soliton solutions for nonlinear wave equations, comprehensive analyses combining exact solutions with stability, modulation instability, and chaotic dynamics remain limited for this model. To address this gap, we employ analytical techniques to obtain different types of solutions, including solitary, periodic, and V-shaped wave structures. Graphical illustrations demonstrate the rich dynamical behavior of the system for various parameter regimes. In addition, a stability analysis is performed to determine the conditions under which the system preserves its dynamical behavior. The modulation instability and bifurcation structures are also examined through phase portraits, revealing transitions between regular and complex dynamics. Furthermore, periodic perturbations are introduced to explore chaotic behavior in the system. The results reveal previously unreported solitary and periodic solutions whose stability and chaotic phases offer insight into the underlying nonlinear mechanisms, with potential applications in wave propagation and field dynamics.



    加载中


    [1] M. Huo, Z. Fan, J. Qi, N. Qi, D. Zhu, Fast analysis of multi-asteroid exploration mission using multiple electric sails, J. Guid., Control, Dyn., 46 (2023), 1015–1022. https://doi.org/10.2514/1.g006972 doi: 10.2514/1.g006972
    [2] S. Dong, S. Xiang, L. Zhao, Q. Huang, H. Yang, H. Luo, et al., A bipolar pulse rising edge steepening circuit based on diode reverse recovery, IEEE Trans. Instrum. Meas., 74 (2025), 1–10. https://doi.org/10.1109/tim.2025.3547088 doi: 10.1109/tim.2025.3547088
    [3] J. Xu, X. Jiang, Y. Wang, N. Dong, L. Qiao, J. Bai, Progress in local-variable-based transition-turbulence models for subsonic and transonic boundary layers, Chin. J. Aeronaut., 39 (2026), 103688. https://doi.org/10.1016/j.cja.2025.103688 doi: 10.1016/j.cja.2025.103688
    [4] Q. Lu, X. Wu, J. She, F. Guo, L. Yu, Disturbance rejection for systems with uncertainties based on fixed-time equivalent-input-disturbance approach, IEEE/CAA J. Automa. Sin., 11 (2024), 2384–2395. https://doi.org/10.1109/jas.2024.124650 doi: 10.1109/jas.2024.124650
    [5] S. Dong, Q. Huang, H. Luo, S. Xiang, L. Zhao, H. Yang, et al., A design and analysis of RCD oscillation suppression circuit for Marx pulse generator, IEEE Trans. Plasma Sci., 53 (2025), 1277–1284. https://doi.org/10.1109/tps.2025.3559507 doi: 10.1109/tps.2025.3559507
    [6] Z. X. Peng, B. X. Li, C. S. Deng, Ultrahigh-Q Fano resonance in a cavity-waveguide coupled system based on second-order topological photonic crystals with elliptical holes, Opt. Laser Technol., 181 (2025), 111617. https://doi.org/10.1016/j.optlastec.2024.111617 doi: 10.1016/j.optlastec.2024.111617
    [7] W. K. Yu, Q. Y. Wu, X. X. Chen, J. Huo, J. Li, J. Z. Yang, et al., Experimental first‐photon visualization of quantum erasure with hybrid entanglement, Laser Photonics Rev., 20 (2025), e01816. https://doi.org/10.1002/lpor.202501816 doi: 10.1002/lpor.202501816
    [8] A. M. Hafiz, I. Faiq, M. Hassaballah, Solving partial differential equations using large-data models: a literature review, Artif. Intell. Rev., 57 (2024), 152. https://doi.org/10.1007/s10462-024-10784-5 doi: 10.1007/s10462-024-10784-5
    [9] D. Ji, C. Li, C. Zhai, Z. Cao, An efficient platform for numerical modeling of partial differential equations, IEEE Trans. Geosci. Remote Sen., 62 (2024), 1–13. https://doi.org/10.1109/tgrs.2024.3409620 doi: 10.1109/tgrs.2024.3409620
    [10] J. Ding, M. Xu, X. Bai, X. Wang, X. Pan, Semi-analytical bounded formation configuration screening method based on Poincaré Contraction Mapping, IEEE Trans. Aerosp. Electron. Syst., 2026. https://doi.org/10.1109/taes.2026.3659075 doi: 10.1109/taes.2026.3659075
    [11] E. de Bézenac, M. Herde, R. Käppeli, S. Mishra, R. Molinaro, B. Raonić, et al., Poseidon: efficient foundation models for PDEs, Adv. Neural Inf. Proc. Syst., 37 (2024), 72525–72624. https://doi.org/10.52202/079017-2311 doi: 10.52202/079017-2311
    [12] A. Anandkumar, K. Azizzadenesheli, J. Berner, B. Bonev, M. Elleithy, R. George, et al., Pretraining codomain attention neural operators for solving multiphysics pdes, Adv. Neural Inf. Proc. Syst., 37 (2024), 104035–104064. https://doi.org/10.52202/079017-3306 doi: 10.52202/079017-3306
    [13] N. Cheng, W. Wang, H. B. Zeng, X. Liu, X. M. Zhang, Novel exponential-weighted integral inequality for exponential stability analysis of time-varying delay systems, Appl. Math. Lett., 172 (2025), 109730. https://doi.org/10.1016/j.aml.2025.109730 doi: 10.1016/j.aml.2025.109730
    [14] C. Carath, Calculus of variations and partial differential equations of first order, Vol. 318, American Mathematical Society, 2024.
    [15] M. Terushkin, E. Fridman, Network-based deployment of nonlinear multi agents over open curves: a PDE approach, Automatica, 129 (2021) 109697. https://doi.org/10.1016/j.automatica.2021.109697 doi: 10.1016/j.automatica.2021.109697
    [16] Z. Li, E. Zhu, Optical soliton solutions of stochastic schrodinger-hirota equation in birefringent fibers with spatiotemporal dispersion and parabolic law nonlinearity, J. Opt., 53 (2024), 1302–1308. https://doi.org/10.1007/s12596-023-01287-7 doi: 10.1007/s12596-023-01287-7
    [17] S. T. R. Rizvi, A. R. Seadawy, M. Younis, I. Ali, S. Althobaiti, S. F. Mahmoud, Soliton solutions, painleve analysis and conservation laws for a nonlinear evolution equation, Results Phys., 23 (2021), 103999. https://doi.org/10.1016/j.rinp.2021.103999 doi: 10.1016/j.rinp.2021.103999
    [18] T. Han, Y. Liang, W. Fan, Dynamics and soliton solutions of the perturbed Schrödinger-Hirota equation with cubic-quintic-septic nonlinearity in dispersive media, AIMS Math., 10 (2025), 754–776. https://doi.org/10.3934/math.2025035 doi: 10.3934/math.2025035
    [19] A. Ghosh, S. Maitra, The first integral method and some nonlinear models, Comput. Appl. Math., 40 (2021), 79. https://doi.org/10.1007/s40314-021-01470-1 doi: 10.1007/s40314-021-01470-1
    [20] M. S. Iqbal, A. R. Seadawy, M. Z. Baber, M. Qasim, Application of modified exponential rational function method to jaulent-miodek system leading to exact classical solutions, Chaos, Soliton. Fract., 164 (2022), 112600. https://doi.org/10.1016/j.chaos.2022.112600 doi: 10.1016/j.chaos.2022.112600
    [21] M. Tahir, A. U. Awan, K. A. Abro, Extraction of optical solitons in birefringent fibers for biswas-arshed equation via extended trial equation method, Nonlinear Eng., 10 (2021), 146–158. https://doi.org/10.1515/nleng-2021-0011 doi: 10.1515/nleng-2021-0011
    [22] L. Fan, T. Bao, Weierstrass elliptic function solutions and degenerate solutions of a variable coefficient higher-order schrodinger equation, Phys. Scr., 98 (2023), 095238. https://doi.org/10.1088/1402-4896/acec1a doi: 10.1088/1402-4896/acec1a
    [23] T. Han, Y. Jiang, H. Fan, Exploring shallow water wave phenomena: a fractional approach to the Whitham-Broer-Kaup-Boussinesq-Kupershmidt system, Ain Shams Eng. J., 16 (2025), 103700. https://doi.org/10.1016/j.asej.2025.103700 doi: 10.1016/j.asej.2025.103700
    [24] Y. Gasimov, J. Manafian, A. Aliyeva, New approach of $(G'/G)$-expansion method to solve the fractional differential equations arising in fluid mechanics, J. Contemp. Appl. Math., 15, (2025), 124–141. https://doi.org/10.62476/jcam.151.20 doi: 10.62476/jcam.151.20
    [25] M. Kumar, Umesh, Recent development of adomian decomposition method for ordinary and partial differential equations, Int. J. Appl. Comput. Math., 8 (2022), 81. https://doi.org/10.1007/s40819-022-01285-6 doi: 10.1007/s40819-022-01285-6
    [26] S. Xu, J. He, Various rational solutions generated from the higher order Kaup–Newell type equation, Chaos, Soliton. Fract., 201 (2025), 117286. https://doi.org/10.1016/j.chaos.2025.117286 doi: 10.1016/j.chaos.2025.117286
    [27] Z. Rao, X. Lin, J. He, G. Guo, M. Gong, Soliton and traveling-wave solutions in coupled one-dimensional condensates, Phys. Rev. A, 112 (2025), 053311. https://doi.org/10.1103/1jrc-3dy1 doi: 10.1103/1jrc-3dy1
    [28] K. J. Wang, Exploring exact wave solutions of the Cahn–Allen equation via a novel Bernoulli sub-equation neural networks method, Mod. Phys. Lett. B, 40 (2026), 2650062. https://doi.org/10.1142/s0217984926500624 doi: 10.1142/s0217984926500624
    [29] S. Xu, J. He, Various rational solutions generated from the higher order Kaup–Newell type equation, Chaos, Soliton. Fract., 201 (2025), 117286. https://doi.org/10.1016/j.chaos.2025.117286 doi: 10.1016/j.chaos.2025.117286
    [30] Z. Rao, X. Lin, J. He, G. Guo, M. Gong, Soliton and traveling-wave solutions in coupled one-dimensional condensates, Phys. Rev. A, 112 (2025), 053311. https://doi.org/10.1103/1jrc-3dy1 doi: 10.1103/1jrc-3dy1
    [31] M. S. Hashemi, S. Gulsen, M. Inc, E. C. Aslan, Analytical treatment with the nucci reduction technique on the p-forced nonlinear klein-gordon equation, Opt. Quant. Electron., 56 (2024), 34. https://doi.org/10.1007/s11082-023-05538-6 doi: 10.1007/s11082-023-05538-6
    [32] I. Ahmad, W. A. Faridi, M. Iqbal, Z. Majeed, F. Tchier, Exploration of soliton solutions in nonlinear optics for the third order klein-fock-gordon equation and nonlinear maccaris system, Int. J. Theor. Phys., 63 (2024), 157. https://doi.org/10.1007/s10773-024-05692-x doi: 10.1007/s10773-024-05692-x
    [33] K. U. Tariq, A. Bekir, S. Nisar, M. Alp, Construction of new wave structures and stability analysis for the nonlinear klein-gordon equation, Phys. Scr., 99 (2024), 055220. https://doi.org/10.1088/1402-4896/ad3869 doi: 10.1088/1402-4896/ad3869
    [34] I. Sahu, S. R. Jena, An efficient technique for time fractional klein-gordon equation based on modified laplace adomian decomposition technique via hybridized newton-raphson scheme arises in relativistic fractional quantum mechanics, Partial Differ. Equ. Appl. Math., 10 (2024), 100744. https://doi.org/10.1016/j.padiff.2024.100744 doi: 10.1016/j.padiff.2024.100744
    [35] A. K. M. S. Hossain, M. K. Islam, H. Akter, M. A. Akbar, Exact and soliton solutions of nonlinear evolution equations in mathematical physics using the generalized $(G'/ G)$-expansion approach, Phys. Scr., 100 (2024), 015269. https://doi.org/10.1088/1402-4896/ad9da1 doi: 10.1088/1402-4896/ad9da1
    [36] H. M. Srivastava, S. Khan, Q. Z. Ahmad, N. Khan, S. Hussain, The faber polynomial expansion method and its application to the general coefficient problem for some subclasses of bi-univalent functions associated with a certain q-integral operator, Stud. Univ. Babes-Bolyai Math., 63 (2018), 419–436. https://doi.org/10.24193/subbmath.2018.4.01 doi: 10.24193/subbmath.2018.4.01
    [37] H. Ahmad, M. N. Alam, M. A. Rahim, M. F. Alotaibi, M. Omri, The unified technique for the nonlinear time-fractional model with the beta-derivative, Results Phys., 29 (2021), 104785. https://doi.org/10.1016/j.rinp.2021.104785 doi: 10.1016/j.rinp.2021.104785
    [38] N. G. Vakhitov, A. A. Kolokolov, Stationary solutions of the wave equation in a medium with nonlinearity saturation, Radiophys. Quantum Electron., 16 (1973), 783–789. https://doi.org/10.1007/bf01031343 doi: 10.1007/bf01031343
    [39] J. J. Xiong, X. Y. Wang, C. Li, Recurrent neural network based sliding mode control for an uncertain tilting quadrotor UAV, Int. J. Robust Nonlinear Control, 35 (2025), 8030–8046. https://doi.org/10.1002/rnc.70108 doi: 10.1002/rnc.70108
    [40] T. Xie, X. Ma, X. Yang, P. Cui, X. Ning, J. Lü, Time-delay estimation for pulsar navigation based on peak-trough amplitude and rayleigh entropy, IEEE J. Sel. Top. Appl. Earth Obs. Remote Sens., 18 (2025), 27781–27797. https://doi.org/10.1109/jstars.2025.3625252 doi: 10.1109/jstars.2025.3625252
    [41] Y. Yang, Y. W. Ni, P. F. Chen, X. S. Feng, Predicting solar flares using a convolutional neural network with extreme-ultraviolet images, Astrophys. J., 985 (2025), 104. https://doi.org/10.3847/1538-4357/adc88e doi: 10.3847/1538-4357/adc88e
    [42] J. Zheng, S. Nie, H. Jing, Y. He, M. Li, Y. Ma, et al., Potential and electro-mechanical coupling analysis of a novel HTS maglev system employing double-sided homopolar linear synchronous motor, IEEE Trans. Intell. Transp. Syst., 25 (2024), 13573–13583. https://doi.org/10.1109/tits.2024.3398148 doi: 10.1109/tits.2024.3398148
    [43] T. Han, H. Rezazadeh, M. Ur Rahman, High-order solitary waves, fission, hybrid waves and interaction solutions in the nonlinear dissipative (2+1)-dimensional Zabolotskaya-Khokhlov model, Phys. Scr., 99 (2024), 115212. https://doi.org/10.1088/1402-4896/ad7f04 doi: 10.1088/1402-4896/ad7f04
  • Reader Comments
  • © 2026 the Author(s), licensee AIMS Press. This is an open access article distributed under the terms of the Creative Commons Attribution License (http://creativecommons.org/licenses/by/4.0)
通讯作者: 陈斌, bchen63@163.com
  • 1. 

    沈阳化工大学材料科学与工程学院 沈阳 110142

  1. 本站搜索
  2. 百度学术搜索
  3. 万方数据库搜索
  4. CNKI搜索

Metrics

Article views(285) PDF downloads(28) Cited by(0)

Article outline

Figures and Tables

Figures(15)  /  Tables(1)

/

DownLoad:  Full-Size Img  PowerPoint
Return
Return

Catalog