Research article Special Issues

A unified fractional-stochastic energy balance model: Theoretical analysis, numerical implementation, and implications for sustainable energy systems

  • Published: 30 March 2026
  • MSC : 35R11, 60H10, 86A10, 90B25, 93E03

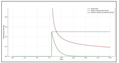
  • Modeling climate-energy interactions requires frameworks that capture both long-range memory and extreme event risks. Classical energy balance models (EBMs) are limited by their memoryless deterministic structure, while purely stochastic extensions typically incorporate only Gaussian noise and fail to account for heavy-tailed extremes. This paper introduces a unified fractional-stochastic energy balance equation (FS-EBE) that combines Caputo fractional integrals for memory effects with Lévy processes for stochastic forcing, including jumps. We establish the model's well-posedness by proving existence, uniqueness, and moment boundedness for the resulting stochastic Volterra equation. A dedicated fractional-stochastic Adams-Bashforth-Moulton (ABM) predictor-corrector scheme is developed for a numerical solution. Through two case studies—periodic solar forcing with Gaussian noise and correlated forcing with Lévy jumps—we demonstrate that the FS-EBE produces phase lags, long-tailed relaxation following extremes, and heavier-tailed anomaly distributions absent in classical and standard stochastic EBMs. Two novel indices are introduced: the fractional memory index ($ M = 1-\alpha $) quantifying system memory and the stochastic fractional robustness index (SFRI) measuring finite-time resilience. These provide quantitative tools for assessing energy infrastructure vulnerability to climate extremes, supporting Sustainable Development Goal 7 affortable and clean energy.

    Citation: Kinda Abuasbeh, Salma Trabelsi. A unified fractional-stochastic energy balance model: Theoretical analysis, numerical implementation, and implications for sustainable energy systems[J]. AIMS Mathematics, 2026, 11(3): 8546-8583. doi: 10.3934/math.2026352

    Related Papers:

  • Modeling climate-energy interactions requires frameworks that capture both long-range memory and extreme event risks. Classical energy balance models (EBMs) are limited by their memoryless deterministic structure, while purely stochastic extensions typically incorporate only Gaussian noise and fail to account for heavy-tailed extremes. This paper introduces a unified fractional-stochastic energy balance equation (FS-EBE) that combines Caputo fractional integrals for memory effects with Lévy processes for stochastic forcing, including jumps. We establish the model's well-posedness by proving existence, uniqueness, and moment boundedness for the resulting stochastic Volterra equation. A dedicated fractional-stochastic Adams-Bashforth-Moulton (ABM) predictor-corrector scheme is developed for a numerical solution. Through two case studies—periodic solar forcing with Gaussian noise and correlated forcing with Lévy jumps—we demonstrate that the FS-EBE produces phase lags, long-tailed relaxation following extremes, and heavier-tailed anomaly distributions absent in classical and standard stochastic EBMs. Two novel indices are introduced: the fractional memory index ($ M = 1-\alpha $) quantifying system memory and the stochastic fractional robustness index (SFRI) measuring finite-time resilience. These provide quantitative tools for assessing energy infrastructure vulnerability to climate extremes, supporting Sustainable Development Goal 7 affortable and clean energy.



    加载中


    [1] D. Applebaum, Lévy processes and stochastic calculus, Cambridge University Press, 2009.
    [2] M. Awadalla, A. A. Sharif, A fractional calculus approach to energy balance modeling: Incorporating memory for responsible forecasting, Mathematics, 14 (2026), 223. https://doi.org/10.3390/math14020223 doi: 10.3390/math14020223
    [3] M. Behrendt, V. C. Fragkoulis, G. D. Pasparakis, M. Beer, Probabilistic failure analysis of stochastically excited nonlinear structural systems with fractional derivative elements, Reliab. Eng. Syst. Safe., 266 (2026), 111647. https://doi.org/10.1016/j.ress.2025.111647 doi: 10.1016/j.ress.2025.111647
    [4] A. Ben-Loghfyry, A. Charkaoui, Regularized Perona & Malik model involving Caputo time-fractional derivative with application to image denoising, Chaos Soliton. Fract., 175 (2023), 113925. https://doi.org/10.1016/j.chaos.2023.113925 doi: 10.1016/j.chaos.2023.113925
    [5] R. Bhadra, M. D. Pandey, Non-stationary stochastic modelling of precipitation extremes in the changing climate, Reliab. Eng. Syst. Safe., 266 (2025), 111835. https://doi.org/10.1016/j.ress.2025.111835 doi: 10.1016/j.ress.2025.111835
    [6] A. S. Bhuwal, Failure analysis and mechanical behaviors of metamaterials, Doctoral dissertation, University of Nottingham, 2023.
    [7] I. Bihari, A generalization of a lemma of Bellman and its application to uniqueness problems of differential equations, Acta Mathematica Academiae Scientiarum Hungaricae, 7 (1956), 81–94. https://doi.org/10.1007/bf02022967 doi: 10.1007/bf02022967
    [8] M. Bruneau, S. E. Chang, R. T. Eguchi, G. C. Lee, T. D. O'Rourke, A. M. Reinhorn, et al., A framework to quantitatively assess and enhance the seismic resilience of communities, Earthq. Spectra, 19 (2003), 733–752. https://doi.org/10.1193/1.1623497 doi: 10.1193/1.1623497
    [9] A. Charkaoui, A. Ben-Loghfyry, Anisotropic equation based on fractional diffusion tensor for image noise removal, Math. Method. Appl. Sci., 47 (2024), 9600–9620. https://doi.org/10.1002/mma.10085 doi: 10.1002/mma.10085
    [10] A. Charkaoui, A. Ben-Loghfyry, A novel multi-frame image super-resolution model based on regularized nonlinear diffusion with Caputo time fractional derivative, Commun. Nonlinear Sci., 139 (2024), 108280. https://doi.org/10.1016/j.cnsns.2024.108280 doi: 10.1016/j.cnsns.2024.108280
    [11] A. Charkaoui, A. Ben-Loghfyry, Topological degree for some parabolic equations with Riemann–Liouville time-fractional derivatives, Topol. Method. Nonl. An., 64 (2024), 597–619. https://doi.org/10.12775/TMNA.2024.017 doi: 10.12775/TMNA.2024.017
    [12] M. De Iuliis, A. Cardoni, G. P. Cimellaro, Resilience and safety of civil engineering systems and communities: A bibliometric analysis for mapping the state-of-the-art, Safety Sci., 174 (2024), 106470. https://doi.org/10.1016/j.ssci.2024.106470 doi: 10.1016/j.ssci.2024.106470
    [13] K. Diethelm, N. J. Ford, A. D. Freed, A predictor-corrector approach for the numerical solution of fractional differential equations, Nonlinear Dyn., 29 (2002), 3–22. https://doi.org/10.1023/A:1016592219341 doi: 10.1023/A:1016592219341
    [14] P. D. Ditlevsen, Observation of $\alpha$-stable noise induced millennial climate changes from an ice-core record, Geophys. Res. Lett., 26 (1999), 1441–1444. https://doi.org/10.1029/1999GL900252 doi: 10.1029/1999GL900252
    [15] A. Di Matteo, A. Pirrotta, Efficient path integral approach via analytical asymptotic expansion for nonlinear systems under Gaussian white noise, Nonlinear Dyn., 112 (2024), 13995–14018. https://doi.org/10.1007/s11071-024-09822-2 doi: 10.1007/s11071-024-09822-2
    [16] J. Duan, An introduction to stochastic dynamics, Cambridge University Press, 2015.
    [17] B. Ghanbari, H. Günerhan, H. M. Srivastava, An application of the Atangana–Baleanu fractional derivative in mathematical biology: A three-species predator-prey model, Chaos Soliton. Fract., 138 (2020), 109910. https://doi.org/10.1016/j.chaos.2020.109910 doi: 10.1016/j.chaos.2020.109910
    [18] M. Hafez, F. Alshowaikh, B. W. N. Voon, S. Alkhazaleh, H. Al-Faiz, Review on recent advances in fractional differentiation and its applications, Prog. Fract. Differ. Appl., 11 (2025), 245–261. https://doi.org/10.18576/pfda/110203 doi: 10.18576/pfda/110203
    [19] K. Hasselmann, Stochastic climate models part I. Theory, Tellus, 28 (1976), 473–485. https://doi.org/10.1111/j.2153-3490.1976.tb00696.x doi: 10.1111/j.2153-3490.1976.tb00696.x
    [20] L. Iannacone, P. Gardoni, Modeling deterioration and predicting remaining useful life using stochastic differential equations, Reliab. Eng. Syst. Safe., 251 (2024), 110251. https://doi.org/10.1016/j.ress.2024.110251 doi: 10.1016/j.ress.2024.110251
    [21] L. Jiwei, T. Kang, R. T. L. Kong, S. M. Soon, Modelling critical infrastructure network interdependencies and failure, Int. J. Crit. Infrastru., 15 (2019), 1–23. https://doi.org/10.1504/IJCIS.2019.096557 doi: 10.1504/IJCIS.2019.096557
    [22] K.-I. Sato, Lévy processes and infinitely divisible distributions, Cambridge University Press, 1999.
    [23] R. Khan, A. M. Shah, H. U. Khan, Advancing climate risk prediction with hybrid statistical and machine learning models, 2025. Preprint. https://doi.org/10.21203/rs.3.rs-7477242/v1
    [24] E. Kharazian, A. R. R. Matavalam, A. Grolet, B. Wang, X. Kestelyn, Application of second-order normal forms to capture nonlinear power system DAE dynamics, In: 2025 IEEE Power & Energy Society General Meeting (PESGM), 2025. https://doi.org/10.1109/PESGM52009.2025.11225792
    [25] A. A. Kilbas, Theory and applications of fractional differential equations, North-Holland, 2006.
    [26] V. V. Kulish, J. L. Lage, Application of fractional calculus to fluid mechanics, J. Fluids Eng., 124 (2002), 803–806. https://doi.org/10.1115/1.1478062 doi: 10.1115/1.1478062
    [27] G. Li, D. Zhang, Z. Bie, An analytical method for reliability and resilience evaluation of power distribution systems with mobile power sources, Reliab. Eng. Syst. Safe., 267 (2025), 111817. https://doi.org/10.1016/j.ress.2025.111817 doi: 10.1016/j.ress.2025.111817
    [28] Z. Liu, Y. Wang, Y. Lv, Analysis of impact on operating characteristics of new power system in low-temperature weather, IEEE Access, 13 (2025), 109308–109321. https://doi.org/10.1109/ACCESS.2025.3582548 doi: 10.1109/ACCESS.2025.3582548
    [29] S. Lovejoy, Spectra, intermittency, and extremes of weather, macroweather and climate, Sci. Rep., 8 (2018), 12697. https://doi.org/10.1038/s41598-018-30829-4 doi: 10.1038/s41598-018-30829-4
    [30] H. L. Zhang, Z. Y. Li, X. Y. Li, Numerical simulation of pattern and chaos dynamic behaviour in the fractional-order-in-time Lengyel–Epstein reaction-diffusion system, Int. J. Comput. Math., 2026, 1–21. https://doi.org/10.1080/00207160.2025.2612196 doi: 10.1080/00207160.2025.2612196
    [31] R. L. Magin, Fractional calculus models of complex dynamics in biological tissues, Comput. Math. Appl., 59 (2010), 1586–1593. https://doi.org/10.1016/j.camwa.2009.08.039 doi: 10.1016/j.camwa.2009.08.039
    [32] F. Mainardi, Fractional calculus and waves in linear viscoelasticity, World Scientific, 2022.
    [33] X. Mao, Stochastic differential equations and applications, Elsevier, 2007.
    [34] W. Moon, S. Agarwal, J. S. Wettlaufer, Intrinsic pink-noise multidecadal global climate dynamics mode, Phys. Rev. Lett., 121 (2018), 108701. https://doi.org/10.1103/PhysRevLett.121.108701 doi: 10.1103/PhysRevLett.121.108701
    [35] C. Nicolis, G. Nicolis, Stochastic aspects of climatic transitions–additive fluctuations, Tellus, 33 (1981), 225–234. https://doi.org/10.1111/j.2153-3490.1981.tb01746.x doi: 10.1111/j.2153-3490.1981.tb01746.x
    [36] M. Ohyver, Purhadi, A. Choiruddin, Parameter estimation of geographically and temporally weighted elastic net ordinal logistic regression, Mathematics, 13 (2025), 1345. https://doi.org/10.3390/math13081345 doi: 10.3390/math13081345
    [37] M. Ouyang, L. Duenas-Osorio, Multi-dimensional hurricane resilience assessment of electric power systems, Struct. Saf., 48 (2014), 15–24. https://doi.org/10.1016/j.strusafe.2014.01.001 doi: 10.1016/j.strusafe.2014.01.001
    [38] M. Panteli, P. Mancarella, The grid: Stronger, bigger, smarter?: Presenting a conceptual framework of power system resilience, IEEE Power Energy M., 13 (2015), 58–66. https://doi.org/10.1109/MPE.2015.2397334 doi: 10.1109/MPE.2015.2397334
    [39] I. Podlubny, T. Skovranek, B. Datsko, Recent advances in numerical methods for partial fractional differential equations, In: Proceedings of the 2014 15th International Carpathian Control Conference (ICCC), 2014,454–457. https://doi.org/10.1109/CarpathianCC.2014.6843647
    [40] S. Rafi, J. Santos, S. Meng, P. Mozumder, Extreme weather events and critical infrastructure resilience: Lessons from Hurricane Irma in Florida, Reliab. Eng. Syst. Safe., 265 (2026), 111471. https://doi.org/10.1016/j.ress.2025.111471 doi: 10.1016/j.ress.2025.111471
    [41] M. Rypdal, K. Rypdal, Late quaternary temperature variability described as abrupt transitions on a 1/f noise background, Earth Syst. Dynam., 7 (2016), 281–293. https://doi.org/10.5194/esd-7-281-2016 doi: 10.5194/esd-7-281-2016
    [42] D. Sornette, Why stock markets crash: Critical events in complex financial systems, Princeton University Press, 2017. https://doi.org/10.23943/princeton/9780691175959.001.0001
    [43] P. D. Spanos, A. Di Matteo, H. Zhang, Q. Yue, Z. Xu, Estimation of evolutionary power spectra of univariate stochastic processes by energy-based reckoning, Reliab. Eng. Syst. Safe., 245 (2024), 109962. https://doi.org/10.1016/j.ress.2024.109962 doi: 10.1016/j.ress.2024.109962
    [44] T. Stocker, Climate change 2013: The physical science basis, Cambridge University Press, 2014.
    [45] V. Thompson, D. Mitchell, G. C. Hegerl, M. Collins, N. J. Leach, J. M. Slingo, The most at-risk regions in the world for high-impact heatwaves, Nature Commun., 14 (2023), 2152. https://doi.org/10.1038/s41467-023-37554-1 doi: 10.1038/s41467-023-37554-1
    [46] N. W. Watkins, R. Calel, S. C. Chapman, A. Chechkin, R. Klages, D. A. Stainforth, The challenge of non-Markovian energy balance models in climate, Chaos, 34 (2024), 072105. https://doi.org/10.1063/5.0187815 doi: 10.1063/5.0187815
    [47] J. Y. Yang, Y. L. Wang, Z. Y. Li, Exploring dynamics and pattern formation of a fractional-order three-variable Oregonator model, Netw. Heterog. Media, 20 (2025), 1201–1229. https://doi.org/10.3934/nhm.2025052 doi: 10.3934/nhm.2025052
    [48] J. Zeng, H. Chen, W. J. Yan, Z. Zhao, Q. Wu, Amortized likelihood-free stochastic model updating via conditional diffusion model for structural health monitoring, Reliab. Eng. Syst. Safe., 267 (2026), 111926. https://doi.org/10.1016/j.ress.2025.111926 doi: 10.1016/j.ress.2025.111926
  • Reader Comments
  • © 2026 the Author(s), licensee AIMS Press. This is an open access article distributed under the terms of the Creative Commons Attribution License (http://creativecommons.org/licenses/by/4.0)
通讯作者: 陈斌, bchen63@163.com
  • 1. 

    沈阳化工大学材料科学与工程学院 沈阳 110142

  1. 本站搜索
  2. 百度学术搜索
  3. 万方数据库搜索
  4. CNKI搜索

Metrics

Article views(269) PDF downloads(19) Cited by(0)

Article outline

Figures and Tables

Figures(6)  /  Tables(7)

Other Articles By Authors

/

DownLoad:  Full-Size Img  PowerPoint
Return
Return

Catalog