Research article

Self-triggered delay impulsive control for nonlinear systems with exogenous disturbances

  • Published: 26 March 2026
  • MSC : 93C30

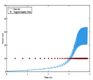
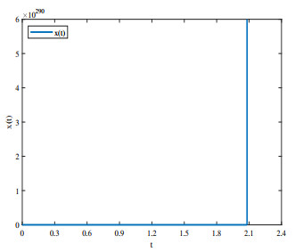
  • This paper investigates input-to-state practical stability (ISpS) for a class of nonlinear dynamic systems subject to time-delayed impulsive effects and external inputs under self-triggered impulsive control (STIC). The considered framework features distinct external disturbances affecting both the continuous dynamics and the impulsive dynamics, with flexible delay characteristics associated with the impulses. To address the challenge of Zeno behavior, a self-triggering mechanism (STM) is proposed that dynamically determines impulse instants based on the combined information of the system state and external disturbances. By employing Lyapunov-based methods, sufficient conditions ensuring ISpS are derived. The theoretical results are further illustrated through an application example, where both the STM and the control gains are designed via matrix inequalities. Finally, two numerical examples are provided to demonstrate the validity and effectiveness of the proposed approach.

    Citation: Biwen Li, Yuan Cai. Self-triggered delay impulsive control for nonlinear systems with exogenous disturbances[J]. AIMS Mathematics, 2026, 11(3): 8014-8030. doi: 10.3934/math.2026330

    Related Papers:

  • This paper investigates input-to-state practical stability (ISpS) for a class of nonlinear dynamic systems subject to time-delayed impulsive effects and external inputs under self-triggered impulsive control (STIC). The considered framework features distinct external disturbances affecting both the continuous dynamics and the impulsive dynamics, with flexible delay characteristics associated with the impulses. To address the challenge of Zeno behavior, a self-triggering mechanism (STM) is proposed that dynamically determines impulse instants based on the combined information of the system state and external disturbances. By employing Lyapunov-based methods, sufficient conditions ensuring ISpS are derived. The theoretical results are further illustrated through an application example, where both the STM and the control gains are designed via matrix inequalities. Finally, two numerical examples are provided to demonstrate the validity and effectiveness of the proposed approach.



    加载中


    [1] E. D. Sontag, Smooth stabilization implies coprime factorization, IEEE Trans. Autom. Control, 34 (1989), 435–443.
    [2] L. Long, Input/output-to-state stability for switched nonlinear systems with unstable subsystems, Int. J. Robust Nonlinear Control, 29 (2019), 3093–3110. https://doi.org/10.1002/rnc.4539 doi: 10.1002/rnc.4539
    [3] Y. Tang, X. Wu, P. Shi, F. Qian, Input-to-state stability for nonlinear systems with stochastic impulses, Automatica, 113 (2020), 108766. https://doi.org/10.1016/j.automatica.2019.108766 doi: 10.1016/j.automatica.2019.108766
    [4] Z. Wang, J. Sun, J. Chen, Finite-time integral input-to-state stability for switched nonlinear time-delay systems with asynchronous switching, Int. J. Robust Nonlinear Control, 31 (2021), 3929–3954. https://doi.org/10.1002/rnc.5424 doi: 10.1002/rnc.5424
    [5] P. Wang, W. Guo, H. Su, Improved input-to-state stability analysis of impulsive stochastic systems, IEEE Trans. Autom. Control, 67 (2022), 2161–2174. https://doi.org/10.1109/TAC.2021.3075763 doi: 10.1109/TAC.2021.3075763
    [6] Z. Liang, X. Liu, Input-to-state hybrid impulsive formation stabilization for multi-agent systems with impulse delays, Commun. Nonlinear Sci. Numer. Simul., 139 (2024), 108323. https://doi.org/10.1016/j.cnsns.2024.108323 doi: 10.1016/j.cnsns.2024.108323
    [7] V. Lakshmikantham, D. Bainov, P. S. Simeonov, Theory of Impulsive Differential Equations, Singapore: World Scientific, 1989.
    [8] T. Yang, Impulsive Control Theory, Berlin: Springer, 2001.
    [9] W. M. Haddad, V. Chellaboina, S. G. Nersesov, Impulsive and Hybrid Dynamical Systems: Stability, Dissipativity, and Control, Princeton: Princeton University Press, 2006.
    [10] W. Chen, W. Zheng, Input-to-state stability and integral input-to-state stability of nonlinear impulsive systems with delays, Automatica, 45 (2009), 1481–1488. https://doi.org/10.1016/j.automatica.2009.02.005 doi: 10.1016/j.automatica.2009.02.005
    [11] S. Dashkovskiy, A. Mironchenko, Input-to-state stability of nonlinear impulsive systems, SIAM J. Control Optim., 51 (2013), 1962–1987.
    [12] L. J. Mancilla-Aguilar, H. Haimovich, Uniform input-to-state stability for switched and time-varying impulsive systems, IEEE Trans. Autom. Control, 65 (2020), 5028–5042. https://doi.org/10.1109/TAC.2020.2968580 doi: 10.1109/TAC.2020.2968580
    [13] B. Liu, J. D. Hill, Z. Sun, Stabilisation to input-to-state stability for continuous-time dynamical systems via event-triggered impulsive control with three levels of events, IET Control Theory Appl., 12 (2018), 1167–1179. https://doi.org/10.1049/iet-cta.2017.0820 doi: 10.1049/iet-cta.2017.0820
    [14] X. Li, T. Zhang, J. Wu, Input-to-state stability of impulsive systems via event-triggered impulsive control, IEEE Trans. Cybernet., 52 (2021), 7187–7195. https://doi.org/10.1109/TCYB.2020.3044003 doi: 10.1109/TCYB.2020.3044003
    [15] X. Li, W. Liu, S. Gorbachev, J. Cao, Event-triggered impulsive control for input-to-state stabilization of nonlinear time-delay systems, IEEE Trans. Cybernet., 54 (2024), 2536–2544. https://doi.org/10.1109/TCYB.2023.3270487 doi: 10.1109/TCYB.2023.3270487
    [16] Y. Tu, J. zhang, Event-triggered impulsive control for input-to-state stability of nonlinear time-delay system with delayed impulse, Math. Biosci. Eng., 22 (2025), 876–896. https://doi.org/10.3934/mbe.2025031 doi: 10.3934/mbe.2025031
    [17] J. Almeida, C. Silvestre, A. M. Pascoal, Self-triggered output feedback control of linear plants in the presence of unknown disturbances, IEEE Trans. Autom. Control, 59 (2014), 3040–3045. https://doi.org/10.1109/TAC.2014.2318091 doi: 10.1109/TAC.2014.2318091
    [18] W. P. M. H. Heemels, K. H. Johansson, P. Tabuada, An introduction to event-triggered and self-triggered control, In: 2012 IEEE 51st IEEE Conference on Decision and Control, 3270–3285, 2012. https://doi.org/10.1109/CDC.2012.6425820
    [19] Y. Li, X. Wang, J. Sun, G. Wang, J. Chen, Self-triggered consensus control of multiagent systems from data, IEEE Trans. Autom. Control, 69 (2024), 4702–4709. https://doi.org/10.1109/TAC.2024.3351865 doi: 10.1109/TAC.2024.3351865
    [20] T. Gommans, D. Antunes, T. Donkers, P. Tabuada, M. Heemels, Self-triggered linear quadratic control, Automatica, 50 (2014), 1279–1287. https://doi.org/10.1016/j.automatica.2014.02.030 doi: 10.1016/j.automatica.2014.02.030
    [21] K. Zhang, C. Liu, Y. Shi, Self-triggered adaptive model predictive control of constrained nonlinear systems: A min-max approach, Automatica, 142 (2022), 110424. https://doi.org/10.1016/j.automatica.2022.110424 doi: 10.1016/j.automatica.2022.110424
    [22] D. Ding, Z. Tang, Y. Wang, Z. Ji, J. H. Park, Secure synchronization for cyber-physical complex networks based on self-triggering impulsive control: static and dynamic method, IEEE Trans. Network Sci. Eng., 8 (2021), 3167–3178. https://doi.org/10.1109/TNSE.2021.3106943 doi: 10.1109/TNSE.2021.3106943
    [23] X. Tan, C. Xiang, J. Cao, W. Xu, G. Wen, L. Rutkowski, Synchronization of neural networks via periodic self-triggered impulsive control and its application in image encryption, IEEE Trans. Cybernet., 52 (2022), 8246–8257. https://doi.org/10.1109/TCYB.2021.3049858 doi: 10.1109/TCYB.2021.3049858
    [24] X. Li, M. Wang, Stability for nonlinear delay systems: Self-triggered impulsive control, Automatica, 160 (2024), 111469. https://doi.org/10.1016/j.automatica.2023.111469 doi: 10.1016/j.automatica.2023.111469
    [25] X. Li, M. Wang, Input-to-state stability of self-triggered impulsive control systems, Automatica, 183 (2026), 112596. https://doi.org/10.1016/j.automatica.2025.112596 doi: 10.1016/j.automatica.2025.112596
    [26] A. Mapui, S. Mukhopadhyay, Lyapunov-like prescribed-time stability of impulsive systems via event & self-triggered impulsive control, Nonlinear Anal.: Hybrid Syst., 57 (2025), 101598. https://doi.org/10.1016/j.nahs.2025.101598 doi: 10.1016/j.nahs.2025.101598
    [27] T. Zhan, Y. Ji, Y. Gao, H. Li, Y. Xia, Self-triggered impulsive control for nonlinear stochastic systems, IEEE/CAA J. Autom. Sin., 12 (2025), 264–266. https://doi.org/10.1109/JAS.2024.124581 doi: 10.1109/JAS.2024.124581
    [28] Z. Zhang, S. Chen, Y. Zheng, Cooperative output regulation for linear multiagent systems via distributed fixed-time event-triggered control, IEEE Trans. Neur. Networks Learning Syst., 35 (2022), 338–347. https://doi.org/10.1109/TNNLS.2022.3174416 doi: 10.1109/TNNLS.2022.3174416
    [29] M. Wang, X. Li, S. Song, Local synchronization for delayed complex dynamical networks via self-triggered impulsive control involving delays, IEEE Trans. Neur. Networks Learning Syst., 36 (2025), 9663–9669. https://doi.org/10.1109/TNNLS.2024.3414126 doi: 10.1109/TNNLS.2024.3414126
    [30] H. Zhou, Y. Chen, D. Chu, W. Li, Impulsive stabilization of complex-valued stochastic complex networks via periodic self-triggered intermittent control, Nonlinear Anal.: Hybrid Syst., 48 (2023), 101304. https://doi.org/10.1016/j.nahs.2022.101304 doi: 10.1016/j.nahs.2022.101304
    [31] W. Liu, X. Li, Self-triggered impulsive control for a class of nonlinear systems with exogenous disturbances, IEEE Trans. Cybernet., 99 (2025), 5050–5056. https://doi.org/10.1109/TCYB.2025.3588556 doi: 10.1109/TCYB.2025.3588556
    [32] W. Dou, S. Ding, J. H. Park, Practical event-triggered finite-time second-order sliding mode controller design, IEEE Trans. Cybernet., 54 (2024), 1972–1983. https://doi.org/10.1109/TCYB.2023.3311424 doi: 10.1109/TCYB.2023.3311424
    [33] T. Xu, Z. Sun, G. Wen, Z. Duan, Data-driven dynamic event-triggered control, IEEE Trans. Autom. Control, 69 (2024), 8804–8811. https://doi.org/10.1109/TAC.2024.3417088 doi: 10.1109/TAC.2024.3417088
    [34] Z. Jiang, I. Mareels, Y. Wang, A Lyapunov formulation of the nonlinear small-gain theorem for interconnected ISS systems, Automatica, 32 (1996), 1211–1215. https://doi.org/10.1016/0005-1098(96)00051-9 doi: 10.1016/0005-1098(96)00051-9
    [35] Z. Wang, L. Yan, Y. Fan, F. Wang, H. Shen, Switching event-triggered-based gain-scheduled control for bipartite synchronization of coupled coopetitive memristive neural networks, IEEE Trans. Syst. Man Cybernet.: Syst., 55 (2025), 6951–6963. https://doi.org/10.1109/TSMC.2025.3594542 doi: 10.1109/TSMC.2025.3594542
    [36] Z. Wang, Y. Ni, Y. Fan, J. Xia, An interval-appointed looped-functional approach for switching event-triggered systems with input saturation and its application to memory-based event-triggered control, IEEE Trans. Control Network Syst., 12 (2025), 1478–1487. https://doi.org/10.1109/TCNS.2025.3526339 doi: 10.1109/TCNS.2025.3526339
  • Reader Comments
  • © 2026 the Author(s), licensee AIMS Press. This is an open access article distributed under the terms of the Creative Commons Attribution License (http://creativecommons.org/licenses/by/4.0)
通讯作者: 陈斌, bchen63@163.com
  • 1. 

    沈阳化工大学材料科学与工程学院 沈阳 110142

  1. 本站搜索
  2. 百度学术搜索
  3. 万方数据库搜索
  4. CNKI搜索

Metrics

Article views(441) PDF downloads(18) Cited by(0)

Article outline

Figures and Tables

Figures(7)

Other Articles By Authors

/

DownLoad:  Full-Size Img  PowerPoint
Return
Return

Catalog