Research article

A dynamic inequality with average condition and applications to predator-prey systems on time scales

  • Published: 09 March 2026
  • MSC : 34N05, 37N25

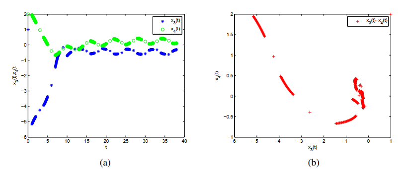
  • In this paper, a dynamic inequality with average condition on time scales is established. Using this inequality, we study the uniform ultimate boundedness of solutions of two predator-prey systems on time scales. Our results extend and generalize some known results about these types of problems. We verify our main results by means of a numerical example.

    Citation: Yang-Yang Yu, Lin-Lin Wang, Zhong-Xin Ma. A dynamic inequality with average condition and applications to predator-prey systems on time scales[J]. AIMS Mathematics, 2026, 11(3): 5954-5965. doi: 10.3934/math.2026246

    Related Papers:

  • In this paper, a dynamic inequality with average condition on time scales is established. Using this inequality, we study the uniform ultimate boundedness of solutions of two predator-prey systems on time scales. Our results extend and generalize some known results about these types of problems. We verify our main results by means of a numerical example.



    加载中


    [1] R. Arditi, L. R. Ginzburg, Coupling in predator-prey dynamics: Ratio-dependence, J. Theor. Biol., 139 (1989), 311–326. https://doi.org/10.1016/S0022-5193(89)80211-5 doi: 10.1016/S0022-5193(89)80211-5
    [2] M. Bohner, E. Girejko, A. B. Malinowska, T. Truong, The uncertain malthusian model on time scales, Proc. Amer. Math. Soc., 152 (2025), 2657–2668. https://doi.org/10.1090/proc/16701 doi: 10.1090/proc/16701
    [3] M. Bohner, A. Peterson, Dynamic equations on time scales: An introduction with applications, Birkhäuser Boston: Springer, 2001. https://doi.org/10.1007/978-1-4612-0201-1
    [4] J. Cui, Y. Takeuchi, Permanence, extinction and periodic solution of predator-prey system with Beddington-DeAngelis functional response, J. Math. Anal. Appl., 317 (2006), 464–474. https://doi.org/10.1016/j.jmaa.2005.10.011 doi: 10.1016/j.jmaa.2005.10.011
    [5] S. Dey, S. Ghorai, M. Banerjee, Analytical detection of stationary and dynamic patterns in a prey-predator model with reproductive Allee effect in prey growth, J. Math. Biol., 87 (2023), 21. https://doi.org/10.1007/s00285-023-01957-x doi: 10.1007/s00285-023-01957-x
    [6] N. H. Du, N. N. Nhu, Permanence and extinction of certain stochastic SIR models perturbed by a complex type of noises, Appl. Math. Lett., 64 (2017), 223–230. https://doi.org/10.1016/j.aml.2016.09.012 doi: 10.1016/j.aml.2016.09.012
    [7] Y. H. Fan, W. T. Li, Harmless delays in a discrete ratio-dependent periodic predator-prey system, Discrete Dyn. Nat. Soc., 2006 (2006), 012176. https://doi.org/10.1155/DDNS/2006/12176 doi: 10.1155/DDNS/2006/12176
    [8] Y. H. Fan, L. L. Wang, Average conditions for the permanence of a bounded discrete predator-prey system, Discrete Dyn. Nat. Soc., 2013 (2013), 508686. https://doi.org/10.1155/2013/508686 doi: 10.1155/2013/508686
    [9] Y. H. Fan, W. T. Li, Permanence in delayed ratio-dependent predator-prey models with monotonic functional responses, Nonlinear Anal. Real World Appl., 8 (2007), 424–434. https://doi.org/10.1016/J.NONRWA.2005.12.003 doi: 10.1016/J.NONRWA.2005.12.003
    [10] M. X. He, F. D. Chen, Z. Li, Permanence and global attractivity of an impulsive delay logistic model, Appl. Math. Lett., 62 (2016), 92–100. https://doi.org/10.1016/j.aml.2016.07.009 doi: 10.1016/j.aml.2016.07.009
    [11] S. Hilger, Ein Maßkettenkalkül mit Anwendung auf Zentrums mannigfaltigkeiten, Ph.D. thesis, Universität of Würzburg, 1988.
    [12] M. D. Johnston, C. Pantea, P. Donnell, A computational approach to persistence, permanence, and endotacticity of biochemical reaction systems, J. Math. Biol., 72 (2016), 467–498. https://doi.org/10.1007/s00285-015-0892-1 doi: 10.1007/s00285-015-0892-1
    [13] V. Lakshmikantham, S. Sivasundaram, B. Kaymakçalan, Dynamic systems on measure chains, New York: Springer, 1996. https://doi.org/10.1007/978-1-4757-2449-3
    [14] H. Y. Li, Z. K. She, Dynamics of a non-autonomous density-dependent predator-prey model with Beddington-DeAngelis type, Int. J. Biomath., 9 (2016), 1650050. https://doi.org/10.1142/S1793524516500509 doi: 10.1142/S1793524516500509
    [15] R. H. Liu, C. Zhang, Y. X. Guo, X. F. Zhang, Intermittent event-triggered control for exponential synchronization of delayed neural networks on time scales, Commun. Nonlinear Sci. Numer. Simul., 137 (2024), 108158. https://doi.org/10.1016/j.cnsns.2024.108158 doi: 10.1016/j.cnsns.2024.108158
    [16] X. K. Ma, Y. Su, X. F. Zou, Joint impact of maturation delay and fear effect on the population dynamics of a predator-Prey system, SIAM J. Appl. Math., 84 (2024), 1557–1579. https://doi.org/10.1137/23M1596569 doi: 10.1137/23M1596569
    [17] M. Q. Ouyang, X. Y. Li, Permanence and asymptotical behavior of stochastic prey-predator system with Markovian switching, Appl. Math. Comput., 266 (2015), 539–559. https://doi.org/10.1016/j.amc.2015.05.083 doi: 10.1016/j.amc.2015.05.083
    [18] A. Parwaliya, A. Singh, A. Kumar, Hopf bifurcation in a delayed prey-predator model with prey refuge involving fear effect, Int. J. Biomath., 17 (2024), 2350042. https://doi.org/10.1142/S1793524523500420 doi: 10.1142/S1793524523500420
    [19] M. J. S. Sahir, F. Chaudhry, D. Faryal, Affinity of several classical and dynamic inequalities with comprehensive approach on time scales, Math. Method Appl. Sci., 48 (2025), 13632–13638. https://doi.org/10.1002/mma.11131 doi: 10.1002/mma.11131
    [20] D. Sahoo, G. Samanta, Oscillatory and transient dynamics of a slow-fast predator-prey system with fear and its carry-over effect, Nonlinear Anal. Real World Appl., 73 (2023), 103888. https://doi.org/10.1016/j.nonrwa.2023.103888 doi: 10.1016/j.nonrwa.2023.103888
    [21] Z. Wang, M. M. Jin, Permanence and extinction of the delay tumor-immune system with the stochastic environment, Int. J. Biomath., 2024. https://doi.org/10.1142/S1793524524501341 doi: 10.1142/S1793524524501341
    [22] G. C. Wu, T. T. Song, S. Q. Wang, Caputo-Hadamard fractional differential equations on time scales: Numerical scheme, asymptotic stability, and chaos, Chaos, 32 (2022), 093143. https://doi.org/10.1063/5.0098375 doi: 10.1063/5.0098375
    [23] Y. Y. Zhao, C. J. Xu, Y. Y. Xu, J. T. Lin, Y. C. Pang, Z. X. Liu, et al., Mathematical exploration on control of bifurcation for a 3D predator-prey model with delay, AIMS Mathematics, 9 (2024), 29883–29915. https://doi.org/10.3934/math.20241445 doi: 10.3934/math.20241445
  • Reader Comments
  • © 2026 the Author(s), licensee AIMS Press. This is an open access article distributed under the terms of the Creative Commons Attribution License (http://creativecommons.org/licenses/by/4.0)
通讯作者: 陈斌, bchen63@163.com
  • 1. 

    沈阳化工大学材料科学与工程学院 沈阳 110142

  1. 本站搜索
  2. 百度学术搜索
  3. 万方数据库搜索
  4. CNKI搜索

Metrics

Article views(290) PDF downloads(17) Cited by(0)

Article outline

Figures and Tables

Figures(1)

Other Articles By Authors

/

DownLoad:  Full-Size Img  PowerPoint
Return
Return

Catalog