Research article Special Issues

Finite-time stability of fractional-order fuzzy inertial neural networks via a new finite-time inequality

  • Published: 09 March 2026
  • MSC : 93D09, 93D20, 93D23

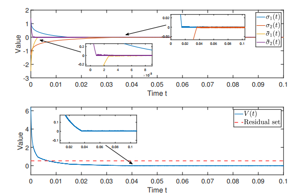
  • This paper investigates the finite-time stability (FTS) of a class of fractional-order fuzzy inertial neural networks (FOFINNs) with time-varying delays. The existing finite-time inequalities for fractional-order systems pose significant theoretical and practical limitations, as they can yield unbounded control inputs when the system state approaches zero. To address this issue, this work introduces a novel finite-time inequality. By incorporating a positive constant into the inequality structure, the proposed method effectively bounds the control signal, ensuring its practical realizability. Utilizing this inequality within a Lyapunov framework alongside an order reduction method (ORM), a composite feedback controller is designed to achieve FTS. Sufficient stability conditions are derived, and an explicit, computable upper bound for the settling time is established. Numerical simulations validate the theoretical results and demonstrate the method's superiority over existing approaches.

    Citation: Tiecheng Zhang, Wenxiang Fang, Liyan Wang, Yulong Lu. Finite-time stability of fractional-order fuzzy inertial neural networks via a new finite-time inequality[J]. AIMS Mathematics, 2026, 11(3): 5936-5953. doi: 10.3934/math.2026245

    Related Papers:

  • This paper investigates the finite-time stability (FTS) of a class of fractional-order fuzzy inertial neural networks (FOFINNs) with time-varying delays. The existing finite-time inequalities for fractional-order systems pose significant theoretical and practical limitations, as they can yield unbounded control inputs when the system state approaches zero. To address this issue, this work introduces a novel finite-time inequality. By incorporating a positive constant into the inequality structure, the proposed method effectively bounds the control signal, ensuring its practical realizability. Utilizing this inequality within a Lyapunov framework alongside an order reduction method (ORM), a composite feedback controller is designed to achieve FTS. Sufficient stability conditions are derived, and an explicit, computable upper bound for the settling time is established. Numerical simulations validate the theoretical results and demonstrate the method's superiority over existing approaches.



    加载中


    [1] G. Tian, Y. Yang, S. Wen, Time-series stock price forecasting based on neural networks: A comprehensive survey, Artif. Intell. Sci. Eng., 1 (2025), 255–277.
    [2] A. Sellami, S. Tabbone, Deep neural networks-based relevant latent representation learning for hyperspectral image classification, Pattern Recognit., 121 (2022), 108224. https://doi.org/10.1016/j.patcog.2021.108224 doi: 10.1016/j.patcog.2021.108224
    [3] K. L. Babcock, R. M. Westervelt, Stability and dynamics of simple electronic neural networks with added inertia, Phys. D, 23 (1986), 464–469. https://doi.org/10.1016/0167-2789(86)90152-1 doi: 10.1016/0167-2789(86)90152-1
    [4] K. L. Babcock, R. M. Westervelt, Dynamics of simple electronic neural networks, Phys. D, 28 (1987), 305–316. https://doi.org/10.1016/0167-2789(87)90021-2 doi: 10.1016/0167-2789(87)90021-2
    [5] Q. Cui, L. Li, J. Cao, Stability of inertial delayed neural networks with stochastic delayed impulses via matrix measure method, Neurocomputing, 471 (2022), 70–78. https://doi.org/10.1016/j.neucom.2021.10.113 doi: 10.1016/j.neucom.2021.10.113
    [6] C. Huang, Exponential stability of inertial neural networks involving proportional delays and non-reduced order method, J. Exp. Theor. Artif. Intell., 32 (2020), 133–146. https://doi.org/10.1080/0952813X.2019.1635654 doi: 10.1080/0952813X.2019.1635654
    [7] K. Udhayakumar, F. A. Rihan, R. Rakkiyappan, J. Cao, Fractional-order discontinuous systems with indefinite LKFs: An application to fractional-order neural networks with time delays, Neural Netw., 145 (2022), 319–330. https://doi.org/10.1016/j.neunet.2021.10.027 doi: 10.1016/j.neunet.2021.10.027
    [8] C. Li, W. Deng, Remarks on fractional derivatives, Appl. Math. Comput., 187 (2007), 777–784. https://doi.org/10.1016/j.amc.2006.08.163 doi: 10.1016/j.amc.2006.08.163
    [9] E. S. N. R. Paidi, H. Marzooghi, J. Yu, V. Terzija, Development and validation of artificial neural network-based tools for forecasting of power system inertia with wind farms penetration, IEEE Syst. J., 14 (2020), 4978–4989. https://doi.org/10.1109/JSYST.2020.3017640 doi: 10.1109/JSYST.2020.3017640
    [10] S. Lakshmanan, M. Prakash, C. P. Lim, R. Rakkiyappan, P. Balasubramaniam, S. Nahavandi, Synchronization of an inertial neural network with time-varying delays and its application to secure communication, IEEE Trans. Neural Netw. Learn. Syst., 29 (2018), 195–207. https://doi.org/10.1109/TNNLS.2016.2619345 doi: 10.1109/TNNLS.2016.2619345
    [11] G. Rajchakit, P. Agarwal, S. Ramalingam, Stability analysis of neural networks, Singapore: Springer, 2021. https://doi.org/10.1007/978-981-16-6534-9
    [12] B. Li, L. Zhao, S. Wen, Periodic event-triggered consensus of stochastic multi-agent systems under switching topology, Artif. Intell. Sci. Eng., 1 (2025), 147–156. https://doi.org/10.23919/AISE.2025.000011 doi: 10.23919/AISE.2025.000011
    [13] S. Zhao, L. Zhao, S. Wen, L. Cheng, Secure synchronization control of markovian jump neural networks under DoS attacks with memory-based adaptive event-triggered mechanism, Artif. Intell. Sci. Eng., 1 (2025), 64–78. https://doi.org/10.23919/AISE.2025.000006 doi: 10.23919/AISE.2025.000006
    [14] J. Xiao, S. Wen, X. Guo, Y. Li, New amplified inequalities and their application on mittag-leffler synchronization problem of fractional-order fuzzy bidirectional associative memory neural networks in octonion-valued field by using a genetic algorithm, Inform. Sci., 727 (2026), 122747. https://doi.org/10.1016/j.ins.2025.122747 doi: 10.1016/j.ins.2025.122747
    [15] L. Luo, L. Li, W. Huang, Q. Cui, Stability of the Caputo fractional-order inertial neural network with delay-dependent impulses, Neurocomputing, 520 (2023), 25–32. https://doi.org/10.1016/j.neucom.2022.11.060 doi: 10.1016/j.neucom.2022.11.060
    [16] Y. Qiu, B. Wang, S. Li, J. Jian, Asymptotic synchronization of fractional-order delayed inertial memristive fuzzy neural networks with impulsive effects, Int. J. Syst. Sci., 2025. https://doi.org/10.1080/00207721.2025.2550557 doi: 10.1080/00207721.2025.2550557
    [17] H. Fan, K. Shi, Z. Guo, A. Zhou, J. Cai, Finite-time synchronization and Mittag–Leffler synchronization for uncertain fractional-order delayed cellular neural networks with fuzzy operators via nonlinear adaptive control, Fractal Fract., 9 (2025), 634. https://doi.org/10.3390/fractalfract9100634 doi: 10.3390/fractalfract9100634
    [18] Q. Wang, Y. J. Qian, Y. H. Qiao, Fixed-time synchronization of discontinuous complex-valued BAM neural networks with time delays, Neurocomputing, 638 (2025), 130160. https://doi.org/10.1016/j.neucom.2025.130160 doi: 10.1016/j.neucom.2025.130160
    [19] Y. J. Qian, Y. H. Qiao, On synchronization of discontinuous competitive fuzzy neural networks with time-varying delays via non-chattering quantization, Neurocomputing, 660 (2026), 131920. https://doi.org/10.1016/j.neucom.2025.131920 doi: 10.1016/j.neucom.2025.131920
    [20] W. Fang, Z. Ma, F. Li, H. Lian, Finite-time stability analysis of fractional-order neural networks with inertial terms and fuzzy logics, Neurocomputing, 652 (2025), 131167. https://doi.org/10.1016/j.neucom.2025.131167 doi: 10.1016/j.neucom.2025.131167
    [21] L. Shao, W. Sun, L. Ding, Finite-time adaptive control of output constrained nonlinear systems under deception attacks, Nonlinear Dyn., 112 (2024), 17273–17290. https://doi.org/10.1007/s11071-024-09951-8 doi: 10.1007/s11071-024-09951-8
    [22] H. Wang, K. Xu, H. Zhang, Adaptive finite-time tracking control of nonlinear systems with dynamics uncertainties, IEEE Trans. Autom. Control, 68 (2023), 5737–5744. https://doi.org/10.1109/TAC.2022.3226703 doi: 10.1109/TAC.2022.3226703
    [23] M. Jozeslami, M. A. Sepestanaki, M. Nafisifar, A. Jalilvand, S. H. Rouhani, S. Mobayen, Finite-time stabilization of floating offshore wind turbines under wind and wave disturbances by adaptive barrier-function fractional-order sliding mode control, IEEE Trans. Sustain. Energ., 16 (2025), 2714–2730. https://doi.org/10.1109/TSTE.2025.3563086 doi: 10.1109/TSTE.2025.3563086
    [24] M. A. Z. Tajrishi, A. A. Kalat, Fast finite time fractional-order robust-adaptive sliding mode control of nonlinear systems with unknown dynamics, J. Comput. Appl. Math., 438 (2024), 115554. https://doi.org/10.1016/j.cam.2023.115554 doi: 10.1016/j.cam.2023.115554
    [25] A. Jiang, C. Hua, Q. Li, H. Li, Event-triggered finite-time adaptive control for uncertain fractional-order stochastic nonlinear systems with output constraints, IEEE Trans. Autom. Sci. Eng., 23 (2026), 508–522. https://doi.org/10.1109/TASE.2025.3635783 doi: 10.1109/TASE.2025.3635783
    [26] Y. Yuan, L. Xie, J. Zhao, Z. G. Liu, Z. Y. Sun, Fast finite-time stabilizing for pure-feedback stochastic nonlinear systems: A neural network dynamic event-triggered strategy, Nonlinear Dyn., 113 (2024), 9915–9929. https://doi.org/10.1007/s11071-024-10606-x doi: 10.1007/s11071-024-10606-x
    [27] X. Peng, H. Wu, J. Cao, Global nonfragile synchronization in finite time for fractional-order discontinuous neural networks with nonlinear growth activations, IEEE Trans. Neural Netw. Learn. Syst., 30 (2019), 2123–2137. https://doi.org/10.1109/TNNLS.2018.2876726 doi: 10.1109/TNNLS.2018.2876726
    [28] H. Li, J. Cao, H. Jiang, A. Alsaedi, Graph theory-based finite-time synchronization of fractional-order complex dynamical networks, J. Franklin Inst., 355 (2018), 5771–5789. https://doi.org/10.1016/j.jfranklin.2018.05.039 doi: 10.1016/j.jfranklin.2018.05.039
    [29] H. Li, C. Hu, L. Zhang, H. Jiang, J. Cao, Complete and finite-time synchronization of fractional-order fuzzy neural networks via nonlinear feedback control, Fuzzy Sets Syst., 443 (2022), 50–69. https://doi.org/10.1016/j.fss.2021.11.004 doi: 10.1016/j.fss.2021.11.004
    [30] F. Du, J. Lu, Finite-time synchronization of fractional-order delayed fuzzy cellular neural networks with parameter uncertainties, IEEE Trans. Fuzzy Syst., 31 (2023), 1769–1779. https://doi.org/10.1109/TFUZZ.2022.3214070 doi: 10.1109/TFUZZ.2022.3214070
    [31] I. Podlubny, Fractional differential equations, Academic Press, 1999.
    [32] X. Hu, L. Wang, Z. Zeng, S. Zhu, J. Hu, Settling-time estimation for finite-time stabilization of fractional-order quaternion-valued fuzzy NNs, IEEE Trans. Fuzzy Syst., 30 (2022), 5460–5472. https://doi.org/10.1109/TFUZZ.2022.3179130 doi: 10.1109/TFUZZ.2022.3179130
    [33] Y. Cheng, H. Zhang, I. Stamova, J. Cao, Estimate scheme for fractional order-dependent fixed-time synchronization on Caputo quaternion-valued BAM network systems with time-varying delays, J. Franklin Inst., 360 (2023), 2379–2403. https://doi.org/10.1016/j.jfranklin.2022.10.055 doi: 10.1016/j.jfranklin.2022.10.055
    [34] M. Yuan, Y. Li, M. Zheng, Novel intermittent pinning control beyond the semigroup framework for fractional-order delayed inertial memristive neural networks, Chaos Solitons Fract., 202 (2026), 117568. https://doi.org/10.1016/j.chaos.2025.117568 doi: 10.1016/j.chaos.2025.117568
    [35] P. Liu, Z. Zeng, J. Wang, Asymptotic and finite-time cluster synchronization of coupled fractional-order neural networks with time delay, IEEE Trans. Neural Netw. Learn. Syst., 31 (2020), 4956–4967. https://doi.org/10.1109/TNNLS.2019.2962006 doi: 10.1109/TNNLS.2019.2962006
    [36] J. Kuang, Applied inequalities, (in Chinese), 3 Eds., Jinan: Shandong Science and Technology Press, 2012.
    [37] L. Zheng, X. Zhang, S. Qian, Comments on "state space modeling and stability theory of variable fractional order systems", In: 2017 29th Chinese control and decision conference (CCDC), 2017, 7862–7865. https://doi.org/10.1109/CCDC.2017.7978621
    [38] G. Zhang, Z. Zeng, Stabilization of second-order memristive neural networks with mixed time delays via nonreduced order, IEEE Trans. Neural Netw. Learn. Syst., 31 (2020), 700–706. https://doi.org/10.1109/TNNLS.2019.2910125 doi: 10.1109/TNNLS.2019.2910125
    [39] G. Zhang, J. Cao, New results on fixed/predefined-time synchronization of delayed fuzzy inertial discontinuous neural networks: Non-reduced order approach, Appl. Math. Comput., 440 (2023), 127671. https://doi.org/10.1016/j.amc.2022.127671 doi: 10.1016/j.amc.2022.127671
    [40] J. Yu, C. Hu, H. Jiang, L. Wang, Exponential and adaptive synchronization of inertial complex-valued neural networks: A non-reduced order and non-separation approach, Neural Netw., 124 (2020), 50–59. https://doi.org/10.1016/j.neunet.2020.01.002 doi: 10.1016/j.neunet.2020.01.002
    [41] J. Wang, X. Wang, Y. Wang, X. Zhang, Non-reduced order method to global h-stability criteria for proportional delay high-order inertial neural networks, Appl. Math. Comput., 407 (2021), 126308. https://doi.org/10.1016/j.amc.2021.126308 doi: 10.1016/j.amc.2021.126308
    [42] F. Kong, Q. Zhu, R. Sakthivel, A. Mohammadzadeh, Fixed-time synchronization analysis for discontinuous fuzzy inertial neural networks with parameter uncertainties, Neurocomputing, 422 (2021), 295–313. https://doi.org/10.1016/j.neucom.2020.09.014 doi: 10.1016/j.neucom.2020.09.014
    [43] D. Xue, Fractional-order control systems: Fundamentals and numerical implementations, Boston: De Gruyter, 2017. https://doi.org/10.1515/9783110497977
  • Reader Comments
  • © 2026 the Author(s), licensee AIMS Press. This is an open access article distributed under the terms of the Creative Commons Attribution License (http://creativecommons.org/licenses/by/4.0)
通讯作者: 陈斌, bchen63@163.com
  • 1. 

    沈阳化工大学材料科学与工程学院 沈阳 110142

  1. 本站搜索
  2. 百度学术搜索
  3. 万方数据库搜索
  4. CNKI搜索

Metrics

Article views(538) PDF downloads(36) Cited by(0)

Article outline

Figures and Tables

Figures(6)  /  Tables(1)

Other Articles By Authors

/

DownLoad:  Full-Size Img  PowerPoint
Return
Return

Catalog