Research article Special Issues

Analysis of Type-Ⅱ censored data from the Kies distribution with classical and generalized approaches

  • Published: 25 November 2025
  • MSC : 62F01, 62N02

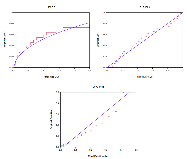
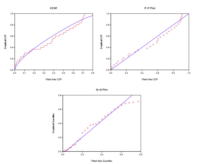
  • This paper investigated statistical inference for the Kies distribution under the Type-Ⅱ censoring scheme; specifically, classical and alternative generalized inferential approaches were proposed for parameter estimation. From the classical likelihood perspective, maximum likelihood estimators for unknown parameters were derived, and the existence and uniqueness of these estimators was also established. The corresponding asymptotic confidence intervals were constructed based on the observed Fisher information matrix. For comparison, an alternative generalized estimation method was conducted based on the constructed pivotal quantities. Finally, the performance of different estimation methods was evaluated via extensive simulation studies, and meanwhile, two real-world data examples were presented to illustrate the applications of the proposed methods.

    Citation: Wei Liu, Liang Wang, Yuhlong Lio, Sanku Dey, Min Wu. Analysis of Type-Ⅱ censored data from the Kies distribution with classical and generalized approaches[J]. AIMS Mathematics, 2025, 10(11): 27480-27512. doi: 10.3934/math.20251208

    Related Papers:

  • This paper investigated statistical inference for the Kies distribution under the Type-Ⅱ censoring scheme; specifically, classical and alternative generalized inferential approaches were proposed for parameter estimation. From the classical likelihood perspective, maximum likelihood estimators for unknown parameters were derived, and the existence and uniqueness of these estimators was also established. The corresponding asymptotic confidence intervals were constructed based on the observed Fisher information matrix. For comparison, an alternative generalized estimation method was conducted based on the constructed pivotal quantities. Finally, the performance of different estimation methods was evaluated via extensive simulation studies, and meanwhile, two real-world data examples were presented to illustrate the applications of the proposed methods.



    加载中


    [1] T. H. M. Abouelmagd, M. S. Hamed, A. Z. Afify, H. Al-Moeh, Z. Iqbal, The Burr X Fréchet distribution with its properties and applications, J. Appl. Probab. Stat., 13 (2018), 23–51.
    [2] S. A. Salem, O. E. Abo-Kasem, A. A. Khairy, Inference for generalized progressive hybrid Type-Ⅱ censored Weibull lifetimes under competing risk data, Comput. J. Math. Stat. Sci., 3 (2024), 177–202. https://doi.org/10.21608/CJMSS.2024.256760.1035 doi: 10.21608/CJMSS.2024.256760.1035
    [3] A. A. Al-Babtain, I. Elbatal, C. Chesneau, M. Elgarhy, Estimation of different types of entropies for the Kumaraswamy distribution, PLoS One, 16 (2021), e0249027. https://doi.org/10.1371/journal.pone.0249027 doi: 10.1371/journal.pone.0249027
    [4] E. M. Almetwally, A. Fayomi, M. E. Qura, Advanced copula-based models for Type Ⅱ censored data: Applications in industrial and medical settings, Mathematics, 12 (2024), 1774. https://doi.org/10.3390/math12121774 doi: 10.3390/math12121774
    [5] E. M. Almetwally, M. A. Sabry, R. Alharbi, D. Alnagar, S. A. Mubarak, E. H. Hafez, Marshall-olkin alpha power Weibull distribution: Different methods of estimation based on Type-Ⅰ and Type-Ⅱ censoring, Complexity, 2021 (2021), 5533799. https://doi.org/10.1155/2021/5533799 doi: 10.1155/2021/5533799
    [6] M. N. Atchadé, M. Nbouké, A. M. Djibril, S. Shahzadi, E. Hussam, R. Aldallal, et al., A new power Topp-Leone distribution with applications to engineering and industry data, PLoS one, 18 (2023), e0278225. https://doi.org/10.1371/journal.pone.0278225 doi: 10.1371/journal.pone.0278225
    [7] D. R. Cox, O. E. Barndorf-Nielsen, Inference and asymptotics, CRC Press, 1994.
    [8] P. Chandra, C. Lodhi, Y. M. Tripathi, Optimum plans for progressive censored competing risk data under Kies distribution, Sankhya B, 86 (2024), 1–40. https://doi.org/10.1007/s13571-023-00315-7 doi: 10.1007/s13571-023-00315-7
    [9] S. Dey, M. Nassar, D. Kumar, Moments and estimation of reduced Kies distribution based on progressive Type-Ⅱ right censored order statistics, Hacet. J. Math. Stat., 48 (2019), 332–350. https://doi.org/10.15672/HJMS.2018.611 doi: 10.15672/HJMS.2018.611
    [10] A. M. El Gazar, D. A. Ramadan, M. ElGarhy, B. S. El-Desouky, Estimation of parameters for inverse power ailamujia and truncated inverse power ailamujia distributions based on progressive Type-Ⅱ censoring scheme, Innov. Stat. Probab., 1 (2025), 76–87. https://doi.org/10.64389/isp.2025.01106 doi: 10.64389/isp.2025.01106
    [11] A. Elshahhat, W. S. Abu El Azm, Statistical reliability analysis of electronic devices using generalized progressively hybrid censoring plan, Qual. Reliab. Eng. Int., 38 (2022), 1112–1130. https://doi.org/10.1002/qre.3058 doi: 10.1002/qre.3058
    [12] P. Feigl, M. Zelen, A new heavy-tailed distribution defined on the bounded interval, Biometrics, 21 (1965), 826–838. https://doi.org/10.2307/2528247 doi: 10.2307/2528247
    [13] B. Guo, X. He, Q. Xia, Y. Sun, J. Xuan, Generalized interval estimation of process capability indices for the Birnbaum-Saunders distribution, Qual. Reliab. Eng. Int., 38 (2022), 4015–4032. https://doi.org/10.1002/qre.3182 doi: 10.1002/qre.3182
    [14] M. A. Ishag, I. Elbatal, A. Wanjoya, A. Adem, E. M. Almetwally, A. Z. Afify, A new parametric Yang-Prentice regression model with applications to real-life survival medical data with crossing survival curves, IEEE Access, 13 (2025), 155462–155473. https://doi.org/10.1109/ACCESS.2025.3601730 doi: 10.1109/ACCESS.2025.3601730
    [15] M. A. Ishag, A. Wanjoya, A. Adem, R. Alsultan, A. S. Alghamdi, A. Z. Afify, The exponentiated-Weibull proportional hazard regression model with application to censored survival data, Alex. Eng. J., 104 (2024), 587–602. https://doi.org/10.1016/j.aej.2024.08.007 doi: 10.1016/j.aej.2024.08.007
    [16] P. Jodrá, A bounded distribution derived from the shifted Gompertz law, J. King Saud Univ. Sci., 32 (2018), 523–536. https://doi.org/10.1016/j.jksus.2018.08.001 doi: 10.1016/j.jksus.2018.08.001
    [17] P. Jodra, M. D. Jimenez-Gamero, A quantile regression model for bounded responses based on the exponential-geometric distribution, REVSTAT-Stat. J., 18 (2020), 415–436.
    [18] M. Ç. Korkmaz, A new heavy-tailed distribution defined on the bounded interval: The logit slash distribution and its application, J. Appl. Stat., 47 (2020), 2097–2119. https://doi.org/10.1080/02664763.2019.1704701 doi: 10.1080/02664763.2019.1704701
    [19] M. Ç. Korkmaz, C. Chesneau, On the unit Burr-Ⅻ distribution with the quantile regression modeling and applications, Comp. Appl. Math., 40 (2021), 29. https://doi.org/10.1007/s40314-021-01418-5 doi: 10.1007/s40314-021-01418-5
    [20] M. Ç. Korkmaz, Z. S. Korkmaz, The unit log-log distribution: A new unit distribution with alternative quantile regression modeling and educational measurements applications, J. Appl. Stat., 50 (2023), 889–908. https://doi.org/10.1080/02664763.2021.2001442 doi: 10.1080/02664763.2021.2001442
    [21] A. Krishna, R. Maya, C. Chesneau, M. R. Irshad, The unit Teissier distribution and its applications, Math. Comput. Appl., 27 (2022), 12. https://doi.org/10.3390/mca27010012 doi: 10.3390/mca27010012
    [22] J. Mazucheli, A. F. Menezes, S. Dey, Unit-Gompertz distribution with applications, Statistica, 79 (2019), 25–43. https://doi.org/10.6092/issn.1973-2201/8497 doi: 10.6092/issn.1973-2201/8497
    [23] W. Q. Meeker, L. A. Escobar, F. G. Pascual, Statistical methods for reliability data, John Wiley & Sons, 2021.
    [24] M. Nassar, A. Z. Afify, S. Dey, D. Kumar, A new extension of Weibull distribution: Properties and different methods of estimation, J. Comput. Appl. Math., 336 (2018), 439–457. https://doi.org/10.1016/j.cam.2017.12.001 doi: 10.1016/j.cam.2017.12.001
    [25] G. W. Oehlert, A note on the delta method, Am. Stat., 46 (1992), 27–29. https://doi.org/10.1080/00031305.1992.10475842 doi: 10.1080/00031305.1992.10475842
    [26] S. Sen, A. Z. Afify, H. Al-Mofleh, M. Ahsanullah, The quasi xgamma-geometric distribution with application in medicine, Filomat, 33 (2019), 5291–5330. https://doi.org/10.2298/FIL1916291S doi: 10.2298/FIL1916291S
    [27] M. A. Stephens, Tests for the exponential distribution in Goodness-of-Fit-Techniques, Routledge, 2017.
    [28] P. Toulis, A useful pivotal quantity, Am. Stat., 71 (2017), 272–274. https://doi.org/10.1080/00031305.2016.1237894 doi: 10.1080/00031305.2016.1237894
    [29] R. Viveros, N. Balakrishnan, Interval estimation of parameters of life from progressively censored data, Technometrics, 36 (1994), 84–91. https://doi.org/10.1080/00401706.1994.10485403 doi: 10.1080/00401706.1994.10485403
    [30] B. X. Wang, Z. S. Ye, Inference on the Weibull distribution based on record values, Comput. Stat. Data Anal., 83 (2015), 26–36. https://doi.org/10.1016/j.csda.2014.09.005 doi: 10.1016/j.csda.2014.09.005
    [31] S. Weerahandi, Generalized inference in repeated measures: Exact methods in MANOVA and mixed models, John Wiley & Sons, 2004.
  • Reader Comments
  • © 2025 the Author(s), licensee AIMS Press. This is an open access article distributed under the terms of the Creative Commons Attribution License (http://creativecommons.org/licenses/by/4.0)
通讯作者: 陈斌, bchen63@163.com
  • 1. 

    沈阳化工大学材料科学与工程学院 沈阳 110142

  1. 本站搜索
  2. 百度学术搜索
  3. 万方数据库搜索
  4. CNKI搜索

Metrics

Article views(868) PDF downloads(36) Cited by(1)

Article outline

Figures and Tables

Figures(10)  /  Tables(14)

Other Articles By Authors

/

DownLoad:  Full-Size Img  PowerPoint
Return
Return

Catalog