Research article Special Issues

Uniform one-sided conformal bands for forward realized volatility curves

  • Published: 24 November 2025
  • MSC : 62M10, 62P05

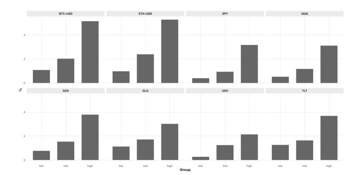
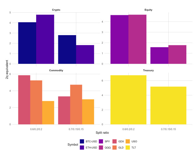
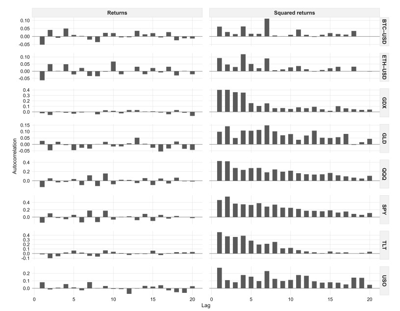
  • We introduce uniform, one-sided conformal prediction bands for forward realized volatility (FRV) paths that control the entire trajectory up to a fixed horizon $ H $ with finite-sample, distribution-free marginal validity. The construction is model-agnostic: A monotone (isotonic) baseline across horizons and robust per-horizon scales are fitted to the training data; a scaled sup-norm score calibrated on a chronological holdout yields the uniform envelope. To address serial dependence, we employ block-maxima calibration; for regime sensitivity, we add group conditional (Mondrian) variants based on training-only state variables. On eight liquid assets, the method achieves conservative uniform coverage while adapting the width to tail risk: Bands are widest for crypto and oil, and tightest for broad equities and treasuries. A simple operational law emerges, namely that the mean one-sided width grows approximately with $ \sqrt{H} $, turning the horizon design into a transparent safety-tightness trade-off. Practical guidance is given as follows: $ \alpha\!\approx\!0.05 $ is a reliable default for thinner tails, while $ \alpha\!\in[0.05, 0.025] $ increases safety where bursts are frequent. Relative to parametric benchmarks such as heterogeneous autoregressive realized volatility (HAR-RV) and generalized autoregressive conditional heteroskedasticity (GARCH) models, our bands remain valid across regimes and stay width competitive in calmer markets. The algorithm is linear in $ nH $ and agrees with deployment diagnostics. Overall, uniform FRV envelopes provide an operationally transparent, model-agnostic tool for pathwise volatility control, with tunable conservatism and simple extensions for dependence, covariate shift, and cross-split stability.

    Citation: Çağlar Sözen. Uniform one-sided conformal bands for forward realized volatility curves[J]. AIMS Mathematics, 2025, 10(11): 27314-27337. doi: 10.3934/math.20251201

    Related Papers:

  • We introduce uniform, one-sided conformal prediction bands for forward realized volatility (FRV) paths that control the entire trajectory up to a fixed horizon $ H $ with finite-sample, distribution-free marginal validity. The construction is model-agnostic: A monotone (isotonic) baseline across horizons and robust per-horizon scales are fitted to the training data; a scaled sup-norm score calibrated on a chronological holdout yields the uniform envelope. To address serial dependence, we employ block-maxima calibration; for regime sensitivity, we add group conditional (Mondrian) variants based on training-only state variables. On eight liquid assets, the method achieves conservative uniform coverage while adapting the width to tail risk: Bands are widest for crypto and oil, and tightest for broad equities and treasuries. A simple operational law emerges, namely that the mean one-sided width grows approximately with $ \sqrt{H} $, turning the horizon design into a transparent safety-tightness trade-off. Practical guidance is given as follows: $ \alpha\!\approx\!0.05 $ is a reliable default for thinner tails, while $ \alpha\!\in[0.05, 0.025] $ increases safety where bursts are frequent. Relative to parametric benchmarks such as heterogeneous autoregressive realized volatility (HAR-RV) and generalized autoregressive conditional heteroskedasticity (GARCH) models, our bands remain valid across regimes and stay width competitive in calmer markets. The algorithm is linear in $ nH $ and agrees with deployment diagnostics. Overall, uniform FRV envelopes provide an operationally transparent, model-agnostic tool for pathwise volatility control, with tunable conservatism and simple extensions for dependence, covariate shift, and cross-split stability.



    加载中


    [1] O. E. Barndorff-Nielsen, N. Shephard, Econometric analysis of realized volatility and its use in estimating stochastic volatility models, J. R. Stat. Soc. B, 64 (2002), 253–280. https://doi.org/10.1111/1467-9868.00336 doi: 10.1111/1467-9868.00336
    [2] T. G. Andersen, T. Bollerslev, F. X. Diebold, P. Labys, Modeling and forecasting realized volatility, Econometrica, 71 (2003), 579–625. https://doi.org/10.1111/1468-0262.00418 doi: 10.1111/1468-0262.00418
    [3] F. Corsi, A simple approximate long-memory model of realized volatility, J. Financ. Economet., 7 (2009), 174–196. https://doi.org/10.1093/jjfinec/nbp001 doi: 10.1093/jjfinec/nbp001
    [4] V. Vovk, A. Gammerman, G. Shafer, Algorithmic learning in a random world, Boston, MA: Springer, 2005. https://doi.org/10.1007/b106715
    [5] J. Lei, M. G'Sell, A. Rinaldo, R. J. Tibshirani, L. Wasserman, Distribution-free predictive inference for regression, J. Am. Stat. Assoc., 113 (2018), 1094–1111. https://doi.org/10.1080/01621459.2017.1307116 doi: 10.1080/01621459.2017.1307116
    [6] A. N. Angelopoulos, S. Bates, Conformal prediction: A gentle introduction, Found. Trends Mach. Le., 16 (2023), 494–591. https://doi.org/10.1561/2200000101 doi: 10.1561/2200000101
    [7] R. E. Barlow, D. J. Bartholomew, J. M. Bremner, H. D. Brunk, Statistical inference under order restrictions: The theory and application of isotonic regression, London and New York: John Wiley & Sons, 1972.
    [8] T. Robertson, F. T. Wright, R. L. Dykstra, Order restricted statistical inference, Chichester: John Wiley & Sons, 1988.
    [9] P. J. Huber, Robust estimation of a location parameter, In: Breakthroughs in statistics, New York, NY: Springer, 1992. https://doi.org/10.1007/978-1-4612-4380-9_35
    [10] P. J. Rousseeuw, C. Croux, Alternatives to the median absolute deviation, J. Am. Stat. Assoc., 88 (1993), 1273–1283. https://doi.org/10.1080/01621459.1993.10476408 doi: 10.1080/01621459.1993.10476408
    [11] R. A. Maronna, R. D. Martin, V. J. Yohai, M. Salibián-Barrera, Robust statistics: Theory and methods (with R), 2Eds, Chichester: John Wiley & Sons, 2019.
    [12] R. F. Barber, E. J. Candès, A. Ramdas, R. J. Tibshirani, Predictive inference with the jackknife+, Ann. Statist., 49 (2021), 486–507. https://doi.org/10.1214/20-AOS1965 doi: 10.1214/20-AOS1965
    [13] R. J. Tibshirani, R. F. Barber, E. J. Candès, A. Ramdas, Conformal prediction under covariate shift, 2020, arXiv: 1904.06019. https://doi.org/10.48550/arXiv.1904.06019
    [14] Y. Romano, E. Patterson, E. J. Candès, Conformalized quantile regression, 2019, arXiv: 1905.03222. https://doi.org/10.48550/arXiv.1905.03222
    [15] J. O. Ramsay, B. W. Silverman, Functional data analysis, New York, NY: Springer. https://doi.org/10.1007/b98888
    [16] T. Hsing, R. Eubank, Theoretical foundations of functional data analysis, with an introduction to linear operators, John Wiley & Sons, 2015. https://doi.org/10.1002/9781118762547
    [17] C. Xu, Y. Xie, Conformal prediction for time series, IEEE T. Pattern Anal., 45 (2023), 11575–11587. https://doi.org/10.1109/TPAMI.2023.3272339 doi: 10.1109/TPAMI.2023.3272339
    [18] Yahoo Finance, Historical daily adjusted prices for BTC-USD, ETH-USD, SPY, QQQ, GLD, GDX, USO, and TLT (2019–2024), 2025. Available from: https://finance.yahoo.com.
    [19] W. Xiao, J. Yu, Asymptotic theory for estimating drift parameters in the fractional Vasicek model, Economet. Theor., 35 (2019), 198–231. https://doi.org/10.1017/S0266466618000051 doi: 10.1017/S0266466618000051
    [20] W. Xiao, J. Yu, Asymptotic theory for rough fractional Vasicek models, Econ. Lett., 177 (2019), 26–29. https://doi.org/10.1016/j.econlet.2019.01.020 doi: 10.1016/j.econlet.2019.01.020
    [21] X. Wang, W. Xiao, J. Yu, Modeling and forecasting realized volatility with the fractional Ornstein–Uhlenbeck process, J. Econometrics, 232 (2023), 389–415. https://doi.org/10.1016/j.jeconom.2021.08.001 doi: 10.1016/j.jeconom.2021.08.001
    [22] Z. Du, H. Yin, X. Zhang, H. Hu, T. Liu, M. Hou, Decarbonisation of data centre networks through computing power migration, In: 2025 IEEE 5th International Conference on Computer Communication and Artificial Intelligence (CCAI), 2025,871–876. https://doi.org/10.1109/CCAI65422.2025.11189418
    [23] S. Giannelos, I. Konstantelos, X. Zhang, G. Strbac, A stochastic optimization model for network expansion planning under exogenous and endogenous uncertainty, Electr. Pow. Syst. Res., 248 (2025), 111894. https://doi.org/10.1016/j.epsr.2025.111894 doi: 10.1016/j.epsr.2025.111894
    [24] Z. Dong, X. Zhang, L. Zhang, S. Giannelos, G. Strbac, Flexibility enhancement of urban energy systems through coordinated space heating aggregation of numerous buildings, Appl. Energ., 374 (2024), 123971. https://doi.org/10.1016/j.apenergy.2024.123971 doi: 10.1016/j.apenergy.2024.123971
  • Reader Comments
  • © 2025 the Author(s), licensee AIMS Press. This is an open access article distributed under the terms of the Creative Commons Attribution License (http://creativecommons.org/licenses/by/4.0)
通讯作者: 陈斌, bchen63@163.com
  • 1. 

    沈阳化工大学材料科学与工程学院 沈阳 110142

  1. 本站搜索
  2. 百度学术搜索
  3. 万方数据库搜索
  4. CNKI搜索

Metrics

Article views(1751) PDF downloads(39) Cited by(2)

Article outline

Figures and Tables

Figures(13)  /  Tables(11)

Other Articles By Authors

/

DownLoad:  Full-Size Img  PowerPoint
Return
Return

Catalog