Research article

Adaptive Grover-driven optimization for quantum-inspired deep learning: A gradient-free training framework

  • Published: 17 November 2025
  • MSC : 91A81, 82B10

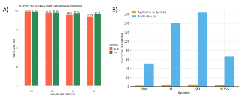
  • Training deep neural networks remains difficult due to vanishing gradients, non-convex loss surfaces, and hyperparameter sensitivity. These obstacles are compounded by quantum machine learning, where barren plateaus, circuit depth, and hardware noise restrict the applicability of gradient-based approaches. To overcome these drawbacks, this study presents adaptive Grover-driven parallel quantum optimization (AG-PQO), a hybrid, gradient-free scheme that leverages Grover's quadratic search speedup, along with adaptive loss-aware discretization and fidelity-based regularization. In contrast to more classical optimizers, such as Adam or evolutionary strategies (ES), which are either sensitive to the adequacy of the gradient update or exhibit poor scaling behavior, AG-PQO optimizes by performing Grover-accelerated candidate exploration across layers and reuses high-quality solutions in quantum memory caching. Testing indicates that AG-PQO yields higher accuracy, 2%–3% above Adam and ES, and faster convergence with less end-value loss than Adam, ES, and quantum feedforward-backpropagation (QFB). It is worth noting that AG-PQO remains stable at the simulated noise level of NISQ and has the potential to scale to near-term quantum processors.

    Citation: Irsa Sajjad, Huda M. Alshanbari, Mohammed M. A. Almazah, Hanen Louati, Sana Rauf. Adaptive Grover-driven optimization for quantum-inspired deep learning: A gradient-free training framework[J]. AIMS Mathematics, 2025, 10(11): 26568-26592. doi: 10.3934/math.20251168

    Related Papers:

  • Training deep neural networks remains difficult due to vanishing gradients, non-convex loss surfaces, and hyperparameter sensitivity. These obstacles are compounded by quantum machine learning, where barren plateaus, circuit depth, and hardware noise restrict the applicability of gradient-based approaches. To overcome these drawbacks, this study presents adaptive Grover-driven parallel quantum optimization (AG-PQO), a hybrid, gradient-free scheme that leverages Grover's quadratic search speedup, along with adaptive loss-aware discretization and fidelity-based regularization. In contrast to more classical optimizers, such as Adam or evolutionary strategies (ES), which are either sensitive to the adequacy of the gradient update or exhibit poor scaling behavior, AG-PQO optimizes by performing Grover-accelerated candidate exploration across layers and reuses high-quality solutions in quantum memory caching. Testing indicates that AG-PQO yields higher accuracy, 2%–3% above Adam and ES, and faster convergence with less end-value loss than Adam, ES, and quantum feedforward-backpropagation (QFB). It is worth noting that AG-PQO remains stable at the simulated noise level of NISQ and has the potential to scale to near-term quantum processors.



    加载中


    [1] I. Goodfellow, Y. Bengio, A. Courville, Deep learning, Cambridge: MIT Press, 2016.
    [2] L. K. Grover, A fast quantum mechanical algorithm for database search, STOC, 1996,212–219. https://doi.org/10.1145/237814.237866 doi: 10.1145/237814.237866
    [3] C. Dürr, P. Høyer, A quantum algorithm for finding the minimum, arXiv Preprint, 1996. https://doi.org/10.48550/arXiv.quant-ph/9607014 doi: 10.48550/arXiv.quant-ph/9607014
    [4] M. Cerezo, A. Arrasmith, R. Babbush, S. C. Benjamin, S. Endo, K. Fujii, et al. Variational quantum algorithms, Nat. Rev. Phys., 3 (2021), 625–644. https://doi.org/10.1038/s42254-021-00348-9 doi: 10.1038/s42254-021-00348-9
    [5] M. Schuld, N. Killoran, Quantum machine learning in feature Hilbert spaces, Phys. Rev. Lett., 122 (2019), 040504. https://doi.org/10.1103/PhysRevLett.122.040504 doi: 10.1103/PhysRevLett.122.040504
    [6] J. R. McClean, S. Boixo, V. N. Smelyanskiy, R. Babbush, H. Neven, Barren plateaus in quantum neural network training landscapes, Nat. Commun., 9 (2018), 4812. https://doi.org/10.1038/s41467-018-07090-4 doi: 10.1038/s41467-018-07090-4
    [7] M. Benedetti, E. Lloyd, S. Sack, M. Fiorentini, Parameterized quantum circuits as machine learning models, Quantum Sci. Technol., 4 (2019), 043001. https://doi.org/10.1088/2058-9565/ab4eb5 doi: 10.1088/2058-9565/ab4eb5
    [8] N. Wiebe, A. Kapoor, K. M. Svore, Quantum deep learning, arXiv Preprint, 2016. https://doi.org/10.48550/arXiv.1602.04799 doi: 10.48550/arXiv.1602.04799
    [9] Ș. A. Jura, M. Udrescu, Quantum-enhanced weight optimization for neural networks using Grover's algorithm, arXiv Preprint, 2025. https://doi.org/10.48550/arXiv.2504.14568 doi: 10.48550/arXiv.2504.14568
    [10] E. Real, A. Aggarwal, Y. Huang, Q. V. Le, Regularized evolution for image classifier architecture search, Proc. AAAI, 33 (2019), 4780–4789. https://doi.org/10.1609/aaai.v33i01.33014780 doi: 10.1609/aaai.v33i01.33014780
    [11] T. Salimans, J. Ho, X. Chen, S. Sidor, I. Sutskever, Evolution strategies as a scalable alternative to reinforcement learning, arXiv Preprint, 2017. https://doi.org/10.48550/arXiv.1703.03864 doi: 10.48550/arXiv.1703.03864
    [12] C. A. Trugenberger, Probabilistic quantum memories, Phys. Rev. Lett., 87 (2002), 067901. https://doi.org/10.1103/PhysRevLett.87.067901 doi: 10.1103/PhysRevLett.87.067901
    [13] I. Hen, Quantum search with prior knowledge, Phys. Rev. A., 89 (2014), 052334. https://doi.org/10.1103/PhysRevA.89.052334 doi: 10.1103/PhysRevA.89.052334
    [14] I. Kerenidis, A. Prakash, Quantum gradient descent for linear systems and least squares, Phys. Rev. A., 101 (2020), 022316. https://doi.org/10.1103/PhysRevA.101.022316 doi: 10.1103/PhysRevA.101.022316
    [15] S. Aaronson, A. Ambainis, Forrelation: A problem that optimally separates quantum from classical computing, SIAM J. Comput., 47 (2018), 982–1038. https://doi.org/10.1137/15M104023X doi: 10.1137/15M104023X
    [16] E. Aïmeur, G. Brassard, S. Gambs, A. Tapp, Quantum clustering algorithms, Mach. Learn. Quantum Comput., 2013, 1–13.
    [17] X. Gao, Z. Y. Zhang, L. M. Duan, Efficient representation of quantum many-body states with deep neural networks, Nat. Commun., 8 (2017), 662. https://doi.org/10.1038/ncomms13885 doi: 10.1038/ncomms13885
    [18] T. G. Tiron, Y. Hindy, R. LaRose, A. Mari, L. Cincio, Digital zero noise extrapolation for quantum error mitigation, arXiv Preprint, 2020. https://doi.org/10.48550/arXiv.2005.10921 doi: 10.48550/arXiv.2005.10921
    [19] K. Temme, S. Bravyi, J. M. Gambetta, Error mitigation for short-depth quantum circuits, Phys. Rev. Lett., 119 (2017), 180509. https://doi.org/10.1103/PhysRevLett.119.180509 doi: 10.1103/PhysRevLett.119.180509
    [20] H. Tang, Y. Wang, A. Gilyen, H. Sun, S. Zhang, CutQC: Using small quantum computers for large quantum circuit evaluations, NeurIPS, 34 (2021), 26960–26973. Available from: https://proceedings.neurips.cc/paper/2021/hash/4d5365c2ad3f5c731a7055c4fa2e90c3-Abstract.html.
    [21] F. Tacchino, C. Macchiavello, D. Gerace, D. Bajoni, An artificial neuron implemented on an actual quantum processor, npj Quantum Inf., 5 (2019), 1–8. https://doi.org/10.1038/s41534-019-0140-4 doi: 10.1038/s41534-019-0140-4
    [22] K. Mitarai, M. Negoro, M. Kitagawa, K. Fujii, Quantum circuit learning, Phys. Rev. A., 98 (2018), 032309. https://doi.org/10.1103/PhysRevA.98.032309 doi: 10.1103/PhysRevA.98.032309
    [23] V. Mnih, K. Kavukcuoglu, D. Silver, A. A. Rusu, J. Veness, M. G. Bellemare, et al., Human-level control through deep reinforcement learning, Nature, 518 (2015), 529–533. https://doi.org/10.1038/nature14236 doi: 10.1038/nature14236
    [24] V. Giovannetti, S. Lloyd, L. Maccone, Quantum random access memory, Phys. Rev. Lett., 100 (2008), 160501. https://doi.org/10.1103/PhysRevLett.100.160501 doi: 10.1103/PhysRevLett.100.160501
    [25] A. Abbas, D. Sutter, C. Zoufal, A. Lucchi, A. Figalli, S. Woerner, The power of quantum neural networks, Nat. Comput. Sci., 1 (2021), 403–409. https://doi.org/10.1038/s43588-021-00084-1 doi: 10.1038/s43588-021-00084-1
    [26] S. Tong, K. Sun, S. Sui, Observer-based adaptive fuzzy decentralized optimal control design for strict-feedback nonlinear large-scale systems, IEEE T. Fuzzy Syst., 26 (2017), 569–584. https://doi.org/10.1109/TFUZZ.2017.2712739 doi: 10.1109/TFUZZ.2017.2712739
    [27] Z. Wang, C. Mu, S. Hu, C. Chu, X. Li, Modelling the dynamics of regret minimization in large agent populations, In: Proceedings of the Thirty-First International Joint Conference on Artificial Intelligence IJCAI, 22 (2022), 534–540. https://doi.org/10.24963/ijcai.2022/75
    [28] X. Wang, N. Pang, Y. Xu, T. Huang, J. Kurths, On state-constrained containment control for nonlinear multiagent systems using event-triggered input, IEEE T. Syst. Man Cy. S., 54 (2024), 2530–2538. https://doi.org/10.1109/TSMC.2023.3273001 doi: 10.1109/TSMC.2023.3273001
    [29] H. Y. Huang, M. Broughton, M. Mohseni, R. Babbush, S. Boixo, H. Neven, et al., Power of data in quantum machine learning, Nat. Commun., 12 (2021), 2631. https://doi.org/10.1038/s41467-021-22539-9 doi: 10.1038/s41467-021-22539-9
    [30] Y. Du, T. Zeng, S. Wang, M. H. Hsieh, Learnability of quantum neural networks, PRX Quantum, 2 (2021), 040337. https://doi.org/10.1103/PRXQuantum.2.040337 doi: 10.1103/PRXQuantum.2.040337
    [31] S. Jerbi, L. J. Fiderer, H. P. Nautrup, J. M. Kübler, H. J. Briegel, V. Dunjko, Quantum machine learning beyond kernel methods, Nat. Commun., 14 (2023), 517. https://doi.org/10.1038/s41467-023-36159-y doi: 10.1038/s41467-023-36159-y
    [32] Z. Cai, R. Babbush, S. C. Benjamin, S. Endo, W. J. Huggins, Y. Li, et al., Quantum error mitigation, Rev. Mod. Phys., 95 (2023), 045005. https://doi.org/10.1103/RevModPhys.95.045005 doi: 10.1103/RevModPhys.95.045005
    [33] L. Bittel, M. Kliesch, Training variational quantum algorithms is NP-hard, Phys. Rev. Lett., 127 (2021), 120502. https://doi.org/10.1103/PhysRevLett.127.120502 doi: 10.1103/PhysRevLett.127.120502
    [34] A. Gilliam, S. Woerner, C. Gonciulea, Grover adaptive search for constrained polynomial binary optimization, Quantum, 5 (2021), 428. https://doi.org/10.22331/q-2021-04-08-428 doi: 10.22331/q-2021-04-08-428
    [35] Y. Du, T. Huang, S. You, M. H. Hsieh, D. Tao, Quantum circuit architecture search for variational algorithms, npj Quantum Inf., 8 (2022), 70. https://doi.org/10.1038/s41534-022-00570-y doi: 10.1038/s41534-022-00570-y
    [36] J. Miao, C. Y. Hsieh, S. X. Zhang, Neural-network-encoded variational quantum algorithms, Phys. Rev. Appl., 21 (2024), 014053. https://doi.org/10.1103/PhysRevApplied.21.014053 doi: 10.1103/PhysRevApplied.21.014053
    [37] Y. Quek, D. S. França, S. Khatri, J. J. Meyer, J. Eisert, Exponentially tighter bounds on limitations of quantum error mitigation, Nat. Phys., 20 (2024), 1648–1658. https://doi.org/10.1038/s41567-024-02536-7 doi: 10.1038/s41567-024-02536-7
    [38] Z. Yin, I. Agresti, G. de Felice, D. Brown, A. Toumi, C. Pentangelo, et al., Experimental quantum-enhanced kernel-based machine learning on a photonic processor, Nat. Photonics, 19 (2025), 1020–1027. https://doi.org/10.1038/s41566-025-01682-5 doi: 10.1038/s41566-025-01682-5
  • Reader Comments
  • © 2025 the Author(s), licensee AIMS Press. This is an open access article distributed under the terms of the Creative Commons Attribution License (http://creativecommons.org/licenses/by/4.0)
通讯作者: 陈斌, bchen63@163.com
  • 1. 

    沈阳化工大学材料科学与工程学院 沈阳 110142

  1. 本站搜索
  2. 百度学术搜索
  3. 万方数据库搜索
  4. CNKI搜索

Metrics

Article views(1724) PDF downloads(55) Cited by(1)

Article outline

Figures and Tables

Figures(8)  /  Tables(7)

/

DownLoad:  Full-Size Img  PowerPoint
Return
Return

Catalog