Research article Special Issues

Starvation-recovery dynamics: insights via a nutritional state-structured model

  • Published: 17 November 2025
  • MSC : 34B15, 34C60, 34D23, 35C07

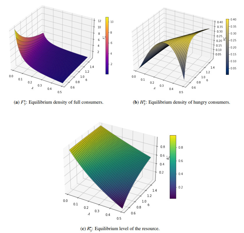
  • This paper presents a nutritional state-structured model (NSM) to explore the dynamics of starvation and recovery in consumer-resource systems, focusing on full consumers ($F$), hungry consumers ($H$), and resources ($R$). The model employs a system of differential equations to capture ecological processes such as reproduction, starvation, and resource regeneration. Through bifurcation analysis, we identified critical thresholds, notably the starvation rate ($\sigma$) relative to the reproduction rate ($\lambda$), that dictate system stability, transitioning between extinction and coexistence equilibria. Parameter sensitive and numerical simulations revealed how parameter variations influence population persistence and resource sustainability, with $\sigma > \lambda$ promoting balanced ecosystems and $\lambda > \sigma$ leading to potential overexploitation. The analogue of the basic reproduction number ($\mathcal{R}_\mathrm{e}$) was derived using the next-generation matrix method, providing insights into the invasion dynamics and stability conditions of the system. This framework serves as a robust tool for analyzing eco-evolutionary interactions and assessing population persistence under resource-limited conditions. Finally, we demonstrated how higher fat reserves enhance competitive advantage, thereby driving the evolutionary trend toward larger body sizes as predicted by Cope's rule.

    Citation: Saiful Rahman Mondal. Starvation-recovery dynamics: insights via a nutritional state-structured model[J]. AIMS Mathematics, 2025, 10(11): 26418-26445. doi: 10.3934/math.20251161

    Related Papers:

  • This paper presents a nutritional state-structured model (NSM) to explore the dynamics of starvation and recovery in consumer-resource systems, focusing on full consumers ($F$), hungry consumers ($H$), and resources ($R$). The model employs a system of differential equations to capture ecological processes such as reproduction, starvation, and resource regeneration. Through bifurcation analysis, we identified critical thresholds, notably the starvation rate ($\sigma$) relative to the reproduction rate ($\lambda$), that dictate system stability, transitioning between extinction and coexistence equilibria. Parameter sensitive and numerical simulations revealed how parameter variations influence population persistence and resource sustainability, with $\sigma > \lambda$ promoting balanced ecosystems and $\lambda > \sigma$ leading to potential overexploitation. The analogue of the basic reproduction number ($\mathcal{R}_\mathrm{e}$) was derived using the next-generation matrix method, providing insights into the invasion dynamics and stability conditions of the system. This framework serves as a robust tool for analyzing eco-evolutionary interactions and assessing population persistence under resource-limited conditions. Finally, we demonstrated how higher fat reserves enhance competitive advantage, thereby driving the evolutionary trend toward larger body sizes as predicted by Cope's rule.



    加载中


    [1] A. P. Allen, J. H. Brown, J. F. Gillooly, Global biodiversity, biochemical kinetics, and the energetic-equivalence rule, Science, 297 (2002), 1545–1548. https://doi.org/10.1126/science.1072380 doi: 10.1126/science.1072380
    [2] S. Bentout, S. Kumar, S. Djilali, Hopf bifurcation analysis in an age-structured heroin model, Eur. Phys. J. Plus, 136 (2021), 260. https://doi.org/10.1140/epjp/s13360-021-01167-8 doi: 10.1140/epjp/s13360-021-01167-8
    [3] S. Bentout, S. Djilali, T. M. Touaoula, A. Zeb, A. Atangana, Bifurcation analysis for a double age dependence epidemic model with two delays, Nonlinear Dyn., 108 (2022), 1821–1835. https://doi.org/10.1007/s11071-022-07234-8 doi: 10.1007/s11071-022-07234-8
    [4] S. Buitrago, R. Escalante, M. Villasana, A hybrid identification method for mathematical models for Zika virus, Math. Methods Appl. Sci., 48 (2025), 14264–14275. https://doi.org/10.1002/mma.11176 doi: 10.1002/mma.11176
    [5] N. Chitnis, J. M. Hyman, J. M. Cushing, Determining important parameters in the spread of malaria through the sensitivity analysis of a mathematical model, Bull. Math. Biol., 70 (2008), 1272–1296. https://doi.org/10.1007/s11538-008-9299-0 doi: 10.1007/s11538-008-9299-0
    [6] P. Broadbridge, R. Cherniha, J. M. Goard, Exact nonclassical symmetry solutions of Lotka–Volterra type population systems, Eur. J. Appl. Math., 34 (2023), 998–1016. https://doi.org/10.1017/S095679252200033X doi: 10.1017/S095679252200033X
    [7] A. Cintrón-Arias, C. Castillo-Chávez, L. Bettencourt, A. L. Lloyd, H. T. Banks, The estimation of the effective reproductive number from disease outbreak data, Math. Biosci. Eng., 6 (2009), 261–282. https://doi.org/10.3934/mbe.2009.6.261 doi: 10.3934/mbe.2009.6.261
    [8] O. Diekmann, J. A. P. Heesterbeek, J. A. J. Metz, On the definition and computation of the basic reproduction ratio $R_0$ in models for infectious diseases in heterogeneous populations, J. Math. Biol., 28 (1990), 365–382. https://doi.org/10.1007/BF00178324 doi: 10.1007/BF00178324
    [9] É. Diz-Pita, M. Victoria Otero-Espinar, Predator–prey models: a review of some recent advances, Mathematics, 9 (2021), 1783. https://doi.org/10.3390/math9151783 doi: 10.3390/math9151783
    [10] A. A. Elsadany, A. M. Yousef, S. A. Ghazwani, A. S. Zaki, Bifurcation analysis of a discrete Basener–Ross population model: exploring multiple scenarios, Computation, 13 (2025), 11. https://doi.org/10.3390/computation13010011 doi: 10.3390/computation13010011
    [11] B. J. Enquist, J. H. Brown, G. B. West, Allometric scaling of plant energetics and population density, Nature, 395 (1998), 163–165. https://doi.org/10.1038/25977 doi: 10.1038/25977
    [12] C. Hou, W. Zuo, M. E. Moses, W. H. Woodruff, J. H. Brown, G. B. West, Energy uptake and allocation during ontogeny, Science, 322 (2008), 736–739. https://doi.org/10.1126/science.1162302 doi: 10.1126/science.1162302
    [13] C. P. Kempes, S. Dutkiewicz, M. J. Follows, Growth, metabolic partitioning, and the size of microorganisms, Proc. Nat. Acad. Sci., 109 (2012), 495–500. https://doi.org/10.1073/pnas.1115585109 doi: 10.1073/pnas.1115585109
    [14] C. P. Kempes, C. Okegbe, Z. Mears-Clarke, L. E. Dietrich, Morphological optimization for access to dual oxidants in biofilms, Proc. Nat. Acad. Sci., 111 (2014), 208–213. https://doi.org/10.1073/pnas.1315521110 doi: 10.1073/pnas.1315521110
    [15] A. Q. Khan, S. M. Qureshi, A. M. Alotaibi, Bifurcation analysis of a three species discrete-time predator-prey model, Alex. Eng. J., 61 (2022), 7853–7875. https://doi.org/10.1016/j.aej.2021.12.068 doi: 10.1016/j.aej.2021.12.068
    [16] M. O. Kulachi, A. Ahmad, E. Hincal, A. H. Ali, M. Farman, M. Taimoor, Control of conjunctivitis virus with and without treatment measures: a bifurcation analysis, J. King Saud Univ.-Sci., 36 (2024), 103273. https://doi.org/10.1016/j.jksus.2024.103273 doi: 10.1016/j.jksus.2024.103273
    [17] A. J. Lotka, Elements of physical biology, Nature, 116 (1925), 461. https://doi.org/10.1038/116461b0 doi: 10.1038/116461b0
    [18] N. A. Magnitskii, Universal bifurcation chaos theory and its new applications, Mathematics, 11 (2023), 2536. https://doi.org/10.3390/math11112536 doi: 10.3390/math11112536
    [19] S. Margenov, N. Popivanov, T. Hristov, V. Koleva, Computing the COVID-19 basic and effective reproduction numbers using actual data: SEIRS model with vaccination and hospitalization, Mathematics, 12 (2024), 3998. https://doi.org/10.3390/math12243998 doi: 10.3390/math12243998
    [20] A. Mezouaghi, S. Djilali, S. Bentout, K. Biroud, Bifurcation analysis of a diffusive predator–prey model with prey social behavior and predator harvesting, Math. Methods Appl. Sci., 45 (2022), 718–731. https://doi.org/10.1002/mma.7807 doi: 10.1002/mma.7807
    [21] M. Nadeem, O. A. Arqub, A. H. Ali, H. A. Neamah, Bifurcation, chaotic analysis and soliton solutions to the (3+1)-dimensional p-type model, Alex. Eng. J., 107 (2024), 245–253. https://doi.org/10.1016/j.aej.2024.07.032 doi: 10.1016/j.aej.2024.07.032
    [22] S. J. Pirt, The maintenance energy of bacteria in growing cultures, Proc. R. Soc. London B: Biol. Sci., 163 (1965), 224–231. https://doi.org/10.1098/rspb.1965.0069 doi: 10.1098/rspb.1965.0069
    [23] R. G. Romanescu, S. Hu, D. Nanton, M. Torabi, O. Tremblay-Savard, M. A. Haque, The effective reproductive number: modeling and prediction with application to the multi-wave COVID-19 pandemic, Epidemics, 44 (2023), 100708. https://doi.org/10.1016/j.epidem.2023.100708 doi: 10.1016/j.epidem.2023.100708
    [24] M. S. Shabbir, Q. Din, M. De la Sen, J. F. Gómez-Aguilar, Exploring dynamics of plant–herbivore interactions: bifurcation analysis and chaos control with Holling type-II functional response, J. Math. Biol., 88 (2024), 8. https://doi.org/10.1007/s00285-023-02020-5 doi: 10.1007/s00285-023-02020-5
    [25] N. H. Shah, J. Gupta, SEIR model and simulation for vector borne diseases, Appl. Math., 4 (2013), 13–17. https://doi.org/10.4236/am.2013.48A003 doi: 10.4236/am.2013.48A003
    [26] M. B. Shapiro, F. Karim, G. Muscioni, A. S. Augustine, Adaptive susceptible-infectious-removed model for continuous estimation of the COVID-19 infection rate and reproduction number in the United States: modeling study, J. Med. Int. Res., 23 (2021), e24389. https://doi.org/10.2196/24389 doi: 10.2196/24389
    [27] M. Swailem, U. C. Täuber, The Lotka–Volterra predator–prey model with periodically varying carrying capacity, Phys. Rev. E, 107 (2023), 064144. https://doi.org/10.1103/PhysRevE.107.064144 doi: 10.1103/PhysRevE.107.064144
    [28] P. Van den Driessche, J. Watmough, Reproduction numbers and subthreshold endemic equilibria for compartmental models of disease transmission, Math. Biosci., 180 (2002), 29–48. https://doi.org/10.1016/S0025-5564(02)00108-6 doi: 10.1016/S0025-5564(02)00108-6
    [29] G. B. West, J. H. Brown, B. J. Enquist, A general model for ontogenetic growth, Nature, 413 (2001), 628–631. https://doi.org/10.1038/35098076 doi: 10.1038/35098076
    [30] J. D. Yeakel, C. P. Kempes, S. Redner, Dynamics of starvation and recovery predict extinction risk and both Damuth's law and Cope's rule, Nat. Commun., 9 (2018), 657. https://doi.org/10.1038/s41467-018-02822-y doi: 10.1038/s41467-018-02822-y
    [31] G. M. Zelleke, M. I. Teboh-Ewungkem, G. A. Ngwa, Bifurcation analysis of a mathematical model for the activated complement-mediated response to bacterial infection in humans: the complement system as part of the innate immune system, Adv. Cont. Discr. Mod., 2025 (2025), 90. https://doi.org/10.1186/s13662-025-03878-z doi: 10.1186/s13662-025-03878-z
    [32] V. Volterra, Variazioni e fluttuazioni del numero d'individui in specie animali conviventi, Memorie della Reale Accademia Nazionale dei Lincei, Series VI, 2 (1926), 31–113.
  • Reader Comments
  • © 2025 the Author(s), licensee AIMS Press. This is an open access article distributed under the terms of the Creative Commons Attribution License (http://creativecommons.org/licenses/by/4.0)
通讯作者: 陈斌, bchen63@163.com
  • 1. 

    沈阳化工大学材料科学与工程学院 沈阳 110142

  1. 本站搜索
  2. 百度学术搜索
  3. 万方数据库搜索
  4. CNKI搜索

Metrics

Article views(921) PDF downloads(33) Cited by(0)

Article outline

Figures and Tables

Figures(12)  /  Tables(2)

Other Articles By Authors

/

DownLoad:  Full-Size Img  PowerPoint
Return
Return

Catalog