Research article Special Issues

Exploration traveling solitary solutions to the modified Korteweg-de Vries equation with advection noise

  • Published: 14 November 2025
  • MSC : 35A20, 83C15, 60H10, 60H15, 35Q51

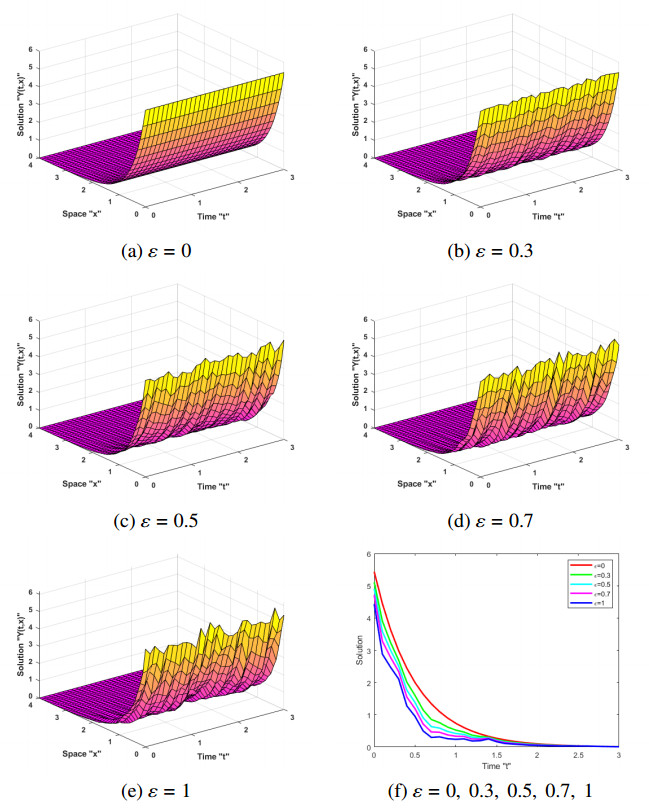
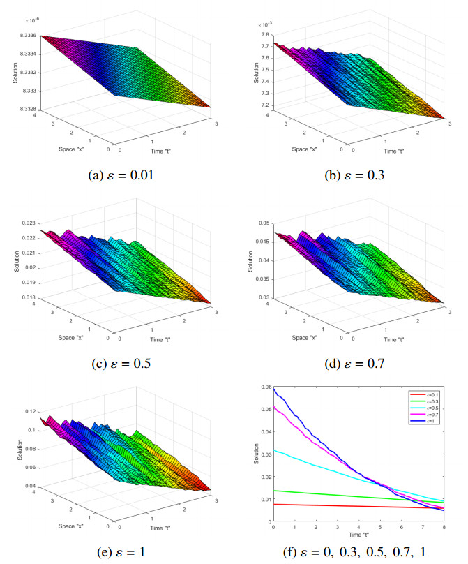
  • In this study, we investigate the stochastic modified Korteweg-de Vries (SmKdV) equation, which is driven in the Itô sense by advection noise. We show that by solving certain deterministic counterparts of the modified Korteweg-de Vries with an extra diffusion term (for short DmKdV), and then combining the results with a solution of stochastic ordinary differential equations, the exact solution of the SmKdV equation may be discovered. We derive soliton solutions for the DmKdV problem using two distinct methods: the extended tanh function approach and the $ \exp (-\psi (\eta)) $ -expansion method. Additionally, we study how the advection noise affects the solutions of the SmKdV equation by presenting several 3D graphs using a MATLAB program.

    Citation: Sofian T. Obeidat, Doaa Rizk, Wael W. Mohammed. Exploration traveling solitary solutions to the modified Korteweg-de Vries equation with advection noise[J]. AIMS Mathematics, 2025, 10(11): 26334-26350. doi: 10.3934/math.20251158

    Related Papers:

  • In this study, we investigate the stochastic modified Korteweg-de Vries (SmKdV) equation, which is driven in the Itô sense by advection noise. We show that by solving certain deterministic counterparts of the modified Korteweg-de Vries with an extra diffusion term (for short DmKdV), and then combining the results with a solution of stochastic ordinary differential equations, the exact solution of the SmKdV equation may be discovered. We derive soliton solutions for the DmKdV problem using two distinct methods: the extended tanh function approach and the $ \exp (-\psi (\eta)) $ -expansion method. Additionally, we study how the advection noise affects the solutions of the SmKdV equation by presenting several 3D graphs using a MATLAB program.



    加载中


    [1] A. M. Wazwaz, G. Q. Xu, Variety of optical solitons for perturbed Fokas–Lenells equation through modified exponential rational function method and other distinct schemes, Optik, 287 (2023), 171011. https://doi.org/10.1016/j.ijleo.2023.171011 doi: 10.1016/j.ijleo.2023.171011
    [2] Y. Y. Wang, Y. P. Zhang, C. Q. Dai, Re-study on localized structures based on variable separation solutions from the modified tanh-function method, Nonlinear Dyn., 83 (2016), 1331–1339. https://doi.org/10.1007/s11071-015-2406-5 doi: 10.1007/s11071-015-2406-5
    [3] Y. Kai, Z. Yin, Linear structure and soliton molecules of Sharma–Tasso–Olver–Burgers equation, Phys. Lett. A, 452 (2022), 128430. https://doi.org/10.1016/j.physleta.2022.128430 doi: 10.1016/j.physleta.2022.128430
    [4] M. S. Ullah, M. Z. Ali, H. O. Roshid, Bifurcation analysis and new wave forms to the fractional KFG equation, Partial Differ. Equ. Appl. Math., 10 (2024), 100716. https://doi.org/10.1016/j.padiff.2024.100716 doi: 10.1016/j.padiff.2024.100716
    [5] M. S. Ullah, Interaction solution to the (3 + 1)-D negative-order KdV first structure, Partial Differ. Equ. Appl. Math., 8 (2023), 100566. https://doi.org/10.1016/j.padiff.2023.100566 doi: 10.1016/j.padiff.2023.100566
    [6] T. Usman, M. S. Ullah, E. Safitri, M. Z. Ali, Soliton outcomes and stability study of the Schrödinger equation With cubic nonlinearity, J. Comput. Nonlinear Dynam., 20 (2025), 1–11. https://doi.org/10.1115/1.4069111 doi: 10.1115/1.4069111
    [7] M. S. Rahaman, M. S. Ullah, M. N. Islam, Novel dynamics of the nonlinear fractional soliton neuron model with sensitivity analysis, AIP Adv., 15 (2025), 085116. https://doi.org/10.1063/5.0282276 doi: 10.1063/5.0282276
    [8] M. S. Ullah, M. Z. Ali, H. O. Roshid, Stability analysis, $ \varphi ^{6}$ model expansion method, and diverse chaos-detecting tools for the DSKP model, Sci. Rep., 15 (2025), 13658. https://doi.org/10.1038/s41598-025-98275-7 doi: 10.1038/s41598-025-98275-7
    [9] M. Abdalla, M. M. Roshid, M. S. Ullah, I. Hossain, Dynamical analysis, and the effect of fractional parameters on optical soliton solution for Yajima–Oikawa model in short-wave and long-wave, Chaos Soliton. Fract., 199 (2025), 116697. https://doi.org/10.1016/j.chaos.2025.116697 doi: 10.1016/j.chaos.2025.116697
    [10] I. Alraddadi, F. Alsharif, S. Malik, H. Ahmad, T. Radwan, K. K. Ahmed, Innovative soliton solutions for a (2 + 1)-dimensional generalized KdV equation using two effective approaches, AIMS Math., 9 (2024), 34966–34980. https://doi.org/10.3934/math.20241664 doi: 10.3934/math.20241664
    [11] I. Samir, K. K. Ahmed, H. M. Ahmed, H. Emadifar, W. B. Rabie, Extraction of newly soliton wave structure of generalized stochastic NLSE with standard Brownian motion, quintuple power law of nonlinearity and nonlinear chromatic dispersion, Phys. Open, 21 (2024), 100232. https://doi.org/10.1016/j.physo.2024.100232 doi: 10.1016/j.physo.2024.100232
    [12] M. A. Helal, Soliton solution of some nonlinear partial differential equations and its applications in fluid mechanics, Chaos Soliton. Fract., 13 (2002), 1917–1929. https://doi.org/10.1016/S0960-0779(01)00189-8 doi: 10.1016/S0960-0779(01)00189-8
    [13] A. H. Khater, O. H. El-Kalaawy, D. K. Callebaut, Bäcklund transformations and exact solutions for Alfvén solitons in a relativistic electron–positron plasma, Phys. Scr., 58 (1998), 545. https://doi.org/10.1088/0031-8949/58/6/001 doi: 10.1088/0031-8949/58/6/001
    [14] Z. P. Li, Y. C. Liu, Analysis of stability and density waves of traffic flow model in an ITS environment, Eur. Phys. J. B, 53 (2006), 367–374. https://doi.org/10.1140/epjb/e2006-00382-7 doi: 10.1140/epjb/e2006-00382-7
    [15] H. Leblond, D. Mihalache, Few-optical-cycle solitons: modified Kortewegde Vries sine-Gordon equation versus other non-slowly-varying-envelopeapproximation models, Phys. Rev. A, 79 (2009), 063835. https://doi.org/10.1103/PhysRevA.79.063835 doi: 10.1103/PhysRevA.79.063835
    [16] R. R. Yuan, Y. Shi, S. L. Zhao, W. Z. Wang, The mKdV equation under the Gaussian white noise and Wiener process: Darboux transformation and stochastic soliton solutions, Chaos Soliton. Fract., 181 (2024), 114709. https://doi.org/10.1016/j.chaos.2024.114709 doi: 10.1016/j.chaos.2024.114709
    [17] C. M. Wei, Y. H. Ren, Z. Q. Xia, Symmetry reductions and soliton-like solutions for stochastic MKdV equation, Chaos Soliton. Fract., 26 (2005), 1507–1513. https://doi.org/10.1016/j.chaos.2005.04.018 doi: 10.1016/j.chaos.2005.04.018
    [18] A. M. Wazwaz, The tanh method for generalized forms of nonlinear heat conduction and Burgers–Fisher equations, Appl. Math. Comput., 169 (2005), 321–338. https://doi.org/10.1016/j.amc.2004.09.054 doi: 10.1016/j.amc.2004.09.054
    [19] Y. Yang, Exact solutions of the mKdV equation, IOP Conf. Ser.: Earth Environ. Sci., 769 (2021), 042040. https://doi.org/10.1088/1755-1315/769/4/042040 doi: 10.1088/1755-1315/769/4/042040
    [20] K. R. Raslan, The application of He's Exp-function method for MKdV and Burgers' equations with variable coefficients, Int. J. Nonlinear Sci., 7 (2009), 174–181.
    [21] N. Taghizadeh, Comparison of solutions of mKdV equation by using the first integral method and ($G^{\prime }/G$)-expansion method, Math. AEterna, 2 (2012), 309–320.
    [22] A. M. Wazwaz, The tanh method for generalized forms of nonlinear heat conduction and Burgers–Fisher equations, Appl. Math. Comput., 169 (2005), 321–338. https://doi.org/10.1016/j.amc.2004.09.054 doi: 10.1016/j.amc.2004.09.054
    [23] A. A. Elmandouha, A. G. Ibrahim, Bifurcation and travelling wave solutions for a (2+1)-dimensional KdV equation, J. Taibah Univ. Sci., 14 (2020), 139–147. https://doi.org/10.1080/16583655.2019.1709271 doi: 10.1080/16583655.2019.1709271
    [24] A. Zafara, A. R. Seadawy, The conformable space-time fractional mKdV equations and their exact solutions, J. King Saud Univ. Sci., 31 (2019), 1478–1484. https://doi.org/10.1016/j.jksus.2019.09.003 doi: 10.1016/j.jksus.2019.09.003
    [25] H. Ur Rehman, M. Inc, M. I. Asjad, A. Habib, Q. Munir, New soliton solutions for the space-time fractional modified third order Korteweg–de Vries equation, J. Ocean Eng. Sci., In Press. https://doi.org/10.1016/j.joes.2022.05.032
    [26] W. W. Mohammed, F. M. Al-Askar, C. Cesarano, The analytical solutions of the stochastic mKdV equation via the mapping method, Mathematics, 10 (2022), 4212. https://doi.org/10.3390/math10224212 doi: 10.3390/math10224212
    [27] W. W. Mohammed, F. M. Al-Askar, New stochastic solitary solutions for the modified Korteweg-de Vries equation with stochastic term/random variable coefficients, AIMS Math., 9 (2024), 20467–20481. https://doi.org/10.3934/math.2024995 doi: 10.3934/math.2024995
    [28] Q. Liu, Various types of exact solutions for stochastic mKdV equation via a modified mapping method, Europhys. Lett., 74 (2006), 377. https://doi.org/10.1209/epl/i2005-10556-5 doi: 10.1209/epl/i2005-10556-5
    [29] C. Q. Dai, J. F. Zhang, Application of He's exp-ftmction method to the stochastic mKdV equation, Int. J. Nonlinear Sci. Numer. Simul., 10 (2009), 675–680. https://doi.org/10.1515/IJNSNS.2009.10.5.675 doi: 10.1515/IJNSNS.2009.10.5.675
    [30] O. Calin, An informal introduction to stochastic calculus with applications, Singapore: World Scientific, 2015. https://doi.org/10.1142/9620
    [31] K. Adjibi, A. Martinez, M. Mascorro, C. Montes, T. Oraby, R. Sandoval, et al., Exact solutions of stochastic Burgers–Korteweg de Vries type equation with variable coefficients, Partial Differ. Equ. Appl. Math., 11 (2024), 100753. https://doi.org/10.1016/j.padiff.2024.100753 doi: 10.1016/j.padiff.2024.100753
    [32] B. $\phi $ksendal, Stochastic differential equations: an introduction with applications, Universitext, Springer-Verlag, Berlin, 1998.
    [33] K. Khan, M. A. Akbar, Application of $ exp(-\varphi (\eta))$-expansion method to find the exact solutions of modified Benjamin-Bona-Mahony equation, World Appl. Sci. J., 24 (2013), 1373–1377.
    [34] M. G. Hafez, M. Y. Ali, M. K. H. Chowdury, M. A. Kauser, Application of the $exp(-\varphi (\eta))$ expansion method for solving nonlinear TRLW and Gardner equations, Int. J. Appl. Math. Comput. Sci., 27 (2016), 44–56.
    [35] E. Fan, Extended tanh-function method and its applications to nonlinear equations, Phys. Lett. A, 277 (2000), 212–218. https://doi.org/10.1016/s0375-9601(00)00725-8 doi: 10.1016/s0375-9601(00)00725-8
  • Reader Comments
  • © 2025 the Author(s), licensee AIMS Press. This is an open access article distributed under the terms of the Creative Commons Attribution License (http://creativecommons.org/licenses/by/4.0)
通讯作者: 陈斌, bchen63@163.com
  • 1. 

    沈阳化工大学材料科学与工程学院 沈阳 110142

  1. 本站搜索
  2. 百度学术搜索
  3. 万方数据库搜索
  4. CNKI搜索

Metrics

Article views(1016) PDF downloads(55) Cited by(1)

Article outline

Figures and Tables

Figures(4)

Other Articles By Authors

/

DownLoad:  Full-Size Img  PowerPoint
Return
Return

Catalog