Research article

Stress-aware multiscale spillover networks: Cross-market transmission via coherence–entropy centrality

  • Published: 14 November 2025
  • MSC : 62M10, 91G70

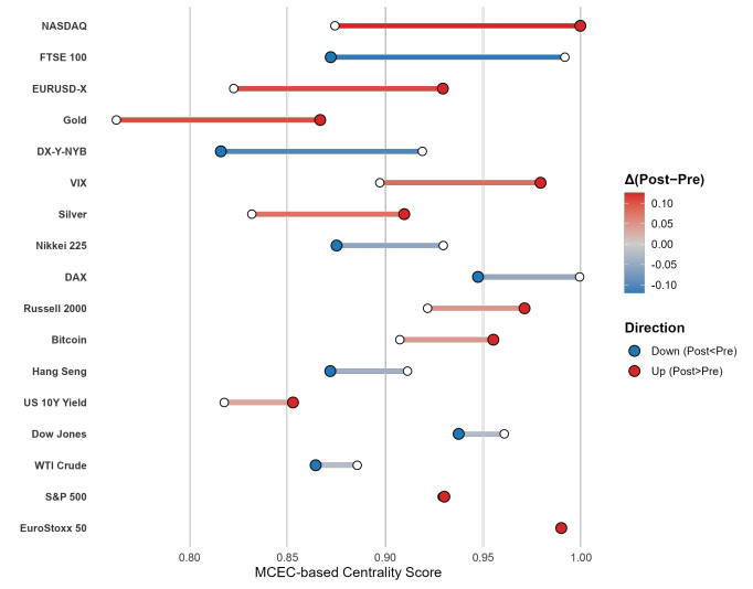
  • Systemic-risk monitoring frameworks are largely built on absolute Pearson correlation networks: Assets are linked if their returns co-move on average, and "systemic hubs" are defined by high degree. Such approaches implicitly assume (ⅰ) a single contagion timescale and (ⅱ) stability of dependence, even though crises typically unfold in layers: A fast equity/volatility unwind, followed by slower stress in funding, FX, rates, and commodities. We proposed a stress-aware, multiscale alternative, and constructed the multiscale coherence–entropy centrality (MCEC) network in which (a) an edge between two assets exists only if their wavelet coherence is statistically significant and persistent across adjacent frequency bands, and (b) node importance is an entropy-weighted multi-horizon strength that is high only if an asset is strongly connected and active across time scales. We then generated a synthetic stressed panel by shocking all assets with a common heavy-tailed t-copula draw scaled by GARCH(1,1) volatilities, and compared MCEC to a traditional absolute-correlation backbone using 2021–2024 data. We reported three findings that are directly relevant for macroprudential supervision. First, under stress, the MCEC network reallocated centrality toward canonical stress transmitters (U.S. equity benchmarks, implied volatility (VIX), dollar/FX, long-term yields, crude oil, and gold), while ordinary correlation networks continued to present a single equity-dominated block. Second, MCEC delivered higher ex-ante classification performance (AUC) in identifying those transmitters even before the stressed regime was applied, indicating early-warning value. Third, MCEC made the stress-driven rewiring of cross-market spillover channels explicit across horizons rather than treating dependence as static.

    Citation: Çağlar Sözen. Stress-aware multiscale spillover networks: Cross-market transmission via coherence–entropy centrality[J]. AIMS Mathematics, 2025, 10(11): 26313-26333. doi: 10.3934/math.20251157

    Related Papers:

  • Systemic-risk monitoring frameworks are largely built on absolute Pearson correlation networks: Assets are linked if their returns co-move on average, and "systemic hubs" are defined by high degree. Such approaches implicitly assume (ⅰ) a single contagion timescale and (ⅱ) stability of dependence, even though crises typically unfold in layers: A fast equity/volatility unwind, followed by slower stress in funding, FX, rates, and commodities. We proposed a stress-aware, multiscale alternative, and constructed the multiscale coherence–entropy centrality (MCEC) network in which (a) an edge between two assets exists only if their wavelet coherence is statistically significant and persistent across adjacent frequency bands, and (b) node importance is an entropy-weighted multi-horizon strength that is high only if an asset is strongly connected and active across time scales. We then generated a synthetic stressed panel by shocking all assets with a common heavy-tailed t-copula draw scaled by GARCH(1,1) volatilities, and compared MCEC to a traditional absolute-correlation backbone using 2021–2024 data. We reported three findings that are directly relevant for macroprudential supervision. First, under stress, the MCEC network reallocated centrality toward canonical stress transmitters (U.S. equity benchmarks, implied volatility (VIX), dollar/FX, long-term yields, crude oil, and gold), while ordinary correlation networks continued to present a single equity-dominated block. Second, MCEC delivered higher ex-ante classification performance (AUC) in identifying those transmitters even before the stressed regime was applied, indicating early-warning value. Third, MCEC made the stress-driven rewiring of cross-market spillover channels explicit across horizons rather than treating dependence as static.



    加载中


    [1] M. Billio, M. Getmansky, A. W. Lo, L. Pelizzon, Econometric measures of connectedness and systemic risk in the finance and insurance sectors, J. Financ. Econ., 104 (2012), 535–559. https://doi.org/10.1016/j.jfineco.2011.12.010 doi: 10.1016/j.jfineco.2011.12.010
    [2] F. X. Diebold, K. Yılmaz, On the network topology of variance decompositions: Measuring the connectedness of financial firms, J. Econometrics, 182 (2014), 119–134. https://doi.org/10.1016/j.jeconom.2014.04.012 doi: 10.1016/j.jeconom.2014.04.012
    [3] T. Adrian, M. K. Brunnermeier, CoVaR, Am. Econ. Rev., 106 (2016), 1705–1741. https://doi.org/10.1257/aer.20120555
    [4] C. Brownlees, R. F. Engle, SRISK: A conditional capital shortfall measure of systemic risk, Rev. Financ. Stud., 30 (2017), 48–79. https://doi.org/10.1093/rfs/hhw060 doi: 10.1093/rfs/hhw060
    [5] K. J. Forbes, R. Rigobon, No contagion, only interdependence: Measuring stock market comovements, J. Finan., 57 (2002), 2223–2261.
    [6] F. Longin, B. Solnik, Extreme correlation of international equity markets, J. Finan., 56 (2001), 649–676.
    [7] J. Baruník, T. Křehlík, Measuring the frequency dynamics of financial connectedness and systemic risk, J. Financ. Economet., 16 (2018), 271–296. https://doi.org/10.1093/jjfinec/nby001 doi: 10.1093/jjfinec/nby001
    [8] L. Aguiar-Conraria, M. J. Soares, Business cycle synchronization and the Euro: A wavelet analysis, J. Macroecon., 33 (2011), 477–489. https://doi.org/10.1016/j.jmacro.2011.02.005 doi: 10.1016/j.jmacro.2011.02.005
    [9] T. Bollerslev, Generalized autoregressive conditional heteroskedasticity, J. Econometrics, 31 (1986), 307–327. https://doi.org/10.1016/0304-4076(86)90063-1 doi: 10.1016/0304-4076(86)90063-1
    [10] S. Demarta, A. J. McNeil, The $t$ copula and related copulas, Int. Stat. Rev., 73 (2005), 111–129. https://doi.org/10.1111/j.1751-5823.2005.tb00254.x doi: 10.1111/j.1751-5823.2005.tb00254.x
    [11] V. Acharya, R. Engle, M. Richardson, Capital shortfall: A new approach to ranking and regulating systemic risks, Am. Econ. Rev., 102 (2012), 59–64. https://doi.org/10.1257/aer.102.3.59 doi: 10.1257/aer.102.3.59
    [12] R. F. Engle, E. Ghysels, B. Sohn, Stock market volatility and macroeconomic fundamentals, Rev. Econ. Stat., 95 (2013), 776–797.
    [13] Yahoo Finance, Historical daily adjusted close prices and benchmark index levels for global equity indices, Bitcoin, macro factors, and commodities (dataset used for the 2021–2024 panel). Available at: https://finance.yahoo.com/. Accessed 17 October 2025.
    [14] D. A. Dickey, W. A. Fuller, Distribution of the estimators for autoregressive time series with a unit root, J. Am. Stat. Assoc., 74 (1979), 427–431. https://doi.org/10.2307/2286348 doi: 10.2307/2286348
    [15] D. Kwiatkowski, P. C. Phillips, P. Schmidt, Y. Shin, Testing the null hypothesis of stationarity against the alternative of a unit root, J. Econometrics, 54 (1992), 159–178. https://doi.org/10.1016/0304-4076(92)90104-Y doi: 10.1016/0304-4076(92)90104-Y
    [16] C. Torrence, G. P. Compo, A practical guide to wavelet analysis, B. Am. Meteorol. Soc., 79 (1998), 61–78. https://doi.org/10.1175/1520-0477(1998)079<0061:APGTWA>2.0.CO;2 doi: 10.1175/1520-0477(1998)079<0061:APGTWA>2.0.CO;2
    [17] A. Grinsted, J. C. Moore, S. Jevrejeva, Application of the cross wavelet transform and wavelet coherence to geophysical time series, Nonlin. Processes Geophys., 11 (2004), 561–566. https://doi.org/10.5194/npg-11-561-2004 doi: 10.5194/npg-11-561-2004
    [18] R. Gençay, F. Selçuk, B. Whitcher, An introduction to wavelets and other filtering methods in finance and economics, 2002, Academic Press. https://doi.org/10.1016/B978-0-12-279670-8.X5000-9
    [19] A. Rua, L. C. Nunes, International comovement of stock market returns: A wavelet analysis, J. Empir. Financ., 16 (2009), 632–639. https://doi.org/10.1016/j.jempfin.2009.02.002 doi: 10.1016/j.jempfin.2009.02.002
    [20] M. E. J. Newman, M. Girvan, Finding and evaluating community structure in networks, Phys. Rev. E, 69 (2004), 026113. https://doi.org/10.1103/PhysRevE.69.026113 doi: 10.1103/PhysRevE.69.026113
    [21] M. Meilă, Comparing clusterings—An information based distance, J. Multivariate Anal., 98 (2007), 873–895. https://doi.org/10.1016/j.jmva.2006.11.013 doi: 10.1016/j.jmva.2006.11.013
  • Reader Comments
  • © 2025 the Author(s), licensee AIMS Press. This is an open access article distributed under the terms of the Creative Commons Attribution License (http://creativecommons.org/licenses/by/4.0)
通讯作者: 陈斌, bchen63@163.com
  • 1. 

    沈阳化工大学材料科学与工程学院 沈阳 110142

  1. 本站搜索
  2. 百度学术搜索
  3. 万方数据库搜索
  4. CNKI搜索

Metrics

Article views(1338) PDF downloads(46) Cited by(0)

Article outline

Figures and Tables

Figures(7)  /  Tables(6)

Other Articles By Authors

/

DownLoad:  Full-Size Img  PowerPoint
Return
Return

Catalog