Research article Special Issues

Stochastic dynamics of solitary waves in the damped mKdV equation: analytical solutions and numerical simulations

  • Published: 11 November 2025
  • MSC : 34A34, 34C15, 34C25, 35L65, 37N30

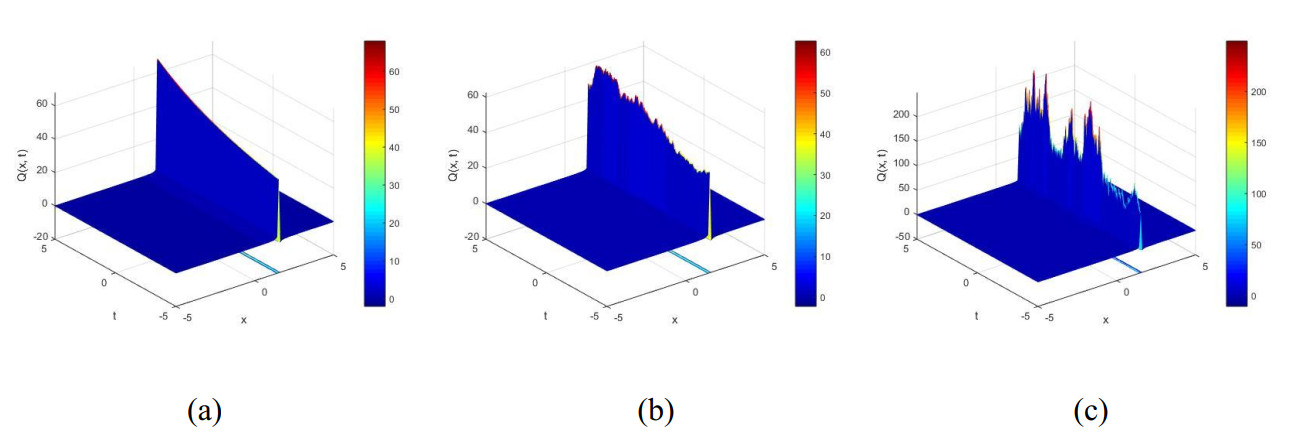
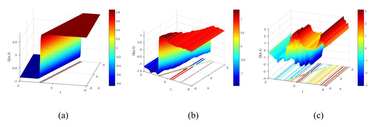
  • In this study, we examined the impact of stochastic factors on the dynamics of nonlinear wave propagation by developing a damped modified Korteweg-de Vries (mKdV) equation incorporating multiplicative noise, mathematically characterized by a Wiener process. Standard deterministic models, although proficient in idealized contexts, frequently fail to accurately depict the complex behaviors elicited by the stochastic fluctuations intrinsic to physical systems. To mitigate this limitation, we utilized a hybrid analytical-numerical approach, employing the modified simple equation method to obtain a spectrum of precise soliton and solitary wave solutions. We ran complementary numerical simulations to find out how different levels of noise affect the time evolution and structural stability of these waveforms. The results showed that solitons keep their structure intact when there is not much noise. Nevertheless, as the noise level grows, the amplitude modulation and potential destabilization become more noticeable. Graphs like density maps and three-dimensional surface plots can be used to see how random changes make waves less predictable. These results demonstrated how crucial it is for nonlinear wave models to include random parts. Future research on complex noise profiles, multi-variable systems, and real-world validation approaches will benefit from this. A stochastic damped mKdV framework, which incorporates multiplicative noise with traditional deterministic or additive-noise analysis, is presented in this article. This paints a fuller picture of the way in which randomness evolves in response to actual system states.

    Citation: Mohra Zayed, Hanadi M. AbdelSalam, Ibtisam Daqqa, S. Abdel-Khalek, E A-B Abdel-Salam, Gamal M. Ismail. Stochastic dynamics of solitary waves in the damped mKdV equation: analytical solutions and numerical simulations[J]. AIMS Mathematics, 2025, 10(11): 25907-25938. doi: 10.3934/math.20251145

    Related Papers:

  • In this study, we examined the impact of stochastic factors on the dynamics of nonlinear wave propagation by developing a damped modified Korteweg-de Vries (mKdV) equation incorporating multiplicative noise, mathematically characterized by a Wiener process. Standard deterministic models, although proficient in idealized contexts, frequently fail to accurately depict the complex behaviors elicited by the stochastic fluctuations intrinsic to physical systems. To mitigate this limitation, we utilized a hybrid analytical-numerical approach, employing the modified simple equation method to obtain a spectrum of precise soliton and solitary wave solutions. We ran complementary numerical simulations to find out how different levels of noise affect the time evolution and structural stability of these waveforms. The results showed that solitons keep their structure intact when there is not much noise. Nevertheless, as the noise level grows, the amplitude modulation and potential destabilization become more noticeable. Graphs like density maps and three-dimensional surface plots can be used to see how random changes make waves less predictable. These results demonstrated how crucial it is for nonlinear wave models to include random parts. Future research on complex noise profiles, multi-variable systems, and real-world validation approaches will benefit from this. A stochastic damped mKdV framework, which incorporates multiplicative noise with traditional deterministic or additive-noise analysis, is presented in this article. This paints a fuller picture of the way in which randomness evolves in response to actual system states.



    加载中


    [1] M. A. Ablowitz, P. A. Clarkson, Solitons, nonlinear evolution equations and inverse scattering, Cambridge University Press, Cambridge, UK, 1992.
    [2] A. Hasegawa, Y. Kodama, Solitons in optical communications, Oxford University Press, Oxford, UK, 1995. https://doi.org/10.1093/oso/9780198565079.001.0001
    [3] M. Lakshmanan, S. Rajasekar, Nonlinear dynamics: integrability, chaos and patterns, Springer, Berlin, Germany, 2003. https://doi.org/10.1007/978-3-642-55688-3
    [4] A. M. Wazwaz, Partial differential equations and solitary waves theory, Springer–HEP, Berlin, Germany, 2009. https://doi.org/10.1007/978-3-642-00251-9
    [5] R. Hirota, The direct method in soliton theory, Cambridge University Press, Cambridge, UK, 2004. https://doi.org/10.1017/CBO9780511543043
    [6] H. Asgari, S. V. Muniandy, C. S. Wong, Dust-acoustic solitary waves in dusty plasmas with non-thermal ions, Phys. Plasmas, 20 (2013), 023705. https://doi.org/10.1063/1.4793743 doi: 10.1063/1.4793743
    [7] T. K. Baluku, M. A. Helberg, Dust acoustic solitons in kappa-distributed plasmas, Phys. Plasmas, 15 (2008), 123705. https://doi.org/10.1063/1.3042215 doi: 10.1063/1.3042215
    [8] B. C. Kalita, R. Kalita, Implicit role of Cairns distributed ions and weak relativistic effects of electrons in the formation of dust acoustic waves in plasma, J. Plasma Phys., 82 (2016), 905820201. https://doi.org/10.1017/S0022377816000167 doi: 10.1017/S0022377816000167
    [9] N. R, Kundu, A. A. Mamun, Dust-ion-acoustic solitary waves in a dusty plasma with arbitrarily charged dust and non-thermal electrons, J. Plasma Phys., 78 (2012), 677–681. https://doi.org/10.1017/S0022377812000578 doi: 10.1017/S0022377812000578
    [10] S. Mehran, T. Mouloud, Large amplitude sust ion acoustic solitons and double layers in dusty plasmas with ion streaming and high-energy tail electron distribution, Commun. Theor. Phys., 61 (2014), 377–383. https://doi.org/10.1088/0253-6102/61/3/18 doi: 10.1088/0253-6102/61/3/18
    [11] F. Verheest, C. P. Olivier, W. A. Hereman, Modified KdV solitons in two-electron-temperature plasmas, J. Plasma Phys., 82 (2016), 905820208. https://doi.org/10.1017/S0022377816000349 doi: 10.1017/S0022377816000349
    [12] B. C. Kalita, S. Das, Comparative study of dust ion acoustic Korteweg–de Vries and modified Korteweg–de Vries solitons in dusty plasmas with variable temperatures, J. Plasma Phys., 83 (2017), 905830502. https://doi.org/10.1017/S0022377817000721 doi: 10.1017/S0022377817000721
    [13] M. Ekici, C. A. Sarmasik, Certain analytical solutions of the concatenation model with a multiplicative white noise in optical fibers, Nonlinear Dyn., 112 (2024), 9459–9476. https://doi.org/10.1007/s11071-024-09478-y doi: 10.1007/s11071-024-09478-y
    [14] M. S. Ahmed, A. Arnous, Y. Yildirim, Optical solitons of the generalized stochastic Gerdjikov-Ivanov equation in the presence of multiplicative white noise, Ukrain. J. Phys. Opt., 25 (2024), S1111–S1130. https://doi.org/10.3116/16091833/Ukr.J.Phys.Opt.2024.S1111 doi: 10.3116/16091833/Ukr.J.Phys.Opt.2024.S1111
    [15] A. H. Arnous, M. S. Ahmed, T. A. Nofal, Y. Yaldirim., Exploring the impact of multiplicative white noise on novel soliton solutions with the perturbed Triki–Biswas equation, Eur. Phys. J. Plus, 139 (2024), 650. https://doi.org/10.1140/epjp/s13360-024-05442-2 doi: 10.1140/epjp/s13360-024-05442-2
    [16] A. H. Arnous, A. M. Elsherbeny, A. Secer, M. Ozisik, M. Bayram, N. A. Shah, et al., Optical solitons for the dispersive concatenation model with spatio-temporal dispersion having multiplicative white noise, Results Phys., 56 (2024), 107299. https://doi.org/10.1016/j.rinp.2023.107299 doi: 10.1016/j.rinp.2023.107299
    [17] K. A. Alsatami, Analysis of solitary wave behavior under stochastic noise in the generalized Schamel equation, Sci. Rep., 15 (2025), 19157. https://doi.org/10.1038/s41598-025-04696-9 doi: 10.1038/s41598-025-04696-9
    [18] A. A. Hassaballa, M. Yavuz, G. A. M. O. Farah, F. A. Almulhim, S. Abdel-Khalek, E. A. B. Abdel-Salam, Mathematical modeling of influence of multiplicative white noise on dynamical soliton solutions in the KdV equation, Math. Open, 4 (2025), 2550013. https://doi.org/10.1142/s2811007225500130 doi: 10.1142/s2811007225500130
    [19] A. R. Ansari, A. Jhangeer, Beenish, M. Imran, A. M. Talafha, Exploring the dynamics of multiplicative noise on the fractional stochastic Fokas–Lenells equation, Partial Differ. Equ. Appl. Math., 14 (2025), 101232. https://doi.org/10.1016/j.padiff.2025.101232 doi: 10.1016/j.padiff.2025.101232
    [20] A. Jhangeer, A. R. Ansari, M. Imran, Beenish, M. B. Riaz, Lie symmetry analysis, and traveling wave patterns arising the model of transmission lines, AIMS Math., 9 (2024), 18013–18033. https://doi.org/10.3934/math.2024878 doi: 10.3934/math.2024878
    [21] B. Infal, A. Jhangeer, M. Muddassar, Exploring attractors and basin dynamics in a new symmetric chaotic system: analysis of complex synchronization patterns, Ain Shams Eng. J., 16 (2025), 103667. https://doi.org/10.1016/j.asej.2025.103667 doi: 10.1016/j.asej.2025.103667
  • Reader Comments
  • © 2025 the Author(s), licensee AIMS Press. This is an open access article distributed under the terms of the Creative Commons Attribution License (http://creativecommons.org/licenses/by/4.0)
通讯作者: 陈斌, bchen63@163.com
  • 1. 

    沈阳化工大学材料科学与工程学院 沈阳 110142

  1. 本站搜索
  2. 百度学术搜索
  3. 万方数据库搜索
  4. CNKI搜索

Metrics

Article views(1077) PDF downloads(51) Cited by(1)

Article outline

Figures and Tables

Figures(24)

/

DownLoad:  Full-Size Img  PowerPoint
Return
Return

Catalog