Research article

Dynamic complexity in a modified Leslie-Gower model with taxis mechanism and digestion delay

  • Published: 10 November 2025
  • MSC : 35B32, 35B35, 35B36, 35K57

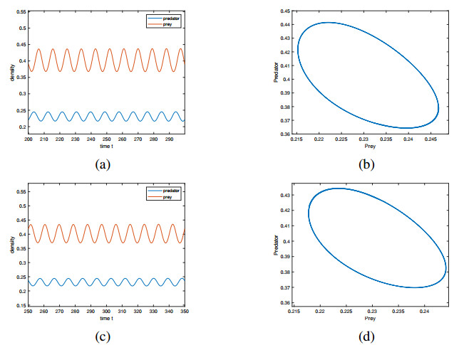
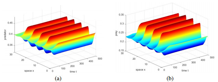
  • In this paper, we investigate the complex spatiotemporal dynamics of a modified Leslie-Gower model with taxis mechanism and digestion delay. First, the boundedness of solutions and the global stability of the positive equilibrium point without digestion delay are obtained. Then, the occurrence conditions for Hopf bifurcation and Turing-Hopf bifurcation under the combined effect of the predator-taxis and digestion delay are obtained. Theoretically, there is no Hopf bifurcation or Turing instability as the taxis mechanism and digestion delay are absent. Our results find that the predator-taxis effect governs the existence of the Turing bifurcation and the emergence of nonhomogeneous patterns, while the digestion delay determines the stability and the existence of periodic solutions. Finally, numerical simulations verify the validity of the theoretical analysis, and homogeneous pattern, nonhomogeneous steady, nonhomogeneous periodic, and mixed patterns are observed. Interestingly, it is further shown that a double Hopf bifurcation emerges, which is induced by the interaction between nonhomogeneous Hopf bifurcations with different modes.

    Citation: Yan Meng, Jiaxin Xiao, Caijuan Jia. Dynamic complexity in a modified Leslie-Gower model with taxis mechanism and digestion delay[J]. AIMS Mathematics, 2025, 10(11): 25879-25906. doi: 10.3934/math.20251144

    Related Papers:

  • In this paper, we investigate the complex spatiotemporal dynamics of a modified Leslie-Gower model with taxis mechanism and digestion delay. First, the boundedness of solutions and the global stability of the positive equilibrium point without digestion delay are obtained. Then, the occurrence conditions for Hopf bifurcation and Turing-Hopf bifurcation under the combined effect of the predator-taxis and digestion delay are obtained. Theoretically, there is no Hopf bifurcation or Turing instability as the taxis mechanism and digestion delay are absent. Our results find that the predator-taxis effect governs the existence of the Turing bifurcation and the emergence of nonhomogeneous patterns, while the digestion delay determines the stability and the existence of periodic solutions. Finally, numerical simulations verify the validity of the theoretical analysis, and homogeneous pattern, nonhomogeneous steady, nonhomogeneous periodic, and mixed patterns are observed. Interestingly, it is further shown that a double Hopf bifurcation emerges, which is induced by the interaction between nonhomogeneous Hopf bifurcations with different modes.



    加载中


    [1] A. J. Lotka, Relation between birth rates and death rates, Science, 26 (1907), 21–22.
    [2] V. Volterra, Variations and fluctuations of the number of individuals in animal species living together, Journal du Conseil, 3 (1928), 3–51. https://doi.org/10.1093/icesjms/3.1.3 doi: 10.1093/icesjms/3.1.3
    [3] X. Yan, Y. Li, G. Guo, Qualitative analysis on a diffusive predator-prey model with toxins, J. Math. Anal. Appl., 486 (2020), 123868. https://doi.org/10.1016/j.jmaa.2020.123868 doi: 10.1016/j.jmaa.2020.123868
    [4] Y. Li, H. Liu, C. W. Lo, On inverse problems in predator-prey models, J. Differ. Equations, 397 (2024), 349–376. https://doi.org/10.1016/j.jde.2024.04.009 doi: 10.1016/j.jde.2024.04.009
    [5] Y. Xing, W. Jiang, X. Cao, Multi-stable and spatiotemporal staggered patterns in a predator-prey model with predator-taxis and delay, Math. Biosci. Eng., 20 (2023), 18413–18444. https://doi.org/10.3934/mbe.2023818 doi: 10.3934/mbe.2023818
    [6] X. Yan, Y. Maimaiti, W. Yang, Stationary pattern and bifurcation of a Leslie-Gower predator-prey model with prey-taxis, Math. Comput. Simulat., 201 (2022), 163–192. https://doi.org/10.1016/j.matcom.2022.05.010 doi: 10.1016/j.matcom.2022.05.010
    [7] W. Li, L. Zhang, J. Cao, A note on turing-hopf bifurcation in a diffusive leslie-gower model with weak allee effect on prey and fear effect on predator, Appl. Math. Lett., 172 (2026), 109741. https://doi.org/10.1016/j.aml.2025.109741 doi: 10.1016/j.aml.2025.109741
    [8] C. Jia, Y. Meng, J. Xiao, Spatially nonhomogeneous patterns for a modified leslie-gower model with predator-taxis, J. Comput. Appl. Math., 464 (2025), 116542. https://doi.org/10.1016/j.cam.2025.116542 doi: 10.1016/j.cam.2025.116542
    [9] M. E. Solomon, The natural control of animal populations, J. Anim. Ecol., 18 (1949), 1–35. https://doi.org/10.2307/1578 doi: 10.2307/1578
    [10] R. Upadhyay, R. Agrawal, Dynamics and responses of a predator-prey system with competitive interference and time delay, Nonlinear Dyn., 83 (2016), 821–837. https://doi.org/10.1007/s11071-015-2370-0 doi: 10.1007/s11071-015-2370-0
    [11] W. Li, W. Zhao, J. Cao, L. Huang, Dynamics of a linear source epidemic system with diffusion and media impact, Z. Angew. Math. Phys., 75 (2024), 144. https://doi.org/10.1007/s00033-024-02271-2 doi: 10.1007/s00033-024-02271-2
    [12] W. Xu, H. Shu, Z. Tang, H. Wang, Complex dynamics in a general diffusive predator-prey model with predator maturation delay, J. Dyn. Diff. Equat., 36 (2024), 1879–1904. https://doi.org/10.1007/s10884-022-10176-9 doi: 10.1007/s10884-022-10176-9
    [13] W. Li, L. Yang, J. Cao, Threshold dynamics of a degenerated diffusive incubation period host-pathogen model with saturation incidence rate, Appl. Math. Lett., 160 (2025), 109312. https://doi.org/10.1016/j.aml.2024.109312 doi: 10.1016/j.aml.2024.109312
    [14] E. F. Keller, L. A. Segel, Model for chemotaxis, J. Theor. Biol., 30 (1971), 225–234. https://doi.org/10.1016/0022-5193(71)90050-6
    [15] M. Banerjee, S. Ghorai, N. Mukherjee, Study of cross-diffusion induced turing patterns in a ratio-dependent prey-predator model via amplitude equations, Appl. Math. Model., 55 (2018), 383–399. https://doi.org/10.1016/j.apm.2017.11.005 doi: 10.1016/j.apm.2017.11.005
    [16] J. Wang, S. Wu, J. Shi, Pattern formation in diffusive predator-prey systems with predator-taxis and prey-taxis, Discrete Cont. Dyn.-B, 26 (2021), 1273–1289. https://doi.org/10.3934/dcdsb.2020162 doi: 10.3934/dcdsb.2020162
    [17] X. Wang, X. Zou, Pattern formation of a predator-prey model with the cost of anti-predator behaviors, Math. Biosci. Eng., 15 (2018), 775–805. https://doi.org/10.3934/mbe.2018035 doi: 10.3934/mbe.2018035
    [18] P. Kareiva, G. Odell, Swarms of predators exhibit prey-taxis if individual predators use area-restricted search, Amer. Nat., 130 (1987), 233–270. https://doi.org/10.1086/284707 doi: 10.1086/284707
    [19] M. Chen, Q. Zheng, Steady state bifurcation of a population model with chemotaxis, Physica A, 609 (2023), 128381. https://doi.org/10.1016/j.physa.2022.128381 doi: 10.1016/j.physa.2022.128381
    [20] M. Chen, Q. Zheng, Predator-taxis creates spatial pattern of a predator-prey model, Chaos Soliton. Fract., 161 (2022), 112332. https://doi.org/10.1016/j.chaos.2022.112332 doi: 10.1016/j.chaos.2022.112332
    [21] S. Wu, J. Wang, J. Shi, Dynamics and pattern formation of a diffusive predator-prey model with predator-taxis, Math. Mod. Meth. Appl. Sci., 28 (2018), 2275–2312. https://doi.org/10.1142/S0218202518400158 doi: 10.1142/S0218202518400158
    [22] H. Jin, Z. Wang, Global stability of prey-taxis systems, J. Differ. Equations, 262 (2017), 1257–1290. https://doi.org/10.1016/j.jde.2016.10.010 doi: 10.1016/j.jde.2016.10.010
    [23] X. Wang, W. Wang, G. Zhang, Global bifurcation of solutions for a predator-prey model with prey-taxis, Math. Method. Appl. Sci., 38 (2015), 431–443. https://doi.org/10.1002/mma.3079 doi: 10.1002/mma.3079
    [24] Y. Li, J. Sun, Spatiotemporal dynamics of a delayed diffusive predator-prey model with hunting cooperation in predator and anti-predator behaviors in prey, Chaos Soliton. Fract., 198 (2025), 116561. https://doi.org/10.1016/j.chaos.2025.116561 doi: 10.1016/j.chaos.2025.116561
    [25] W. Shan, G. Ren, Dynamic behavior of taxis-driven intraguild predation model of three species with bd functional response, Physica D, 476 (2025), 134654. https://doi.org/10.1016/j.physd.2025.134654 doi: 10.1016/j.physd.2025.134654
    [26] Y. Lv, Influence of predator-taxis and time delay on the dynamical behavior of a predator-prey model with prey refuge and predator harvesting, Chaos Soliton. Fract., 196 (2025), 116388. https://doi.org/10.1016/j.chaos.2025.116388 doi: 10.1016/j.chaos.2025.116388
    [27] N. Almuallem, H. Mollah, S. Sarwardi, A study of a prey-predator model with disease in predator including gestation delay, treatment and linear harvesting of predator species, AIMS Mathematics, 10 (2025), 14657–14698. https://doi.org/10.3934/math.2025660 doi: 10.3934/math.2025660
    [28] M. Mukherjee, D. Pal, S. Mahato, E. Bonyah, A. Shaikh, Analysis of prey-predator scheme in conjunction with help and gestation delay, J. Math., 75 (2024), 2708546. https://doi.org/10.1155/2024/2708546 doi: 10.1155/2024/2708546
    [29] Y. Song, Y. Peng, X. Zou, Persistence, stability and hopf bifurcation in a diffusive ratio-dependent predator-prey model with delay, Int. J. Bifurcat. Chaos, 24 (2014), 1450093. https://doi.org/10.1142/S021812741450093X doi: 10.1142/S021812741450093X
    [30] S. Yao, J. Yang, S. Yuan, Bifurcation analysis in a modified Leslie-Gower predator-prey model with fear effect and multiple delays, Math. Biosci. Eng., 21 (2024), 5658–5685. https://doi.org/10.3934/mbe.2024249 doi: 10.3934/mbe.2024249
    [31] Y. Xing, W. Jiang, Turing-hopf bifurcation and bi-stable spatiotemporal periodic orbits in a delayed predator-prey model with predator-taxis, J. Math. Anal. Appl., 533 (2024), 127994. https://doi.org/10.1016/j.jmaa.2023.127994 doi: 10.1016/j.jmaa.2023.127994
    [32] M. Chen, Spatiotemporal inhomogeneous pattern of a predator-prey model with delay and chemotaxis, Nonlinear Dyn., 111 (2023), 19527–19541. https://doi.org/10.1007/s11071-023-08883-z doi: 10.1007/s11071-023-08883-z
    [33] M. Chen, R. Wu, Dynamics of a harvested predator-prey model with predator-taxis, Bull. Malays. Math. Sci. Soc., 46 (2023), 76. https://doi.org/10.1007/s40840-023-01470-w doi: 10.1007/s40840-023-01470-w
  • Reader Comments
  • © 2025 the Author(s), licensee AIMS Press. This is an open access article distributed under the terms of the Creative Commons Attribution License (http://creativecommons.org/licenses/by/4.0)
通讯作者: 陈斌, bchen63@163.com
  • 1. 

    沈阳化工大学材料科学与工程学院 沈阳 110142

  1. 本站搜索
  2. 百度学术搜索
  3. 万方数据库搜索
  4. CNKI搜索

Metrics

Article views(770) PDF downloads(57) Cited by(0)

Article outline

Figures and Tables

Figures(11)

Other Articles By Authors

/

DownLoad:  Full-Size Img  PowerPoint
Return
Return

Catalog