Research article Special Issues

Stability and bifurcation of a fractional-order phytoplankton-zooplankton model with Holling type-Ⅱ response

  • Published: 06 November 2025
  • MSC : 34K37, 26A33, 37M15, 70J50, 34K20, 74H55, 35B32, 37G15, 34H10

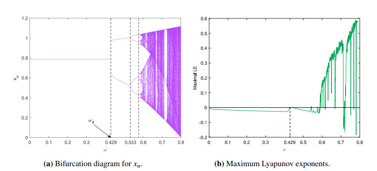
  • Fractional-order differential equations have recently been utilized in phytoplankton-zooplankton models to represent genetics influences. These influences are frequently seen in aquatic ecosystems but cannot be completely explained by standard integer-order models. The focus of this work was to analyze the dynamics of a fractional-order phytoplankton-zooplankton model that incorporates a Holling type-Ⅱ functional response. This model was discretized using the Caputo fractional derivative. We carried out an extensive stability analysis to determine the equilibrium states of the system and establish the requirements under which these points are stable or unstable. We used the bifurcation theory to investigate the development of bifurcations when the parameters of the considered model varied, which showed intricate dynamical features including chaos and oscillations. We analyzed Neimark-Sacker and flip bifurcations using a discretization parameter $ \omega. $ The chaos control was presented. Computational simulations were executed in order to independently confirm the theoretical results and point out the diverse dynamics that the model displays. Our findings provide further clarification on the interactions between phytoplankton and zooplankton species, demonstrating significant environmental implications for marine ecosystems.

    Citation: M. B. Almatrafi. Stability and bifurcation of a fractional-order phytoplankton-zooplankton model with Holling type-Ⅱ response[J]. AIMS Mathematics, 2025, 10(11): 25545-25567. doi: 10.3934/math.20251131

    Related Papers:

  • Fractional-order differential equations have recently been utilized in phytoplankton-zooplankton models to represent genetics influences. These influences are frequently seen in aquatic ecosystems but cannot be completely explained by standard integer-order models. The focus of this work was to analyze the dynamics of a fractional-order phytoplankton-zooplankton model that incorporates a Holling type-Ⅱ functional response. This model was discretized using the Caputo fractional derivative. We carried out an extensive stability analysis to determine the equilibrium states of the system and establish the requirements under which these points are stable or unstable. We used the bifurcation theory to investigate the development of bifurcations when the parameters of the considered model varied, which showed intricate dynamical features including chaos and oscillations. We analyzed Neimark-Sacker and flip bifurcations using a discretization parameter $ \omega. $ The chaos control was presented. Computational simulations were executed in order to independently confirm the theoretical results and point out the diverse dynamics that the model displays. Our findings provide further clarification on the interactions between phytoplankton and zooplankton species, demonstrating significant environmental implications for marine ecosystems.



    加载中


    [1] S. Daun, J. Rubin, Y. Vodovotz, G. Clermont, Equation-based models of dynamic biological systems, J. Crit. Care, 23 (2008), 585–594. https://doi.org/10.1016/j.jcrc.2008.02.003 doi: 10.1016/j.jcrc.2008.02.003
    [2] V. Volpert, S. Petrovskii, Reaction-diffusion waves in biology: New trends, recent developments, Phys. Life Rev., 52 (2025), 1–20. https://doi.org/10.1016/j.plrev.2024.11.007 doi: 10.1016/j.plrev.2024.11.007
    [3] M. S. Asl, M. Javidi, Novel algorithms to estimate nonlinear fdes: Applied to fractional order nutrient-phytoplankton–zooplankton system, J. Comput. Appl. Math., 339 (2018), 193–207. https://doi.org/10.1016/j.cam.2017.10.030 doi: 10.1016/j.cam.2017.10.030
    [4] D. Priyadarsini, P. Sahu, M. Routaray, D. Chalishajar, Numerical treatment for time fractional order phytoplankton-toxic phytoplankton-zooplankton system, AIMS Math., 9 (2024), 3349–3368. https://doi.org/10.3934/math.2024164 doi: 10.3934/math.2024164
    [5] P. Li, R. Gao, C. Xu, Y. Li, A. Akgül, D. Baleanu, Dynamics exploration for a fractional-order delayed zooplankton–phytoplankton system, Chaos Soliton. Fract., 166 (2023), 112975. https://doi.org/10.1016/j.chaos.2022.112975 doi: 10.1016/j.chaos.2022.112975
    [6] S. Pleumpreedaporn, C. Pleumpreedaporn, J. Kongson, C. Thaiprayoon, J. Alzabut, W. Sudsutad, Dynamical analysis of nutrient-phytoplankton-zooplankton model with viral disease in phytoplankton species under atangana-baleanu-caputo derivative, Mathematics, 10 (2022), 1578. https://doi.org/10.3390/math10091578 doi: 10.3390/math10091578
    [7] R. Shi, J. Ren, C. Wang, Stability analysis and hopf bifurcation of a fractional order mathematical model with time delay for nutrient-phytoplankton-zooplankton, Math. Biosci. Eng., 17 (2020), 3836–3868. https://doi.org/10.3934/mbe.2020214 doi: 10.3934/mbe.2020214
    [8] R. Premakumari, C. Baishya, M. E. Samei, M. K. Naik, A novel optimal control strategy for nutrient-phytoplankton-zooplankton model with viral infection in plankton, Commun. Nonlinear Sci., 137 (2024), 108157. https://doi.org/10.1016/j.cnsns.2024.108157 doi: 10.1016/j.cnsns.2024.108157
    [9] C. Xu, W. Ou, Q. Cui, Y. Pang, M. Liao, J. Shen, et al., Theoretical exploration and controller design of bifurcation in a plankton population dynamical system accompanying delay, Discrete Cont. Dyn.-S. 18 (2024), 1182–1211. https://doi.org/10.3934/dcdss.2024036 doi: 10.3934/dcdss.2024036
    [10] I. Podlubny, Fractional differential equations, USA, New York: Academic Press, 1999.
    [11] M. Berkal, M. B. Almatrafi, Bifurcation and stability of two-dimensional activator–inhibitor model with fractional-order derivative, Fractal Fract., 7 (2023), 344. https://doi.org/10.3390/fractalfract7050344 doi: 10.3390/fractalfract7050344
    [12] M. Berkal, J. F. Navarro, Qualitative behavior of a two-dimensional discrete-time prey–predator model, Comput. Math. Methods, 3 (2021), e1193. https://doi.org/10.1002/cmm4.1193 doi: 10.1002/cmm4.1193
    [13] M. Berkal, J. F. Navarro, Qualitative study of a second order difference equation, Turk. J. Math., 47 (2023), 516–527. https://doi.org/10.55730/1300-0098.3375 doi: 10.55730/1300-0098.3375
    [14] M. Almatrafi, M. Berkal, Bifurcation analysis and chaos control for prey-predator model with allee effect, Int. J. Anal. Appl., 21 (2023), 131. https://doi.org/10.28924/2291-8639-21-2023-131 doi: 10.28924/2291-8639-21-2023-131
    [15] M. Azioune, M. S. Abdelouahab, R. Lozi, Bifurcation analysis of a cournot triopoly game with bounded rationality and chaos control via the ogy method, Int. J. Bifurcat. Chaos, 35 (2025), 2530019. https://doi.org/10.1142/S0218127425300198 doi: 10.1142/S0218127425300198
    [16] M. B. Almatrafi, M. Berkal, Bifurcation analysis and chaos control for fractional predator-prey model with gompertz growth of prey population, Mod. Phys. Lett. B, 2550103. https://doi.org/10.1142/S0217984925501039
    [17] M. S. A. Elouahab, N. E. Hamri, J. Wang, Chaos control of a fractional-order financial system, Math. Probl. Eng., 2010 (2010), 270646. https://doi.org/10.1155/2010/270646 doi: 10.1155/2010/270646
    [18] M. Berkal, J. F. Navarro, Dynamics of a discrete-time predator-prey system with ratio-dependent functional response, Miskolc Math. Notes, 26 (2025), 81–99. https://doi.org/10.18514/MMN.2025.4546 doi: 10.18514/MMN.2025.4546
    [19] M. S. Khan, M. Samreen, J. G. Aguilar, E. P. Careta, On the qualitative study of a discrete-time phytoplankton-zooplankton model under the effects of external toxicity in phytoplankton population, Heliyon, 8 (2022), e12415. https://doi.org/10.1016/j.heliyon.2022.e12415 doi: 10.1016/j.heliyon.2022.e12415
  • Reader Comments
  • © 2025 the Author(s), licensee AIMS Press. This is an open access article distributed under the terms of the Creative Commons Attribution License (http://creativecommons.org/licenses/by/4.0)
通讯作者: 陈斌, bchen63@163.com
  • 1. 

    沈阳化工大学材料科学与工程学院 沈阳 110142

  1. 本站搜索
  2. 百度学术搜索
  3. 万方数据库搜索
  4. CNKI搜索

Metrics

Article views(876) PDF downloads(59) Cited by(2)

Article outline

Figures and Tables

Figures(6)  /  Tables(1)

Other Articles By Authors

/

DownLoad:  Full-Size Img  PowerPoint
Return
Return

Catalog