Research article Special Issues

Analysis of nonlinear time-fractional Klein-Gordon equation with power law kernel

  • Published: 05 January 2022
  • MSC : 35Bxx, 35Qxx, 37Mxx, 65Mxx, 41Axx

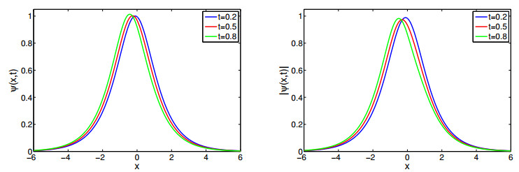
  • We investigate the nonlinear Klein-Gordon equation with Caputo fractional derivative. The general series solution of the system is derived by using the composition of the double Laplace transform with the decomposition method. It is noted that the obtained solution converges to the exact solution of the model. The existence of the model in the presence of Caputo fractional derivative is performed. The validity and precision of the presented method are exhibited with particular examples with suitable subsidiary conditions, where good agreements are obtained. The error analysis and its corresponding surface plots are presented for each example. From the numerical solutions, we observe that the proposed system admits soliton solutions. It is noticed that the amplitude of the wave solution increases with deviations in time, that concludes the factor $ \omega $ considerably increases the amplitude and disrupts the dispersion/nonlinearity properties, as a result, may admit the excitation in the dynamical system. We have also depicted the physical behavior that states the advancement of localized mode excitations in the system.

    Citation: Sayed Saifullah, Amir Ali, Zareen A. Khan. Analysis of nonlinear time-fractional Klein-Gordon equation with power law kernel[J]. AIMS Mathematics, 2022, 7(4): 5275-5290. doi: 10.3934/math.2022293

    Related Papers:

  • We investigate the nonlinear Klein-Gordon equation with Caputo fractional derivative. The general series solution of the system is derived by using the composition of the double Laplace transform with the decomposition method. It is noted that the obtained solution converges to the exact solution of the model. The existence of the model in the presence of Caputo fractional derivative is performed. The validity and precision of the presented method are exhibited with particular examples with suitable subsidiary conditions, where good agreements are obtained. The error analysis and its corresponding surface plots are presented for each example. From the numerical solutions, we observe that the proposed system admits soliton solutions. It is noticed that the amplitude of the wave solution increases with deviations in time, that concludes the factor $ \omega $ considerably increases the amplitude and disrupts the dispersion/nonlinearity properties, as a result, may admit the excitation in the dynamical system. We have also depicted the physical behavior that states the advancement of localized mode excitations in the system.



    加载中


    [1] I. Podlubny, Fractional differential equations, Academic, New York, 1999.
    [2] Z. A. Khan, H. Ahmad, Qualitative properties of solutions of fractional differential and difference equations arising in physical models, Fractals, 29 (2021), 1–10. http://dx.doi.org/10.1142/S0218348X21400247 doi: 10.1142/S0218348X21400247
    [3] K. S. Miller, B. Ross, An introduction to the fractional calculus and fractional differential equations, Wiley, New York, 1993.
    [4] K. Diethelm, N. J. Ford, Analysis of fractional differential equations, J. Math. Anal. Appl., 265 (2002), 229–248. https://doi.org/10.1006/jmaa.2000.7194 doi: 10.1006/jmaa.2000.7194
    [5] R. Toledo-Hernandez, V. Rico-Ramirez, A. Gustavo Iglesias-Silva, Urmila M. Diwekar, A fractional calculus approach to the dynamic optimization of biological reactive systems. Part I: Fractional models for biological reactions, Chem. Eng. Sci., 117 (2014), 217–228. https://doi.org/10.1016/j.ces.2014.06.034 doi: 10.1016/j.ces.2014.06.034
    [6] Y. Zhang, X. J. Yang, An efficient analytical method for solving local fractional nonlinear PDEs arising in mathematical physics, Appl. Math. Mod., 40 (2016), 1793–1799. https://doi.org/10.1016/j.apm.2015.08.017 doi: 10.1016/j.apm.2015.08.017
    [7] L. Kexue, P. Jigen, Laplace transform and fractional differential equations, Appl. Math. Lett., 24 (2011), 2019–2023. https://doi.org/10.1016/j.aml.2011.05.035 doi: 10.1016/j.aml.2011.05.035
    [8] S. Saifullah, A. Ali, M. Irfan, K. Shah, Time-fractional Klein-Gordon equation with solitary/shock waves solutions, Math. Probl. Eng., 2021 (2021). https://doi.org/10.1155/2021/6858592
    [9] R. Gazizov, A. Kasatkin, Construction of exact solutions for fractional order differential equations by the invariant subspace method, Comput. Math. Appl., 66 (2013), 576–584. https://doi.org/10.1016/j.camwa.2013.05.006 doi: 10.1016/j.camwa.2013.05.006
    [10] D. G. Duffy, Transform methods for solving partial differential equations, CRC Press, 2004. https://doi.org/10.1201/9781420035148
    [11] S. T. Demiray, H. Bulut, F. Bin, M. Belgacem, Sumudu transform method for analytical solutions of fractional type ordinary differential equations, Math. Probl. Eng., 2015 (2015). https://doi.org/10.1155/2015/131690 doi: 10.1155/2015/131690
    [12] M. Valizadeh, Y. Mahmoudi, F. Dastmalchi Saei, Application of natural transform method to fractional pantograph delay differential equations, J. Math., 2019 (2019). https://doi.org/10.1155/2019/3913840
    [13] D. J. Evans, H. Bulut, A new approach to the gas dynamics equation: An application of the decomposition method, Int. J. Comput. Math., 79 (2002), 752–761. https://doi.org/10.1080/00207160211297 doi: 10.1080/00207160211297
    [14] W. Gordon, Der comptoneffekt nach der schrödingerschen theorie, Zeitschrift für Physik, 40 (1926). https://doi.org/10.1007/BF01390840 doi: 10.1007/BF01390840
    [15] O. Klein, Quantentheorie und fünfdimensionale Relativitätstheorie, Zeitschrift für Physik, 37 (1926). https://doi.org/10.1007/BF01397481
    [16] D. Bambusi, S. Cuccagna, On dispersion of small energy solutions of the nonlinear Klein Gordon equation with a potential, Am. J. Math., 133 (2011), 1421–1468. https://doi.org/10.1353/ajm.2011.0034
    [17] W. Bao, X. Dong, Analysis and comparison of numerical methods for the Klein-Gordon equation in the nonrelativistic limit regime, Numer. Math., 120 (2012), 189–229. https://doi.org/10.1007/s00211-011-0411-2 doi: 10.1007/s00211-011-0411-2
    [18] N. A. Khan, F. Riaz, A. Ara, A note on soliton solutions of Klein-Gordon-Zakharov equation by variational approach, Nonlinear Eng., 5 (2016), 135–139. https://doi.org/10.1515/nleng-2016-0001 doi: 10.1515/nleng-2016-0001
    [19] B. Bülbül, M. Sezer, A new approach to numerical solution of nonlinear Klein-Gordon equation, Math. Probl. Eng., 2013 (2013). https://doi.org/10.1155/2013/869749
    [20] A. Atangana, J. F. Gómez-Aguilar, Numerical approximation of Riemann-Liouville definition of fractional derivative: From Riemann-Liouville to Atangana-Baleanu, Numer. Meth. Part. D. E., 34 (2018), 1502–1523. https://doi.org/10.1002/num.22195 doi: 10.1002/num.22195
    [21] M. Caputo, Linear model of dissipation whose Q is almost frequency independent–-II, Geophys. J. Int., 13 (1967), 529–539. https://doi.org/10.1111/j.1365-246X.1967.tb02303.x doi: 10.1111/j.1365-246X.1967.tb02303.x
    [22] Z. A. Khan, R. Gul, K. Shah, On impulsive boundary value problem with Riemann-Liouville fractional order derivative, J. Funct. Space., 2021 (2021), 1–11. https://doi.org/10.1155/2021/8331731 doi: 10.1155/2021/8331731
    [23] Z. A. Khan, I. Ahmad, K. Shah, Applications of fixed point theory to investigate a system of fractional order differential equations, J. Func. Space., 2021 (2021), 1–7. https://doi.org/10.1155/2021/1399764 doi: 10.1155/2021/1399764
    [24] M. Çiçek, C. Yakar, M. B. Gücen, Practical stability in terms of two measures for fractional order dynamic systems in Caputo's sense with initial time difference, J. Franklin I., 2 (2014), 732–742. https://doi.org/10.1016/j.jfranklin.2013.10.009 doi: 10.1016/j.jfranklin.2013.10.009
    [25] J. Saelao, N. Yokchoo, The solution of Klein-Gordon equation by using modified Adomian decomposition method, Math. Comput. Simulat., 171 (2020), 94–102. https://doi.org/10.1016/j.matcom.2019.10.010 doi: 10.1016/j.matcom.2019.10.010
    [26] M. M. Khader, N. H. Swetlam, A. M. S. Mahdy, The chebyshev collection method for solving fractional order Klein-Gordon equation, Wseas Trans. Math., 13 (2014), 31–38.
    [27] A. Wazwaz, Abdul-Majid, The tanh and the sine-cosine methods for compact and noncompact solutions of the nonlinear Klein-Gordon equation, Appl. Math. Comput., 167 (2005), 1179–1195. https://doi.org/10.1016/j.amc.2004.08.006 doi: 10.1016/j.amc.2004.08.006
    [28] X. Li, B. Y. Guo, A Legendre pseudospectral method for solving nonlinear Klein-Gordon equation, J. Comp. Math., 15 (1997), 105–126.
    [29] H. Li, X. H. Meng, B. Tian, Bilinear form and soliton solutions for the coupled nonlinear Kleain-Gordon equations, Inter. J. Mod. Phys. B, 26 (2012). https://doi.org/10.1142/S0217979212500579 doi: 10.1142/S0217979212500579
    [30] A. M. Wazwaz, New travelling wave solutions to the Boussinesq and the Klein-Gordon equations, Commun. Nonlinear. Sci., 13 (2008), 889–901. https://doi.org/10.1016/j.cnsns.2006.08.005 doi: 10.1016/j.cnsns.2006.08.005
    [31] A. A. Kilbas, H. M. Srivastava, J. J. Trujillo, Theory and applications of fractional differential equations, North-Holland Mathematics Studies, Elsevier Science B.V., Amsterdam, 204 (2006).
    [32] I. N. Sneddon, The use of integral transforms, Tata McGraw Hill Edition, 1974.
    [33] H. Afshari, H. Aydi, E. Karapinar, Existence of fixed points of set-valued mappings in b-metric spaces, E. Asian Math. J., 32 (2016), 319–332. https://doi.org/10.7858/eamj.2016.024 doi: 10.7858/eamj.2016.024
    [34] F. Rahman, A. Ali, S. Saifullah, Analysis of time-fractional $\phi^{4}$-equation with singular and non-singular kernels, J. Appl. Comput. Math., 7 (2021), 192. https://doi.org/10.1007/s40819-021-01128-w doi: 10.1007/s40819-021-01128-w
    [35] K. Khan, Z. Khan, A. Ali, M. Irfan, Investigation of Hirota equation: Modified double Laplace decomposition method, Phys. Scripta, 96 (2021). https://doi.org/10.1088/1402-4896/ac0d33 doi: 10.1088/1402-4896/ac0d33
    [36] G. Adomian, Modification of the decomposition approach to heat equation, J. Math. Anal. Appl., 124 (1987), 290–291. https://doi.org/10.1016/0022-247X(87)90040-0 doi: 10.1016/0022-247X(87)90040-0
    [37] D. Huang, G. Zou, L. W. Zhang, Numerical approximation of nonlinear Klein-Gordon equation using an element-free approach, Math. Probl. Eng., 2015 (2015). https://doi.org/10.1155/2015/548905 doi: 10.1155/2015/548905
  • Reader Comments
  • © 2022 the Author(s), licensee AIMS Press. This is an open access article distributed under the terms of the Creative Commons Attribution License (http://creativecommons.org/licenses/by/4.0)
通讯作者: 陈斌, bchen63@163.com
  • 1. 

    沈阳化工大学材料科学与工程学院 沈阳 110142

  1. 本站搜索
  2. 百度学术搜索
  3. 万方数据库搜索
  4. CNKI搜索

Metrics

Article views(4217) PDF downloads(162) Cited by(35)

Article outline

Figures and Tables

Figures(8)  /  Tables(2)

Other Articles By Authors

/

DownLoad:  Full-Size Img  PowerPoint
Return
Return

Catalog