Research article

A distributionally robust optimization framework for attribute-independent preference estimation

  • Published: 12 February 2026
  • 90C15, 90C47, 90B50, 90B06

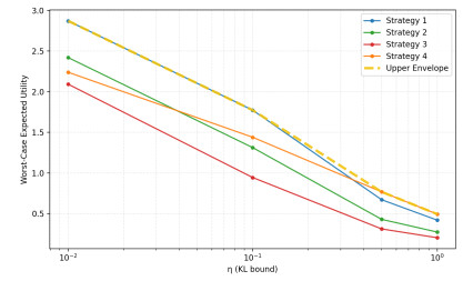
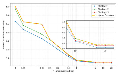
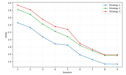
  • In this paper, we introduced a framework that requires only choice data to learn a decision-maker's utility, unlike the classic random utility framework which needs historical choices and multiple attributes. We proposed a two-stage optimization model for the single decision-maker's discrete choice processes with sequential uncertainties. In the first stage, the decision-maker made a strategic choice that stochastically determined the set of future alternatives. In the second stage, after these alternatives were realized, the decision-maker made a final operational choice to maximize utility. The second stage was modeled as a distributionally robust optimization problem with a Kullback–Leibler divergence constraint, enabling worst-case utility evaluation. This model built an ambiguity set from historical choice data to define possible distributions for the decision-maker's preferences. We also analyzed the problem's convexity and used an augmented Lagrangian algorithm to find the optimal solution. Extensive numerical experiments, including case studies and in-depth sensitivity analyses, demonstrated the method's effectiveness.

    Citation: Lingyun Ji, Dali Zhang. A distributionally robust optimization framework for attribute-independent preference estimation[J]. Journal of Industrial and Management Optimization, 2026, 22(3): 1394-1418. doi: 10.3934/jimo.2026051

    Related Papers:

  • In this paper, we introduced a framework that requires only choice data to learn a decision-maker's utility, unlike the classic random utility framework which needs historical choices and multiple attributes. We proposed a two-stage optimization model for the single decision-maker's discrete choice processes with sequential uncertainties. In the first stage, the decision-maker made a strategic choice that stochastically determined the set of future alternatives. In the second stage, after these alternatives were realized, the decision-maker made a final operational choice to maximize utility. The second stage was modeled as a distributionally robust optimization problem with a Kullback–Leibler divergence constraint, enabling worst-case utility evaluation. This model built an ambiguity set from historical choice data to define possible distributions for the decision-maker's preferences. We also analyzed the problem's convexity and used an augmented Lagrangian algorithm to find the optimal solution. Extensive numerical experiments, including case studies and in-depth sensitivity analyses, demonstrated the method's effectiveness.



    加载中


    [1] L. L. Thurstone, Psychophysical analysis, Am. J. Psychol., 38 (1927), 368–389. https://doi.org/10.2307/1415006 doi: 10.2307/1415006
    [2] J. Marschak, Binary choice constraints on random utility indications, Stanford University Press, 1960,312–329. https://link.springer.com/chapter/10.1007/978-94-010-9276-0-9
    [3] J. Simon, C. W. Kirkwood, L. R. Keller, Decision analysis with geographically varying outcomes: Preference models and illustrative applications, Oper. Res., 62 (2014), 182–194. https://doi.org/10.1287/opre.2013.1217 doi: 10.1287/opre.2013.1217
    [4] F. F. Dias, P. S. Lavieri, V. M. Garikapati, S. Astroza, R. M. Pendyala, C. R. Bhat, A behavioral choice model of the use of car-sharing and ride-sourcing services, Transp., 44 (2017), 1307–1323. https://doi.org/10.1007/s11116-017-9797-8 doi: 10.1007/s11116-017-9797-8
    [5] R. McKenna, V. Bertsch, K. Mainzer, W. Fichtner, Combining local preferences with multi-criteria decision analysis and linear optimization to develop feasible energy concepts in small communities, Eur. J. Oper. Res., 268 (2018), 1092–1110. https://doi.org/10.1016/j.ejor.2018.01.036 doi: 10.1016/j.ejor.2018.01.036
    [6] F. Y. Zheng, H. Adam, P. He, Machine learning for demand estimation in long tail markets, Manag. Sci., 70 (2024), 5040–5065. https://doi.org/10.1287/mnsc.2023.4893 doi: 10.1287/mnsc.2023.4893
    [7] Q. Feng, J. G. Shanthikumar, M. Xue, Consumer choice models and estimation: A review and extension, Prod. Oper. Manag., 31 (2022), 847–867. https://doi.org/10.1111/poms.13499 doi: 10.1111/poms.13499
    [8] S. Jagabathula, P. Rusmevichientong, A nonparametric joint assortment and price choice model, Manag. Sci., 63 (2017), 3128–3145. https://doi.org/10.1287/mnsc.2016.2491 doi: 10.1287/mnsc.2016.2491
    [9] A. Aouad, V. Farias, R. Levi, Assortment optimization under consider-then-choose choice models, Manag. Sci., 67 (2021), 3368–3386. https://doi.org/10.1287/mnsc.2020.3681 doi: 10.1287/mnsc.2020.3681
    [10] Z. H. Wang, H. Peura, W. Wiesemann, Randomized assortment optimization, Oper. Res., 72 (2024), 2042–2060. https://doi.org/10.1287/opre.2022.0129 doi: 10.1287/opre.2022.0129
    [11] A. Falk, F. Zimmermann, Attention and dread: Experimental evidence on preferences for information, Manag. Sci., 70 (2023), 7090–7100. https://doi.org/10.1287/mnsc.2023.4975 doi: 10.1287/mnsc.2023.4975
    [12] J. Forrest, A. Hafezalkotob, L. Ren, Y. Liu, P. Tallapally, Utility and optimization's dependence on decision-makers' underlying value-belief systems, Rev. Econ. Bus. Stud., 14 (2021), 125–149. https://doi.org/10.47743/rebs-2021-2-0007 doi: 10.47743/rebs-2021-2-0007
    [13] D. Ariely, K. Wertenbroch, Procrastination, deadlines, and performance: Self-control by precommitment, Psychol. Sci., 13 (2002), 219–224. https://doi.org/10.1111/1467-9280.00441 doi: 10.1111/1467-9280.00441
    [14] W. B. Haskell, L. Fu, M. Dessouky, Ambiguity in risk preferences in robust stochastic optimization, Eur. J. Oper. Res., 254 (2016), 214–225. https://doi.org/10.1016/j.ejor.2016.03.016 doi: 10.1016/j.ejor.2016.03.016
    [15] J. Wu, W. B. Haskell, W. Huang, H. Xu, Preference robust optimization with quasi-concave choice functions for multi-attribute prospects, arXiv preprint, arXiv: 2008.13309, 2020. https://doi.org/10.48550/arXiv.2008.13309
    [16] W. B. Haskell, H. F. Xu, W. J. Huang, Preference robust optimization for choice functions on the space of cdfs, SIAM J. Optim., 32 (2022), 1446–1470. https://doi.org/10.1137/20M1316524 doi: 10.1137/20M1316524
    [17] J. Hu, D. L. Zhang, H. F. Xu, S. N. Zhang, Distributional utility preference robust optimization models in multi-attribute decision making, Math. Program., 212 (2025), 519–565. https://doi.org/10.1007/s10107-024-02114-y doi: 10.1007/s10107-024-02114-y
    [18] J. Liu, Z. Chen, H. Xu, Multistage utility preference robust optimization, arXiv preprint, arXiv: 2109.04789, 2021. https://doi.org/10.48550/arXiv.2109.04789
    [19] E. Cascetta, Random utility theory, Transportation Systems Analysis, Springer, USA, 2009.
    [20] G. Berbeglia, A. Garassino, G. Vulcano, A comparative empirical study of discrete choice models in retail operations, Manag. Sci., 68 (2022), 4005–4023. https://doi.org/10.1287/mnsc.2021.4069 doi: 10.1287/mnsc.2021.4069
    [21] T. C. Nguyen, J. Robinson, J. A. Whitty, S. Kaneko, T. C. Nguyen, Attribute non-attendance in discrete choice experiments: A case study in a developing country, Econ. Anal. Policy, 47 (2015), 22–33. https://doi.org/10.1016/j.eap.2015.06.002 doi: 10.1016/j.eap.2015.06.002
    [22] D. K. Lew, J. C. Whitehead, Attribute non-attendance as an information processing strategy in stated preference choice experiments: Origins, current practices, and future directions, Mar. Resour. Econ., 35 (2020), 285–317. https://doi.org/10.1086/709440 doi: 10.1086/709440
    [23] S. Washington, S. Ravulaparthy, J. M. Rose, D. Hensher, R. Pendyala, Bayesian imputation of non-chosen attribute values in revealed preference surveys, J. Adv. Transp., 48 (2014), 48–65. https://doi.org/10.1002/atr.201 doi: 10.1002/atr.201
    [24] Y. Y. Zhao, J. Pawlak, J. W. Polak, Inverse discrete choice modelling: Theoretical and practical considerations for imputing respondent attributes from the patterns of observed choices, Transp. Plan. Technol., 41 (2018), 58–79. https://doi.org/10.1080/03081060.2018.1402745 doi: 10.1080/03081060.2018.1402745
    [25] A. Désir, V. Goyal, B. Jiang, T. Xie, J. W. Zhang, Robust assortment optimization under the Markov chain choice model, Oper. Res., 72 (2024), 1595–1614. https://doi.org/10.1287/opre.2022.2420 doi: 10.1287/opre.2022.2420
    [26] Q. Jin, D. Z. Long, Y. Sun, B. Hu, Distributionally robust discrete choice model and assortment optimization, 2022.
    [27] K. Natarajan, M. Song, C. P. Teo, Persistency model and its applications in choice modeling, Manag. Sci., 55 (2009), 453–469. https://doi.org/10.1287/mnsc.1080.0951 doi: 10.1287/mnsc.1080.0951
    [28] C. Thrane, Examining tourists' long-distance transportation mode choices using a multinomial logit regression model, Tourism Manage. Perspect., 15 (2015), 115–121. https://doi.org/10.1016/j.tmp.2014.10.004 doi: 10.1016/j.tmp.2014.10.004
    [29] C. Mussida, L. Zanin, Determinants of the choice of job search channels by the unemployed using a multivariate probit model, Soc. Indic. Res., 152 (2020), 369–420. https://doi.org/10.1007/s11205-020-02439-z doi: 10.1007/s11205-020-02439-z
    [30] D. A. Field, Laplacian smoothing and Delaunay triangulations, Commun. Appl. Numer. Methods, 4 (1988), 709–712. https://doi.org/10.1002/cnm.1630040603 doi: 10.1002/cnm.1630040603
    [31] E. Delage, Y. Y. Ye, Distributionally robust optimization under moment uncertainty with application to data-driven problems, Oper. Res., 58 (2010), 595–612. https://doi.org/10.1287/opre.1090.0741 doi: 10.1287/opre.1090.0741
    [32] D. McFadden, Conditional logit analysis of qualitative choice behavior, Frontiers in Econometrics., Academic Press, New York, 1974,105–142. https://escholarship.org/uc/item/61s3q2xr
    [33] M. Ben-Akiva, S. R. Lerman, Discrete choice analysis, MIT Press, USA, 1985.
    [34] T. P. Dence, J. B. Dence, A survey of Euler's constant, Math. Mag., 82 (2009), 255–265. https://doi.org/10.4169/193009809X468689 doi: 10.4169/193009809X468689
    [35] M. R. Hestenes, Multiplier and gradient methods, J. Optim. Theory Appl., 4 (1969), 303–320. https://doi.org/10.1007/BF00927673 doi: 10.1007/BF00927673
    [36] E. G. Birgin, J. M. Martínez, Practical augmented Lagrangian methods for constrained optimization, Society for Industrial and Applied Mathematics, Philadelphia, USA, 2014. https://doi.org/10.1137/1.9781611973365
    [37] H. Y. Liu, J. Hu, Y. F. Li, Z. W. Wen, Computational methods for optimization, Higher Education Press, China, 2020.
    [38] I. Goodfellow, Y. Bengio, A. Courville, Deep learning, MIT Press, USA, 2016. https://doi.org/10.1007/s10710-017-9314-z
    [39] R. I. Boţ, E. R. Csetnek, D. K. Nguyen, Fast augmented Lagrangian method in the convex regime with convergence guarantees for the iterates, Math. Program., 200 (2023), 147–197. https://doi.org/10.1007/s10107-022-01879-4 doi: 10.1007/s10107-022-01879-4
  • jimo-22-03-051-s001.pdf
  • Reader Comments
  • © 2026 the Author(s), licensee AIMS Press. This is an open access article distributed under the terms of the Creative Commons Attribution License (http://creativecommons.org/licenses/by/4.0)
通讯作者: 陈斌, bchen63@163.com
  • 1. 

    沈阳化工大学材料科学与工程学院 沈阳 110142

  1. 本站搜索
  2. 百度学术搜索
  3. 万方数据库搜索
  4. CNKI搜索

Metrics

Article views(966) PDF downloads(92) Cited by(0)

Article outline

Figures and Tables

Figures(8)  /  Tables(7)

Other Articles By Authors

/

DownLoad:  Full-Size Img  PowerPoint
Return
Return

Catalog