Research article Special Issues

Optimal investment under irreversible consumption and locally risk-seeking preferences

  • Published: 26 January 2026
  • 91G10, 93E20, 49L20, 60H30

  • We study an infinite-horizon portfolio choice problem in which an investor cannot tolerate any decline in consumption. The agent also exhibits locally risk-seeking preferences of the Friedman–Savage type, which generate alternating regions of risk aversion and risk loving. The interaction between the non-decreasing consumption constraint and local risk-seeking behavior produces an extreme form of habit formation and yields a dynamic free-boundary structure.

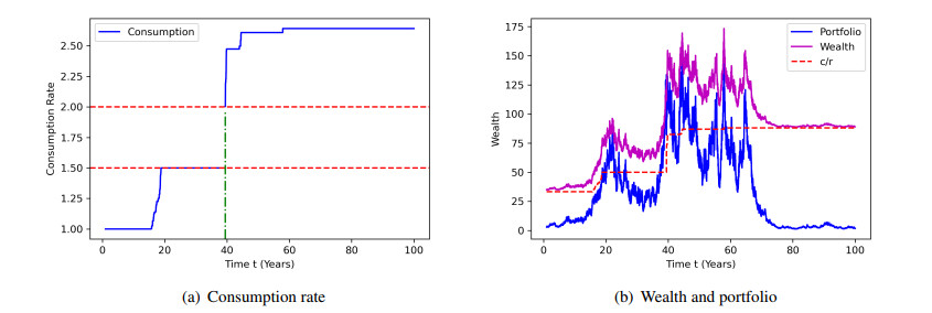
    To address the resulting non-concave optimization problem, we transform it into an equivalent concave problem via the concave-hull technique and characterize the optimal consumption and portfolio policies in closed form. The optimal policy features delayed consumption adjustments even when wealth is sufficient to remain within the risk-seeking region, followed by a discrete jump in consumption once a critical threshold is reached. The optimal portfolio displays trend-chasing behavior: risky exposure is higher during booms, while allocation becomes investor conservative after upward consumption adjustments.

    Numerical simulations illustrate that the expected duration of the risk-seeking regime increases with the investor patience, the magnitude of the consumption jump, and the market risk premium. Finally, the model admits an actuarial interpretation: the non-decreasing consumption rule parallels ratcheted or guaranteed-increasing payouts in insurance and annuity products, providing a theoretical foundation for analyzing dynamic guarantee and bonus-adjustment mechanisms.

    Citation: Seungwon Jeong, Junkee Jeon, Hyeng Keun Koo. Optimal investment under irreversible consumption and locally risk-seeking preferences[J]. Journal of Industrial and Management Optimization, 2026, 22(2): 1063-1086. doi: 10.3934/jimo.2026039

    Related Papers:

  • We study an infinite-horizon portfolio choice problem in which an investor cannot tolerate any decline in consumption. The agent also exhibits locally risk-seeking preferences of the Friedman–Savage type, which generate alternating regions of risk aversion and risk loving. The interaction between the non-decreasing consumption constraint and local risk-seeking behavior produces an extreme form of habit formation and yields a dynamic free-boundary structure.

    To address the resulting non-concave optimization problem, we transform it into an equivalent concave problem via the concave-hull technique and characterize the optimal consumption and portfolio policies in closed form. The optimal policy features delayed consumption adjustments even when wealth is sufficient to remain within the risk-seeking region, followed by a discrete jump in consumption once a critical threshold is reached. The optimal portfolio displays trend-chasing behavior: risky exposure is higher during booms, while allocation becomes investor conservative after upward consumption adjustments.

    Numerical simulations illustrate that the expected duration of the risk-seeking regime increases with the investor patience, the magnitude of the consumption jump, and the market risk premium. Finally, the model admits an actuarial interpretation: the non-decreasing consumption rule parallels ratcheted or guaranteed-increasing payouts in insurance and annuity products, providing a theoretical foundation for analyzing dynamic guarantee and bonus-adjustment mechanisms.



    加载中


    [1] J. S. Duesenberry, Income, Saving, and the Theory of Consumer Behavior. Harvard Economic Studies, No. 87. Harvard University Press, 1949, Cambridge, MA.
    [2] P. H. Dybvig, Dusenberry's ratcheting of consumption: optimal dynamic consumption and investment given intolerance for any decline in standard of living, Rev. Econ. Stud., 62 (1995), 287–313. https://doi.org/10.2307/2297806 doi: 10.2307/2297806
    [3] K. J. Choi, J. Jeon, H. K. Koo, Intertemporal preference with loss aversion: Consumption and risk-attitude. J. Econ. Theory, 200 (2022), 105380. https://doi.org/10.1016/j.jet.2021.105380
    [4] M. Friedman, L. J. Savage, The utility analysis of choices involving risk, J. Polit. Econ., 56 (1948), 279–304. https://doi.org/10.1086/256692 doi: 10.1086/256692
    [5] A. B. Berkelaar, R. Kouwenberg, T. Post, Optimal portfolio choice under loss aversion, Rev. Econ. Stat., 86 (2004), 973–987. https://doi.org/10.1162/0034653043125167 doi: 10.1162/0034653043125167
    [6] F. J. Gomes, Portfolio choice and trading volume with loss-averse investors, J. Bus., 78 (2005), 675–706. https://doi.org/10.1086/427643 doi: 10.1086/427643
    [7] X. D. He, X. Y. Zhou, Portfolio choice under cumulative prospect theory: An analytical treatment, Manage. Sci., 57 (2011), 315–331. https://doi.org/10.1287/mnsc.1100.1269 doi: 10.1287/mnsc.1100.1269
    [8] H. Jin, X. Y. Zhou, Greed, leverage, and potential losses: A prospect theory perspective, Math. Finance, 23 (2013), 122–142. https://doi.org/10.1111/j.1467-9965.2011.00490.x doi: 10.1111/j.1467-9965.2011.00490.x
    [9] B. Koo, J. Koo, H. K. Koo, A friedman-savage consumer almost gambles: A continuous time model of consumption and investment with non-concave utility, Available at SSRN 2039283, 2012. http://dx.doi.org/10.2139/ssrn.2039283
    [10] A. Bensoussan, A. Cadenillas, H. K. Koo, Entrepreneurial decisions on effort and project with a nonconcave objective function, Math. Oper. Res., 40 (2015), 902–914. https://doi.org/10.1287/moor.2014.0702 doi: 10.1287/moor.2014.0702
    [11] I. Karatzas, J. P. Lehoczky, S. E. Shreve, Optimal portfolio and consumption decisions for a "small investor" on a finite horizon, SIAM J. Control Optim., 25 (1987), 1557–1586. https://doi.org/10.1137/0325086 doi: 10.1137/0325086
    [12] J. C. Cox, C. F. Huang, Optimal consumption and portfolio policies when asset prices follow a diffusion process, J. Econ. Theory, 49 (1989), 33–83. https://doi.org/10.1016/0022-0531(89)90067-7 doi: 10.1016/0022-0531(89)90067-7
    [13] J. Jeon, H. K. Koo, Y. H. Shin, Portfolio selection with consumption ratcheting, J. Econ. Dyn. Control, 92 (2018), 153–182. https://doi.org/10.1016/j.jedc.2018.05.003 doi: 10.1016/j.jedc.2018.05.003
    [14] B. L. Koo, H. K. Koo, J. L. Koo, C. Hyun, A generalization of dybvig's result on portfolio selection with intolerance for decline in consumption, Econ. Lett., 117 (2012), 646–649. https://doi.org/10.1016/j.econlet.2012.08.027 doi: 10.1016/j.econlet.2012.08.027
    [15] J. Jeon, H. K. Koo, Y. H. Shin, Ratcheting with a bliss level of consumption, Optim. Lett., 13 (2019), 1535–1556. https://doi.org/10.1007/s11590-018-1313-3 doi: 10.1007/s11590-018-1313-3
    [16] H. Markowitz, The utility of wealth, J. Polit. Econ., 60 (1952), 151–158. https://doi.org/10.1086/257177 doi: 10.1086/257177
    [17] R. S. Pindyck, Irreversible investment, capacity choice, and the value of the firm. Am. Econ. Rev., 78 (1988), 969–985. https://www.jstor.org/stable/1807160
    [18] R. K. Dixit, A. K. Dixit, R. S. Pindyck, Investment under uncertainty, 1994, Princeton university press. https://doi.org/10.1515/9781400830176
    [19] G. Peskir, A. Shiryaev, Optimal stopping and free-boundary problems, 2006, Springer.
  • Reader Comments
  • © 2026 the Author(s), licensee AIMS Press. This is an open access article distributed under the terms of the Creative Commons Attribution License (http://creativecommons.org/licenses/by/4.0)
通讯作者: 陈斌, bchen63@163.com
  • 1. 

    沈阳化工大学材料科学与工程学院 沈阳 110142

  1. 本站搜索
  2. 百度学术搜索
  3. 万方数据库搜索
  4. CNKI搜索

Metrics

Article views(690) PDF downloads(109) Cited by(0)

Article outline

Figures and Tables

Figures(6)  /  Tables(1)

Other Articles By Authors

/

DownLoad:  Full-Size Img  PowerPoint
Return
Return

Catalog