Research article

Two methods based on second-order dynamical systems for solving a special class of nonlinear optimization problems

  • Published: 05 March 2026
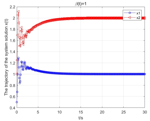
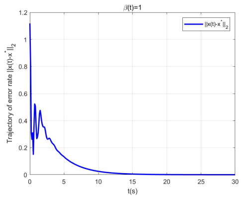
  • Symbolic functions, as an important class of nonsmooth functions, play a key role in many fields such as system control and optimization theory. In this study, the special case of nonlinear optimization problems with sign function constraints is discussed in depth. Based on the smooth approximation theory, the study first adopts an approximate substitution method to smooth the nonsmooth constraints and then transforms them into differentiable optimization problems, thus effectively avoiding the numerical computational difficulties caused by the sign function. Second, the constrained optimization problem is transformed into an unconstrained optimization problem by constructing an exact penalty function. Third, two forms of second-order dynamical systems are established to solve the problem, and a rigorous theoretical analysis of the stability of these systems is conducted. Finally, the convergence and computational efficiency of the proposed method are verified by numerical simulation experiments of the system, and the simulation results fully prove the effectiveness and practicality of the algorithm.

    Citation: Juhe Sun, Guolin Huang, Li Wang, Ning Ma. Two methods based on second-order dynamical systems for solving a special class of nonlinear optimization problems[J]. Electronic Research Archive, 2026, 34(3): 1957-1987. doi: 10.3934/era.2026088

    Related Papers:

  • Symbolic functions, as an important class of nonsmooth functions, play a key role in many fields such as system control and optimization theory. In this study, the special case of nonlinear optimization problems with sign function constraints is discussed in depth. Based on the smooth approximation theory, the study first adopts an approximate substitution method to smooth the nonsmooth constraints and then transforms them into differentiable optimization problems, thus effectively avoiding the numerical computational difficulties caused by the sign function. Second, the constrained optimization problem is transformed into an unconstrained optimization problem by constructing an exact penalty function. Third, two forms of second-order dynamical systems are established to solve the problem, and a rigorous theoretical analysis of the stability of these systems is conducted. Finally, the convergence and computational efficiency of the proposed method are verified by numerical simulation experiments of the system, and the simulation results fully prove the effectiveness and practicality of the algorithm.



    加载中


    [1] A. Bensoussan, J. Lions, Optimal impulse and continuous control: Method of non linear quasi-variational inequalities, Trudy Mat. Inst. Steklov, 134 (1975), 5–22.
    [2] W. Gong, Y. Ho, Smoothed (conditional) perturbation analysis of discrete event dynamical systems, IEEE Trans. Autom. Control, 32 (1987), 858–866. http://doi.org/10.1109/TAC.1987.1104464 doi: 10.1109/TAC.1987.1104464
    [3] R. Rubinstein, How to optimize discrete-event systems from a single sample path by the score function method, Ann. Oper. Res., 27 (1990), 175–212. https://doi.org/10.1007/BF02055195 doi: 10.1007/BF02055195
    [4] J. Zhang, L. Zhao, A class of optimization problems with discontinuous constraints and applications, J. Xiamen Univ. Nat. Sci., 49 (2010), 16–19.
    [5] A. M. Gupal, V. I. Norkin, Algorithm for the minimization of discontinuous functions, Cybernetics, 13 (1977), 220–223. http://doi.org/10.1007/BF01073313 doi: 10.1007/BF01073313
    [6] Y. Ermoliev, V. Norkin, On constrained discontinuous optimization, in Stochastic Programming Methods and Technical Applications, 458 (1998), 128–144. https://doi.org/10.1007/978-3-642-45767-8_7
    [7] V. Y. Katkovnik, O. Y. Kul'chitskii, Convergence of one class of random search algorithms, Autom. Remote Control, 33 (1972), 1321–1326.
    [8] J. Warga, Necessary conditions without differentiability assumptions in optimal control, J. Differ. Equations, 18 (1975), 41–62. http://doi.org/10.1016/0022-0396(75)90080-7 doi: 10.1016/0022-0396(75)90080-7
    [9] V. D. Batukhtin, An approach to the solution of discontinuous extremal problems, J. Comput. Syst. Sci. Int., 33 (1995), 30–38.
    [10] Y. M. Ermoliev, V. I. Norkin, R. J. Wets, The minimization of semicontinuous functions: molliffer subgradients, SIAM J. Control Optim., 33 (1995), 149–167. http://doi.org/10.1137/S0363012992238369 doi: 10.1137/S0363012992238369
    [11] H. T. Jongen, O. Stein, Smoothing by molliffers. Part Ⅰ: Semi-inffnite optimization, J. Glob. Optim., 41 (2008), 319–334. http://doi.org/10.1007/s10898-007-9232-3 doi: 10.1007/s10898-007-9232-3
    [12] H. T. Jongen, O. Stein, Smoothing by molliffers. Part Ⅱ: Nonlinear optimization, J. Glob. Optim., 41 (2008), 335–350. http://doi.org/10.1007/s10898-007-9231-4 doi: 10.1007/s10898-007-9231-4
    [13] Y. Cui, J. Liu, J. Pang, The minimization of piecewise functions: Pseudo stationarity, preprint, arXiv: 2305.14798.
    [14] B. W. Kort, D. P. Bertsekas, A new penalty function method for constrained minimization, in Proceedings of the 1972 IEEE Conference on Decision and Control and 11th Symposium on Adaptive Processes, (1972), 162–166. http://doi.org/10.1109/CDC.1972.268971
    [15] Ö. Yeniay, Penalty function methods for constrained optimization with genetic algorithms, Math. Comput. Appl., 10 (2005), 45–56. http://doi.org/10.3390/mca10010045 doi: 10.3390/mca10010045
    [16] Q. Wu, A Bundle Methods for A Class of Nonconvex and Nonsmooth Optimization Problems and Applications, Ph.D. Thesis, Dalian University of Technology in Dalian, 2022. http://doi.org/10.26991/d.cnki.gdllu.2021.003891
    [17] J. Sun, W. Fu, J. H. Alcantara, J. Chen, A neural network based on the metric projector for solving soccvi problem, IEEE Trans. Neural Networks Learn. Syst., 32 (2021), 2886–2900. http://doi.org/10.1109/TNNLS.2020.3008661 doi: 10.1109/TNNLS.2020.3008661
    [18] H. Attouch, J. Peypouquet, P. Redont, Fast convex optimization via inertial dynamics with hessian driven damping, J. Differ. Equations, 261 (2016), 5734–5783. http://doi.org/10.1016/j.jde.2016.08.020 doi: 10.1016/j.jde.2016.08.020
    [19] H. Attouch, Z. Chbani, H. Riahi, Fast convex optimization via time scaling of damped inertial gradient dynamics, 2019. Available from: https://hal.science/hal-02138954.
    [20] A. Cabot, H. Engler, S. Gadat, On the long time behavior of second order differential equations with asymptotically small dissipation, Trans. Am. Math. Soc., 361 (2009), 5983–6017. http://doi.org/10.1090/S0002-9947-09-04785-0 doi: 10.1090/S0002-9947-09-04785-0
    [21] A. Cabot, P. Frankel, Asymptotics for some semilinear hyperbolic equations with non-autonomous damping, J. Differ. Equations, 252 (2012), 294–322. http://doi.org/10.1016/j.jde.2011.09.012 doi: 10.1016/j.jde.2011.09.012
  • Reader Comments
  • © 2026 the Author(s), licensee AIMS Press. This is an open access article distributed under the terms of the Creative Commons Attribution License (http://creativecommons.org/licenses/by/4.0)
通讯作者: 陈斌, bchen63@163.com
  • 1. 

    沈阳化工大学材料科学与工程学院 沈阳 110142

  1. 本站搜索
  2. 百度学术搜索
  3. 万方数据库搜索
  4. CNKI搜索

Metrics

Article views(395) PDF downloads(19) Cited by(0)

Article outline

Figures and Tables

Figures(27)  /  Tables(6)

Other Articles By Authors

/

DownLoad:  Full-Size Img  PowerPoint
Return
Return

Catalog