Research article Special Issues

A Fourier spectral method for normalized time-fractional diffusion equations in two and three dimensions

  • Published: 04 March 2026
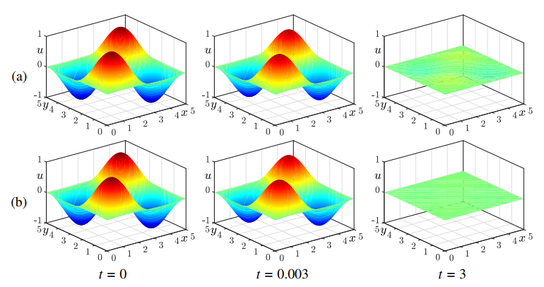
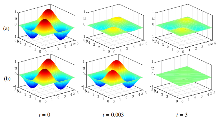
  • In this paper, we propose normalized time-fractional diffusion equations in two and three spatial dimensions, where the normalization guarantees that the total memory weight remains equal to one and allows a consistent interpretation of memory effects for different fractional orders. An efficient Fourier spectral method in space combined with a finite difference approximation in time is used to solve the governing equations in both two- and three-dimensional (2D and 3D) settings. A rigorous error analysis shows that the proposed scheme achieves a temporal convergence rate of order $ \mathcal{O}(\Delta t^{2-\alpha}) $, and numerical experiments confirm exponential accuracy in space. Extensive 2D and 3D numerical tests demonstrate the robustness of the method, and the numerical results show that smaller fractional orders slow down the evolution dynamics due to stronger memory effects. A comparison with the standard Caputo time-fractional diffusion model indicates that the normalized formulation provides a more uniform temporal decay behavior while preserving the essential dynamics. These computational results suggest that the proposed method offers an accurate and reliable numerical algorithm for simulating multidimensional diffusion processes with memory effects.

    Citation: Ke Zhang, Seungjae Lee, Xinpei Wu, Meiyun Nan, Junseok Kim. A Fourier spectral method for normalized time-fractional diffusion equations in two and three dimensions[J]. Electronic Research Archive, 2026, 34(3): 1939-1956. doi: 10.3934/era.2026087

    Related Papers:

  • In this paper, we propose normalized time-fractional diffusion equations in two and three spatial dimensions, where the normalization guarantees that the total memory weight remains equal to one and allows a consistent interpretation of memory effects for different fractional orders. An efficient Fourier spectral method in space combined with a finite difference approximation in time is used to solve the governing equations in both two- and three-dimensional (2D and 3D) settings. A rigorous error analysis shows that the proposed scheme achieves a temporal convergence rate of order $ \mathcal{O}(\Delta t^{2-\alpha}) $, and numerical experiments confirm exponential accuracy in space. Extensive 2D and 3D numerical tests demonstrate the robustness of the method, and the numerical results show that smaller fractional orders slow down the evolution dynamics due to stronger memory effects. A comparison with the standard Caputo time-fractional diffusion model indicates that the normalized formulation provides a more uniform temporal decay behavior while preserving the essential dynamics. These computational results suggest that the proposed method offers an accurate and reliable numerical algorithm for simulating multidimensional diffusion processes with memory effects.



    加载中


    [1] Y. Zhu, Blow-up of solutions for a time fractional biharmonic equation with exponentional nonlinear memory, Electron. Res. Arch., 32 (2024), 5988–6007. https://doi.org/10.3934/era.2024278 doi: 10.3934/era.2024278
    [2] M. A. Ramadan, M. A. Abd El-Latif, M. Z. Alqarni, An integrated Laplace transform and accelerated Adomian decomposition approach for solving time-fractional nonlinear partial differential equations, Electron. Res. Arch., 33 (2025), 4398–4434. https://doi.org/10.3934/era.2025201 doi: 10.3934/era.2025201
    [3] W. M. Abd-Elhameed, M. A. Abdelkawy, N. M. A. Alsafri, A. G. Atta, Galerkin-based solution for the time-fractional diffusion-wave equation, Electron. Res. Arch., 33 (2025), 5179–5206. https://doi.org/10.3934/era.2025232 doi: 10.3934/era.2025232
    [4] M. A. Zaky, A linearized two-dimensional Galerkin–L1 spectral method with diagonalization for time-fractional diffusion equations with delay, Appl. Numer. Math., 220 (2025), 1–12. https://doi.org/10.1016/j.apnum.2025.09.008 doi: 10.1016/j.apnum.2025.09.008
    [5] J. J. Liu, M. Yamamoto, A backward problem for the time-fractional diffusion equation, Appl. Anal., 89 (2010), 1769–1788. https://doi.org/10.1080/00036810903479731 doi: 10.1080/00036810903479731
    [6] Z. Wang, L. Sun, The Allen–Cahn equation with a time Caputo–Hadamard derivative: mathematical and numerical analysis, Commun. Anal. Mech., 15 (2023), 611–637. https://doi.org/10.3934/cam.2023031 doi: 10.3934/cam.2023031
    [7] J. Zhang, X. Li, W. Ma, Two-grid finite element method for the time-fractional Allen–Cahn equation with the logarithmic potential, Math. Methods Appl. Sci., 48 (2025), 6654–6663. https://doi.org/10.1002/mma.10704 doi: 10.1002/mma.10704
    [8] L. Sun, Z. Wang, Y. Wei, A second–order approximation scheme for Caputo–Hadamard derivative and its application in fractional Allen–Cahn equation, Commun. Anal. Mech., 17 (2025), 630–661. https://doi.org/10.3934/cam.2025025 doi: 10.3934/cam.2025025
    [9] J. Wang, K. Chen, J. Kim, Computational analysis of a normalized time-fractional Fokker–Planck equation, Physica A, 665 (2025), 130500. https://doi.org/10.1016/j.physa.2025.130500 doi: 10.1016/j.physa.2025.130500
    [10] S. Kwak, Y. Nam, S. Kang, J. Kim, Computational analysis of a normalized time-fractional Fisher equation, Appl. Math. Lett., 166 (2025), 109542. https://doi.org/10.1016/j.aml.2025.109542 doi: 10.1016/j.aml.2025.109542
    [11] H. T. Nguyen, V. T. Vo, Existence and uniqueness of the solution to Caputo–Hadamard differential equations with delay and nonlocal conditions, Commun. Anal. Mech., 17 (2025), 725. https://doi.org/10.3934/cam.2025029 doi: 10.3934/cam.2025029
    [12] Y. Lin, C. Xu, Finite difference/spectral approximations for the time-fractional diffusion equation, J. Comput. Phys., 225 (2007), 1533–1552. https://doi.org/10.1016/j.jcp.2007.02.001 doi: 10.1016/j.jcp.2007.02.001
    [13] F. A. Shah, Z. A. Khan, F. Azmi, N. Mlaiki, A hybrid collocation method for the approximation of 2D time-fractional diffusion-wave equation, AIMS Math., 9 (2024), 27122–27149. https://doi.org/10.3934/math.20241319 doi: 10.3934/math.20241319
    [14] Y. Gu, H. Sun, A meshless method for solving three-dimensional time fractional diffusion equation with variable-order derivatives, Appl. Math. Model., 78 (2020), 539–549. https://doi.org/10.1016/j.apm.2019.09.055 doi: 10.1016/j.apm.2019.09.055
    [15] H. Zhu, C. Xu, A fast high order method for the time-fractional diffusion equation, SIAM J. Numer. Anal., 57 (2019), 2829–2849. https://doi.org/10.1137/18M1231225 doi: 10.1137/18M1231225
    [16] M. Concezzi, R. Spigler, ADI methods for three-dimensional fractional diffusions, Int. J. Comput. Commun., 16 (2022), 9–12. https://doi.org/10.46300/91013.2022.16.2 doi: 10.46300/91013.2022.16.2
    [17] J. Zhang, X. Zhang, B. Yang, An approximation scheme for the time fractional convection-diffusion equation, Appl. Math. Comput., 335 (2018), 305–312. https://doi.org/10.1016/j.amc.2018.04.019 doi: 10.1016/j.amc.2018.04.019
    [18] C. Lee, Y. Nam, M. Bang, S. Ham, J. Kim, Numerical investigation of the dynamics for a normalized time-fractional diffusion equation, AIMS Math., 9 (2024), 26671–26687. https://doi.org/10.3934/math.20241297 doi: 10.3934/math.20241297
  • Reader Comments
  • © 2026 the Author(s), licensee AIMS Press. This is an open access article distributed under the terms of the Creative Commons Attribution License (http://creativecommons.org/licenses/by/4.0)
通讯作者: 陈斌, bchen63@163.com
  • 1. 

    沈阳化工大学材料科学与工程学院 沈阳 110142

  1. 本站搜索
  2. 百度学术搜索
  3. 万方数据库搜索
  4. CNKI搜索

Metrics

Article views(442) PDF downloads(34) Cited by(0)

Article outline

Figures and Tables

Figures(9)  /  Tables(3)

Other Articles By Authors

/

DownLoad:  Full-Size Img  PowerPoint
Return
Return

Catalog