Research article Special Issues

Adaptive dimension-wise Cauchy perturbation for enhanced differential evolution optimization

  • Published: 09 January 2026
  • MSC : 68T01, 68W50

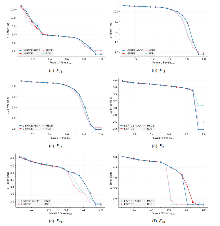
  • We propose an adaptive dimension-wise Cauchy perturbation mechanism to enhance the performance of differential evolution (DE). While traditional Cauchy perturbation improves solution diversity, it uses a fixed jumping rate and fails to address dimension-specific premature convergence. To overcome these limitations, the proposed method dynamically estimates the convergence level of each dimension in every generation and adaptively adjusts the jumping rate accordingly. This dimension-specific adaptive perturbation, applied during the crossover phase, mitigates premature convergence and strengthens the algorithm's ability to locate high-quality solutions. The proposed method was embedded into the Linear population size reduction Success RaTe-based Differential Evolution (L-SRTDE) algorithm, winner of the Institute of Electrical and Electronics Engineers Congress on Evolutionary Computation (IEEE CEC) 2024 competition. Extensive experiments on challenging benchmark optimization problems from the IEEE CEC 2017 test suite demonstrate that our method significantly outperforms the original L-SRTDE and several state-of-the-art DE variants in both convergence speed and solution accuracy.

    Citation: Tae Jong Choi, Yeji An. Adaptive dimension-wise Cauchy perturbation for enhanced differential evolution optimization[J]. AIMS Mathematics, 2026, 11(1): 734-766. doi: 10.3934/math.2026032

    Related Papers:

  • We propose an adaptive dimension-wise Cauchy perturbation mechanism to enhance the performance of differential evolution (DE). While traditional Cauchy perturbation improves solution diversity, it uses a fixed jumping rate and fails to address dimension-specific premature convergence. To overcome these limitations, the proposed method dynamically estimates the convergence level of each dimension in every generation and adaptively adjusts the jumping rate accordingly. This dimension-specific adaptive perturbation, applied during the crossover phase, mitigates premature convergence and strengthens the algorithm's ability to locate high-quality solutions. The proposed method was embedded into the Linear population size reduction Success RaTe-based Differential Evolution (L-SRTDE) algorithm, winner of the Institute of Electrical and Electronics Engineers Congress on Evolutionary Computation (IEEE CEC) 2024 competition. Extensive experiments on challenging benchmark optimization problems from the IEEE CEC 2017 test suite demonstrate that our method significantly outperforms the original L-SRTDE and several state-of-the-art DE variants in both convergence speed and solution accuracy.



    加载中


    [1] R. Storn, K. Price, Differential evolution–A simple and efficient heuristic for global optimization over continuous spaces, J. Global Optim., 11 (1997), 341–359. https://doi.org/10.1023/a:1008202821328 doi: 10.1023/a:1008202821328
    [2] M. Črepinšek, S.-H. Liu, M. Mernik, Exploration and exploitation in evolutionary algorithms: A survey, ACM Comput. Surv., 45 (2013), 1–33. https://doi.org/10.1145/2480741.2480752 doi: 10.1145/2480741.2480752
    [3] A. E. Eiben, C. A. Schippers, On evolutionary exploration and exploitation, Fund. Inform., 35 (1998), 35–50. https://doi.org/10.3233/fi-1998-35123403 doi: 10.3233/fi-1998-35123403
    [4] K. A. D. Jong, An analysis of the behavior of a class of genetic adaptive systems, PhD Thesis, University of Michigan, 1975.
    [5] T. J. Choi, C. W. Ahn, An improved LSHADE-RSP algorithm with the Cauchy perturbation: iLSHADE-RSP, Knowl.-Based Syst., 215 (2021), 106628. https://doi.org/10.1016/j.knosys.2020.106628 doi: 10.1016/j.knosys.2020.106628
    [6] Q. Y. Sui, Y. Yu, K. Y. Wang, L. Zhong, Z. Y. Lei, S. C. Gao, Best-worst individuals driven multiple-layered differential evolution, Inform. Sciences, 655 (2024), 119889. https://doi.org/10.1016/j.ins.2023.119889 doi: 10.1016/j.ins.2023.119889
    [7] J. R. Yang, K. Y. Wang, Y. R. Wang, J. H. Wang, Z. Y. Lei, S. C. Gao, Dynamic population structures-based differential evolution algorithm, IEEE Transactions on Emerging Topics in Computational Intelligence, 8 (2024), 2493–2505. https://doi.org/10.1109/tetci.2024.3367809 doi: 10.1109/tetci.2024.3367809
    [8] K. Y. Wang, S. C. Gao, M. C. Zhou, Z.-H. Zhan, J. J. Cheng, Fractional order differential evolution, IEEE T. Evolut. Comput, 29 (2025), 822–835. https://doi.org/10.1109/TEVC.2024.3382047 doi: 10.1109/TEVC.2024.3382047
    [9] V. Stanovov, E. Semenkin, Success rate-based adaptive differential evolution L-SRTDE for CEC 2024 competition, 2024 IEEE Congress on Evolutionary Computation (CEC), Yokohama, Japan, 2024, 1–8. https://doi.org/10.1109/cec60901.2024.10611907
    [10] N. H. Awad, M. Z. Ali, J. J. Liang, B. Y. Qu, P. N. Suganthan, Problem definitions and evaluation criteria for the CEC 2017 special session and competition on single objective bound constrained real-parameter numerical optimization, Technical Report, Singapore: Nanyang Technological University, 2016, 1–34.
    [11] T. J. Choi, C. W. Ahn, J. An. An adaptive Cauchy differential evolution algorithm for global numerical optimization, Sci. World J., 2013 (2013), 969734. https://doi.org/10.1155/2013/969734 doi: 10.1155/2013/969734
    [12] T. J. Choi, C. W. Ahn, An adaptive population resizing scheme for differential evolution in numerical optimization, J. Comput. Theor. Nanos., 12 (2015), 1336–1350.
    [13] T. J. Choi, J. Togelius, Y.-G. Cheong, Advanced Cauchy mutation for differential evolution in numerical optimization, IEEE Access, 8 (2020), 8720–8734. https://doi.org/10.1109/access.2020.2964222 doi: 10.1109/access.2020.2964222
    [14] T. J. Choi, J. Togelius, Y.-G. Cheong, A fast and efficient stochastic opposition-based learning for differential evolution in numerical optimization, Swarm Evol. Comput., 60 (2021), 100768. https://doi.org/10.1016/j.swevo.2020.100768 doi: 10.1016/j.swevo.2020.100768
    [15] T. J. Choi, An efficient eigenvector-based crossover for differential evolution: Simplifying with rank-one updates, AIMS Mathematics, 10 (2025), 3500–3522. https://doi.org/10.3934/math.2025162 doi: 10.3934/math.2025162
    [16] T. J. Choi, C. W. Ahn, Artificial life based on boids model and evolutionary chaotic neural networks for creating artworks, Swarm Evol. Comput., 47 (2019), 80–88. https://doi.org/10.1016/j.swevo.2017.09.003 doi: 10.1016/j.swevo.2017.09.003
    [17] T. J. Choi, J. Togelius, Self-referential quality diversity through differential MAP-Elites. In: Proceedings of the Genetic and Evolutionary Computation Conference, New York: Association for Computing Machinery, 2021,502–509. https://doi.org/10.1145/3449639.3459383
    [18] T. J. Choi, J.-H. Lee, H. Y. Youn, C. W. Ahn, Adaptive differential evolution with elite opposition-based learning and its application to training artificial neural networks, Fund. Inform., 164 (2019), 227–242. https://doi.org/10.3233/fi-2019-1764 doi: 10.3233/fi-2019-1764
    [19] Y. Zhang, D.-W. Gong, X.-Z. Gao, T. Tian, X.-Y. Sun, Binary differential evolution with self-learning for multi-objective feature selection, Inform. Sciences, 507 (2020), 67–85. https://doi.org/10.1016/j.ins.2019.08.040 doi: 10.1016/j.ins.2019.08.040
    [20] S. Das, P. N. Suganthan, Differential evolution: A survey of the state-of-the-art, IEEE T. Evolut. Comput., 15 (2010), 4–31. https://doi.org/10.1109/tevc.2010.2059031 doi: 10.1109/tevc.2010.2059031
    [21] S. Das, S. S. Mullick, P. N. Suganthan, Recent advances in differential evolution–An updated survey, Swarm Evol. Comput., 27 (2016), 1–30. https://doi.org/10.1016/j.swevo.2016.01.004 doi: 10.1016/j.swevo.2016.01.004
    [22] X. G. Ye, J. P. Li, P. Wang, P. N. Suganthan, A comprehensive survey of adaptive strategies in differential evolutionary algorithms, Swarm Evol. Comput., 98 (2025), 102081. https://doi.org/10.1016/j.swevo.2025.102081 doi: 10.1016/j.swevo.2025.102081
    [23] M. Ali, M. Pant, Improving the performance of differential evolution algorithm using Cauchy mutation, Soft Comput., 15 (2011), 991–1007. https://doi.org/10.1007/s00500-010-0655-2 doi: 10.1007/s00500-010-0655-2
    [24] J. Q. Zhang, A. C. Sanderson, JADE: Adaptive differential evolution with optional external archive, IEEE T. Evolut. Comput., 13 (2009), 945–958. https://doi.org/10.1109/tevc.2009.2014613 doi: 10.1109/tevc.2009.2014613
    [25] R. Tanabe, A. Fukunaga, Success-history based parameter adaptation for differential evolution, 2013 IEEE Congress on Evolutionary Computation, Cancun, Mexico, 2013, 71–78. https://doi.org/10.1109/cec.2013.6557555
    [26] R. Tanabe, A. S. Fukunaga, Improving the search performance of SHADE using linear population size reduction, 2014 IEEE Congress on Evolutionary Computation (CEC), Beijing, China, 2014, 1658–1665. https://doi.org/10.1109/cec.2014.6900380
    [27] J. Brest, M. S. Maučec, B. Bošković, Single objective real-parameter optimization: Algorithm jSO, 2017 IEEE Congress on Evolutionary Computation (CEC), Donostia, Spain, 2017, 1311–1318. https://doi.org/10.1109/cec.2017.7969456
    [28] V. Stanovov, S. Akhmedova, E. Semenkin, LSHADE algorithm with rank-based selective pressure strategy for solving CEC 2017 benchmark problems, 2018 IEEE Congress on Evolutionary Computation (CEC), Rio de Janeiro, Brazil, 2018, 1–8. https://doi.org/10.1109/cec.2018.8477977
    [29] V. Stanovov, S. Akhmedova, E. Semenkin, NL-SHADE-RSP algorithm with adaptive archive and selective pressure for CEC 2021 numerical optimization, 2021 IEEE Congress on Evolutionary Computation (CEC), Kraków, Poland, 2021,809–816. https://doi.org/10.1109/cec45853.2021.9504959
    [30] V. Stanovov, S. Akhmedova, E. Semenkin, NL-SHADE-LBC algorithm with linear parameter adaptation bias change for CEC 2022 numerical optimization, 2022 IEEE Congress on Evolutionary Computation (CEC), Padua, Italy, 2022, 1–8. https://doi.org/10.1109/cec55065.2022.9870295
    [31] V. Stanovov, S. Akhmedova, E. Semenkin, Dual-population adaptive differential evolution algorithm L-NTADE, Mathematics, 10 (2022), 4666. https://doi.org/10.3390/math10244666 doi: 10.3390/math10244666
    [32] D. Chauhan, A. Trivedi, Shivani, A multi-operator ensemble LSHADE with restart and local search mechanisms for single-objective optimization, 2024, arXiv: 2409.15994. https://doi.org/10.48550/arXiv.2409.15994
    [33] A. Stacey, M. Jancic, I. Grundy, Particle swarm optimization with mutation, The 2003 Congress on Evolutionary Computation (CEC'03), Canberra, ACT, Australia, 2003, 1425–1430. https://doi.org/10.1109/CEC.2003.1299838
    [34] T. J. Choi, C. W. Ahn, Accelerating differential evolution using multiple exponential Cauchy mutation, In: Proceedings of the Genetic and Evolutionary Computation Conference Companion, New York: Association for Computing Machinery, 2018,207–208. https://doi.org/10.1145/3205651.3205689
    [35] Z. H. Cai, S. C. Gao, X. Yang, M. C. Zhou, Multiselection-based differential evolution, IEEE Transactions on Systems, Man, and Cybernetics: Systems, 54 (2024), 7318–7330. https://doi.org/10.1109/tsmc.2024.3447051 doi: 10.1109/tsmc.2024.3447051
    [36] S. C. Tao, R. H. Zhao, K. Y. Wang, S. C. Gao, An efficient reconstructed differential evolution variant by some of the current state-of-the-art strategies for solving single objective bound constrained problems, 2024, arXiv: 2404.16280. https://doi.org/10.48550/arXiv.2404.16280
    [37] Z. Li, K. Y. Wang, C. X. Xue, H. T. Li, Y. Todo, Z. Y. Lei, et al., Differential evolution with ring sub-population architecture for optimization, Knowl.-Based Syst., 305 (2024), 112590. https://doi.org/10.1016/j.knosys.2024.112590 doi: 10.1016/j.knosys.2024.112590
    [38] J. T. Y. Yu, K. Y. Wang, Z. Y. Lei, J. J. Cheng, S. C. Gao, Serial multilevel-learned differential evolution with adaptive guidance of exploration and exploitation, Expert Syst. Appl., 255 (2024), 124646. https://doi.org/10.1016/j.eswa.2024.124646 doi: 10.1016/j.eswa.2024.124646
    [39] F. Wilcoxon, Individual comparisons by ranking methods, Biometrics Bulletin, 1 (1945), 80–83. https://doi.org/10.2307/3001968 doi: 10.2307/3001968
    [40] M. Friedman, The use of ranks to avoid the assumption of normality implicit in the analysis of variance, J. Am. Stat. Assoc., 32 (1937), 675–701. https://doi.org/10.2307/2279372 doi: 10.2307/2279372
    [41] O. J. Dunn, Multiple comparisons among means, J. Am. Stat. Assoc., 56 (1961), 52–64. https://doi.org/10.2307/2282330 doi: 10.2307/2282330
    [42] S. Holm, A simple sequentially rejective multiple test procedure, Scand. J. Statist., 6 (1979), 65–70.
    [43] Y. Hochberg, A sharper Bonferroni procedure for multiple tests of significance, Biometrika, 75 (1988), 800–802. https://doi.org/10.2307/2336325 doi: 10.2307/2336325
    [44] R. L. Iman, J. M. Davenport, Approximations of the critical region of the friedman statistic, Commun. Stat.-Theor. M., 9 (1980), 571–595. https://doi.org/10.1080/03610928008827904 doi: 10.1080/03610928008827904
    [45] B. Hu, Y. T. Qiu, W. T. Zhou, L. Y. Zhu, Existence of solution for an impulsive differential system with improved boundary value conditions, AIMS Mathematics, 8 (2023), 17197–17207. https://doi.org/10.3934/math.2023878 doi: 10.3934/math.2023878
  • Reader Comments
  • © 2026 the Author(s), licensee AIMS Press. This is an open access article distributed under the terms of the Creative Commons Attribution License (http://creativecommons.org/licenses/by/4.0)
通讯作者: 陈斌, bchen63@163.com
  • 1. 

    沈阳化工大学材料科学与工程学院 沈阳 110142

  1. 本站搜索
  2. 百度学术搜索
  3. 万方数据库搜索
  4. CNKI搜索

Metrics

Article views(530) PDF downloads(40) Cited by(0)

Article outline

Figures and Tables

Figures(6)  /  Tables(20)

Other Articles By Authors

/

DownLoad:  Full-Size Img  PowerPoint
Return
Return

Catalog