Research article Special Issues

Application of fractional derivatives in the Guyer and Krumhansl heat transfer control model for magneto-thermoelastic analysis of transversely isotropic annular cylinders

  • Published: 04 January 2026
  • MSC : 65M38, 78M15, 80M15

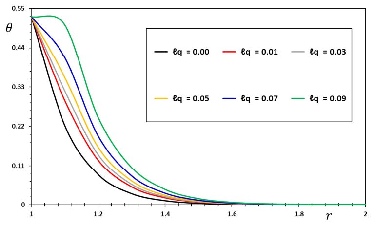
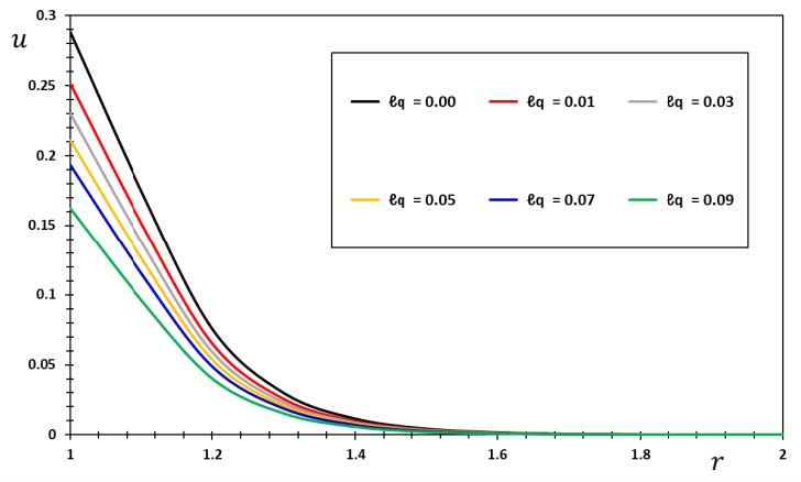
  • In this study, we presented a novel fractional nonlocal thermoelastic heat conduction model that extends the Guyer–Krumhansl framework by incorporating size-dependent nonlocal thermal effects and non-Fourier heat conduction characteristics. The model extends the traditional approach using the single-phase-lag (SPL) method derived from Moore–Gibson–Thompson (MGT) heat theory. By employing the Atangana–Baleanu (AB) fractional derivative with a non-singular kernel, we integrated nonlocal features through fractional derivatives, enhancing its applicability to complex thermal behaviors in materials exhibiting combined nonlocal and fractional dynamics. To validate the model, thermoelastic interactions were examined in a long, hollow cylinder subjected to a uniform electromagnetic field. The outer surface was thermally insulated and traction-free, while the inner surface, also traction-free, experienced thermal shock. Governing equations were solved using the Laplace transform method, and numerical solutions were obtained via the Dubner–Abate algorithm. The results were compared with conventional and generalized thermoelastic models to assess accuracy and effectiveness. Additional analysis explored material properties through graphical data, considering various fractional orders and operators, thereby enriching the understanding of system behavior under different conditions. The findings demonstrated the advantages of the fractional nonlocal thermoelastic model in capturing complex thermal interactions within advanced materials, contributing significantly to heat conduction theory.

    Citation: Mofareh Alhazmi, Ahmed E. Abouelregal, Marin Marin. Application of fractional derivatives in the Guyer and Krumhansl heat transfer control model for magneto-thermoelastic analysis of transversely isotropic annular cylinders[J]. AIMS Mathematics, 2026, 11(1): 127-166. doi: 10.3934/math.2026006

    Related Papers:

  • In this study, we presented a novel fractional nonlocal thermoelastic heat conduction model that extends the Guyer–Krumhansl framework by incorporating size-dependent nonlocal thermal effects and non-Fourier heat conduction characteristics. The model extends the traditional approach using the single-phase-lag (SPL) method derived from Moore–Gibson–Thompson (MGT) heat theory. By employing the Atangana–Baleanu (AB) fractional derivative with a non-singular kernel, we integrated nonlocal features through fractional derivatives, enhancing its applicability to complex thermal behaviors in materials exhibiting combined nonlocal and fractional dynamics. To validate the model, thermoelastic interactions were examined in a long, hollow cylinder subjected to a uniform electromagnetic field. The outer surface was thermally insulated and traction-free, while the inner surface, also traction-free, experienced thermal shock. Governing equations were solved using the Laplace transform method, and numerical solutions were obtained via the Dubner–Abate algorithm. The results were compared with conventional and generalized thermoelastic models to assess accuracy and effectiveness. Additional analysis explored material properties through graphical data, considering various fractional orders and operators, thereby enriching the understanding of system behavior under different conditions. The findings demonstrated the advantages of the fractional nonlocal thermoelastic model in capturing complex thermal interactions within advanced materials, contributing significantly to heat conduction theory.



    加载中


    [1] D. W. Hahn, M. N. Özisik, Heat conduction, John Wiley & Sons, 2012. https://doi.org/10.1002/9781118411285
    [2] N. Yang, G. Zhang, B. Li, Violation of Fourier's law and anomalous heat diffusion in silicon nanowires, Nano Today, 5 (2010), 85–90. https://doi.org/10.1016/j.nantod.2010.02.002 doi: 10.1016/j.nantod.2010.02.002
    [3] N. Challamel, C. Grazide, V. Picandet, A. Perrot, Y. Zhang, A nonlocal Fourier's law and its application to the heat conduction of one-dimensional and two-dimensional thermal lattices, C. R. Mecanique, 344 (2016), 388–401. https://doi.org/10.1016/j.crme.2016.01.001 doi: 10.1016/j.crme.2016.01.001
    [4] M. E. Gurtin, A. C. Pipkin, A general theory of heat conduction with finite wave speeds, Arch. Rational Mech. Anal., 31 (1968), 113–126. https://doi.org/10.1007/BF00281373 doi: 10.1007/BF00281373
    [5] M. A. Biot, Thermoelasticity and irreversible thermodynamics, J. Appl. Phys., 27 (1956), 240–253. https://doi.org/10.1063/1.1722351 doi: 10.1063/1.1722351
    [6] J.-L. Auriault, Cattaneo–Vernotte equation versus Fourier thermoelastic hyperbolic heat equation, Int. J. Eng. Sci., 101 (2016), 45–49. https://doi.org/10.1016/j.ijengsci.2015.12.002 doi: 10.1016/j.ijengsci.2015.12.002
    [7] H. W. Lord, Y. Shulman, A generalized dynamical theory of thermoelasticity, J. Mech. Phys. Solids, 15 (1967), 299–309. https://doi.org/10.1016/0022-5096(67)90024-5 doi: 10.1016/0022-5096(67)90024-5
    [8] A. E. Green, P. M. Naghdi, A re-examination of the basic postulates of thermomechanics, Proceedings of the Royal Society of London. Series A: Mathematical and Physical Sciences, 432 (1991), 171–194. https://doi.org/10.1098/rspa.1991.0012 doi: 10.1098/rspa.1991.0012
    [9] A. E. Green, P. M. Naghdi, On undamped heat waves in an elastic solid, J. Therm. Stresses, 15 (1992), 253–264. https://doi.org/10.1080/01495739208946136 doi: 10.1080/01495739208946136
    [10] A. E. Green, P. M. Naghdi, Thermoelasticity without energy dissipation, J. Elasticity, 31 (1993), 189–208. https://doi.org/10.1007/BF00044969 doi: 10.1007/BF00044969
    [11] F. Dell'Oro, V. Pata, On the Moore–Gibson–Thompson equation and its relation to linear viscoelasticity, Appl. Math. Optim., 76 (2017), 641–655. https://doi.org/10.1007/s00245-016-9365-1 doi: 10.1007/s00245-016-9365-1
    [12] M. Bongarti, S. Charoenphon, I. Lasiecka, Singular thermal relaxation limit for the Moore–Gibson–Thompson equation arising in propagation of acoustic waves, In: Semigroups of operators: theory and applications, Cham: Springer, 2020,147–182. https://doi.org/10.1007/978-3-030-46079-2_9
    [13] R. Quintanilla, Moore–Gibson–Thompson thermoelasticity, Math. Mech. Solids, 24 (2019), 4020–4031. https://doi.org/10.1177/1081286519862007 doi: 10.1177/1081286519862007
    [14] G. Makkad, L. Khalsa, V. Varghese, Thermoviscoelastic vibrations in circular microplate resonators induced by nonlocal thermomass motion, Acta Mech., 236 (2025), 5301–5321. https://doi.org/10.1007/s00707-025-04443-1 doi: 10.1007/s00707-025-04443-1
    [15] V. Sharma, D. K. Sharma, N. Sarkar, M. K. Sharma, A. Sharma, Investigation on transient viscothermoelastic waves in a half-space due to instantaneous thermal point heat sources via Moore–Gibson–Thompson heat conduction model, Mech. Solids, 60 (2025), 2841–2857. https://doi.org/10.1134/S0025654425600758 doi: 10.1134/S0025654425600758
    [16] A. E. Abouelregal, Generalized thermoelastic MGT model for a functionally graded heterogeneous unbounded medium containing a spherical hole, Eur. Phys. J. Plus, 137 (2022), 953. https://doi.org/10.1140/epjp/s13360-022-03160-1 doi: 10.1140/epjp/s13360-022-03160-1
    [17] Z. Liu, Z. Li, Q. Ma, A thermo-mechanical coupling model for simulating the re-entry failure evolution mechanism of spacecraft propulsion module, Thin-Walled Struct., 184 (2023), 110504. https://doi.org/10.1016/j.tws.2022.110504 doi: 10.1016/j.tws.2022.110504
    [18] R. R. Yahya, A. M. Abd-Alla, Dynamics of rotating magneto-thermoelastic systems under thermal stress and double porosity, Mech. Solids, 60 (2025), 2559–2574. https://doi.org/10.1134/S0025654425600023 doi: 10.1134/S0025654425600023
    [19] R. Hilfer, Applications of fractional calculus in physics, World Scientific, 2000. https://doi.org/10.1142/3779
    [20] K. M. Owolabi, E. Pindza, Modeling anomalous diffusion with Riesz fractional derivatives: applications to pattern formation, Numer. Meth. Part. Differ. Equ., 41 (2025), e70041. https://doi.org/10.1002/num.70041 doi: 10.1002/num.70041
    [21] E. Köroğlu, B. Berk, S. Ünlütürk, Application of fractional calculus-based anomalous diffusion model for drying analysis of large grapes subjected to micro-perforation pretreatment, Heat Mass Transfer, 61 (2025), 37. https://doi.org/10.1007/s00231-025-03563-7 doi: 10.1007/s00231-025-03563-7
    [22] C. Li, D. Qian, Y. Chen, On Riemann–Liouville and Caputo derivatives, Discrete Dyn. Nat. Soc., 2011 (2011), 562494. https://doi.org/10.1155/2011/562494 doi: 10.1155/2011/562494
    [23] A. Atangana, D. Baleanu, New fractional derivatives with non-local and non-singular kernel: theory and application to heat transfer model, Therm. Sci., 20 (2016), 763–769. https://doi.org/10.2298/TSCI160111018A doi: 10.2298/TSCI160111018A
    [24] A. Atangana, D. Baleanu, Caputo–Fabrizio derivative applied to groundwater flow within confined aquifer, J. Eng. Mech., 143 (2017), D4016005. https://doi.org/10.1061/(ASCE)EM.1943-7889.0001091 doi: 10.1061/(ASCE)EM.1943-7889.0001091
    [25] K. A. Abro, J. F. Gomez-Aguilar, Fractional modeling of fin on non-Fourier heat conduction via modern fractional differential operators, Arab. J. Sci. Eng., 46 (2021), 2901–2910. https://doi.org/10.22055/jacm.2020.33472.2232 doi: 10.22055/jacm.2020.33472.2232
    [26] A. Ghezal, A. A. Al Ghafli, H. J. Al Salman, Anomalous drug transport in biological tissues: a Caputo fractional approach with non-classical boundary modeling, Fractal Fract., 9 (2025), 508. https://doi.org/10.3390/fractalfract9080508 doi: 10.3390/fractalfract9080508
    [27] A. E. Abouelregal, M. Yaylacı, A. Alhashash, S. S. Alsaeed, Fractional thermoelastic analysis of infinite porous materials with cylindrical cavities and voids using a modified space-time-nonlocality kernel, Int. J. Mech. Mater. Des., 21 (2025), 1297–1321. https://doi.org/10.1007/s10999-025-09783-3 doi: 10.1007/s10999-025-09783-3
    [28] M. Balaganesan, Multiobjective optimization in fractional calculus: theoretical and computational advances, Int. J. Math. Anal. Res., 1 (2025), 38–47. https://doi.org/10.64137/XXXXXXXX/IJMAR-V1I1P105 doi: 10.64137/XXXXXXXX/IJMAR-V1I1P105
    [29] W. Yang, Z. Chen, Nonlocal dual-phase-lag heat conduction and the associated nonlocal thermal-viscoelastic analysis, Int. J. Heat Mass Tran., 156 (2020), 119752. https://doi.org/10.1016/j.ijheatmasstransfer.2020.119752 doi: 10.1016/j.ijheatmasstransfer.2020.119752
    [30] R. A. Guyer, J. A. Krumhansl, Solution of the linearized phonon Boltzmann equation, Phys. Rev., 148 (1966), 766. https://doi.org/10.1103/PhysRev.148.766 doi: 10.1103/PhysRev.148.766
    [31] C. F. Munafó, P. Rogolino, A. Sellitto, Heat transfer at nano-scale and boundary conditions: a comparison between the Guyer–Krumhansl model and the Thermomass theory, J. Non-Equilib. Thermodyn., 50 (2025), 361–379. https://doi.org/10.1515/jnet-2024-0098 doi: 10.1515/jnet-2024-0098
    [32] W. Yang, R. Gao, Z. Liu, Y. Cui, A. Pourasghar, Z. Chen, Transient heat conduction in the cracked medium by Guyer–Krumhansl model, Int. J. Fract., 246 (2024), 145–160. https://doi.org/10.1007/s10704-023-00727-6 doi: 10.1007/s10704-023-00727-6
    [33] K. G. Atman, H. Şirin, Nonlocal phenomena in quantum mechanics with fractional calculus, Rep. Math. Phys., 86 (2020), 263–270. https://doi.org/10.1016/S0034-4877(20)30075-6 doi: 10.1016/S0034-4877(20)30075-6
    [34] G. Geetanjali, P. K. Sharma, Vibrational analysis of transversely isotropic hollow cylinder based on fractional generalized thermoelastic diffusion models with nonlocal effects, Acta Mech., 235 (2024), 147–166. https://doi.org/10.1007/s00707-023-03738-5 doi: 10.1007/s00707-023-03738-5
    [35] A. E. Abouelregal, S. S. Alsaeed, M. F. Ismail, Investigation of magneto–thermoelastic effects in a perfectly conducting micropolar half-space using nonlocal theory with internal length and time scales, Int. J. Mech. Mater. Des., 21 (2025), 1777–1797. https://doi.org/10.1007/s10999-025-09800-5 doi: 10.1007/s10999-025-09800-5
    [36] H. Parkus, Magneto-thermoelasticity, Vienna: Springer, 1972. https://doi.org/10.1007/978-3-7091-2938-8
    [37] B. Das, Problems and solutions in thermoelasticity and magneto-thermoelasticity, Cham: Springer, 2017. https://doi.org/10.1007/978-3-319-48808-0
    [38] S. K. Prasad, D. Banerjee, T. Van Doorsselaere, Frequency-dependent damping in propagating slow magneto-acoustic waves, Astrophys. J., 789 (2014), 118. https://doi.org/ 10.1088/0004-637X/789/2/118 doi: 10.1088/0004-637X/789/2/118
    [39] S. M. Said, 2D problem of nonlocal rotating thermoelastic half-space with memory-dependent derivative, Multidiscip. Model. Mater. Struct., 18 (2022), 339–350. https://doi.org/10.1108/MMMS-01-2022-0011 doi: 10.1108/MMMS-01-2022-0011
    [40] S. M. Said, Effects of phase-lags, rotation, and temperature-dependent properties on plane waves in a magneto-microstretch thermoelastic medium, Mech. Based Des. Struct. Mach., 49 (2021), 534–552. https://doi.org/10.1080/15397734.2019.1693898 doi: 10.1080/15397734.2019.1693898
    [41] S. M. Said, Novel model of thermo-magneto-viscoelastic medium with variable thermal conductivity under effect of gravity, Appl. Math. Mech., 41 (2020), 819–832. https://doi.org/10.1007/s10483-020-2603-9 doi: 10.1007/s10483-020-2603-9
    [42] S. M. Said, Two-temperature generalized magneto-thermoelastic medium for dual-phase-lag model under the effect of gravity field and hydrostatic initial stress, Multidiscip. Model. Mater. Struct., 12 (2016), 362–383. https://doi.org/10.1108/MMMS-09-2015-0049 doi: 10.1108/MMMS-09-2015-0049
    [43] S. M. Said, M. I. A. Othman, Generalized electro–magneto-thermoelasticity with two-temperature and internal heat source in a finite conducting medium under three theories, Waves in Random and Complex Media, 31 (2021), 972–991. https://doi.org/10.1080/17455030.2019.1637552 doi: 10.1080/17455030.2019.1637552
    [44] S. M. Said, M. I. A. Othman, M. G. Eldemerdash, Influence of a magnetic field on a nonlocal thermoelastic porous solid with memory-dependent derivative, Indian J. Phys., 98 (2024), 679–690. https://doi.org/10.1007/s12648-023-02800-1 doi: 10.1007/s12648-023-02800-1
    [45] A. S. H. Alhasan, S. Saranya, Q. M. Al-Mdallal, Fractional derivative modeling of heat transfer and fluid flow around a contracting permeable infinite cylinder: computational study, Partial Differ. Equ. Appl. Math., 11 (2024), 100794. https://doi.org/10.1016/j.padiff.2024.100794 doi: 10.1016/j.padiff.2024.100794
    [46] N. A. Mohammad, A. R. S. R. Alsalmi, N. M. Awad, Y. Ma, S. Saranya, Q. M. Al-Mdallal, Application of fractional derivative in Buongiorno's model for enhanced fluid flow and heat transfer analysis over a permeable cylinder, Int. J. Thermofluids, 26 (2025), 101129. https://doi.org/10.1016/j.ijft.2025.101129 doi: 10.1016/j.ijft.2025.101129
    [47] T. Körpinar, Z. Körpinar, A. Akgül, Q. Al-Mdallal, Nonlinear normalized fractional electroosmotic spacelike fluid model, Int. J. Thermofluids, 26 (2025), 101057. https://doi.org/10.1016/j.ijft.2025.101057 doi: 10.1016/j.ijft.2025.101057
    [48] K. A. Abro, I. Q. Memon, A. Yousef, Q. M. Al-Mdallal, A comparative analysis of fractal and fractionalized thermal non-equilibrium model for chaotic convection saturated by porous medium, S. Afr. J. Chem. Eng., 51 (2025), 124–135. https://doi.org/10.1016/j.sajce.2024.10.012 doi: 10.1016/j.sajce.2024.10.012
    [49] Y. C. Shiah, C. L. Tan, Boundary element method for thermoelastic analysis of three-dimensional transversely isotropic solids, Int. J. Solids Struct., 49 (2012), 2924–2933. https://doi.org/10.1016/j.ijsolstr.2012.05.025 doi: 10.1016/j.ijsolstr.2012.05.025
    [50] H. Ding, W. Chen, L. Zhang, Elasticity of transversely isotropic materials, Dordrecht: Springer, 2006. https://doi.org/10.1007/1-4020-4034-2
    [51] R. G. Payton, Elastic wave propagation in transversely isotropic media, Dordrecht: Springer, 1983. https://doi.org/10.1007/978-94-009-6866-0
    [52] A. K. Kheibari, M. Jafari, M. B. Nazari, Propagation of heat wave in composite cylinder using Cattaneo–Vernotte theory, Int. J. Heat Mass Tran., 160 (2020), 120208. https://doi.org/10.1016/j.ijheatmasstransfer.2020.120208 doi: 10.1016/j.ijheatmasstransfer.2020.120208
    [53] A. E. Abouelregal, H. M. Sedighi, Thermoelastic characteristics of moving viscoelastic nanobeams based on the nonlocal couple stress theory and dual-phase lag model, Phys. Scr., 97 (2022), 114003. https://doi.org/10.1088/1402-4896/ac97cc doi: 10.1088/1402-4896/ac97cc
    [54] H. Zhou, P. Li, Nonlocal dual-phase-lagging thermoelastic damping in rectangular and circular micro/nanoplate resonators, Appl. Math. Model., 95 (2021), 667–687. https://doi.org/10.1016/j.apm.2021.02.035 doi: 10.1016/j.apm.2021.02.035
    [55] L. Hai, D. J. Kim, Nonlocal dual-phase-lag thermoelastic damping in small-sized circular cross-sectional ring resonators, Mech. Adv. Mater. Struct., 31 (2024), 7498–7514. https://doi.org/10.1080/15376494.2023.2245822 doi: 10.1080/15376494.2023.2245822
    [56] C. Li, J. Liu, T. He, Nonlocal dual-phase-lag Cattaneo-type thermoelastic diffusion theory and its application in 1D transient dynamic responses analysis for copper-metallic layered structure, Acta Mech., 235 (2024), 6341–6363. https://doi.org/10.1007/s00707-024-04050-6 doi: 10.1007/s00707-024-04050-6
    [57] X. Li, X. Tian, The thermal injury analysis of skin tissue with a new nonlocal dual phase lag model, Waves in Random and Complex Media, 35 (2025), 6669–6682. https://doi.org/10.1080/17455030.2022.2080299 doi: 10.1080/17455030.2022.2080299
    [58] A. E. Abouelregal, M. Marin, Y. Alhassan, D. Atta, A novel space–time nonlocal thermo-viscoelastic model with two-phase lags for analyzing heat diffusion in a half-space subjected to a heat source, Iran. J. Sci. Technol. Trans. Mech. Eng., 49 (2025), 1315–1332. https://doi.org/10.1007/s40997-025-00835-9 doi: 10.1007/s40997-025-00835-9
    [59] R. Quintanilla, Moore–Gibson–Thompson thermoelasticity with two temperatures, Appl. Eng. Sci., 1 (2020), 100006. https://doi.org/10.1016/j.apples.2020.100006 doi: 10.1016/j.apples.2020.100006
    [60] A. E. Abouelregal, K. Alanazi, Dynamics of a viscoelastic microbeam on Winkler foundation induced by laser excitation: a nonlocal MGT heat conduction approach, ZAMM-Z. Angew Math. Mech., 105 (2025), e70159. https://doi.org/10.1002/zamm.70159 doi: 10.1002/zamm.70159
    [61] A. E. Abouelregal, M. Marin, S. S. Askar, A. Foul, Thermomagnetic transient analysis of an infinitely long transverse isotropic annular cylinder using the MGT fractional heat conduction model with a non-singular kernel, J. Vib. Eng. Technol., 12 (2024), 557–572. https://doi.org/10.1007/s42417-024-01432-x doi: 10.1007/s42417-024-01432-x
    [62] G. Chen, Non-Fourier phonon heat conduction at the microscale and nanoscale, Nat. Rev. Phys., 3 (2021), 555–569. https://doi.org/10.1038/s42254-021-00334-1 doi: 10.1038/s42254-021-00334-1
    [63] M. Caputo, M. Fabrizio, A new definition of fractional derivative without singular kernel, Prog. Fract. Differ. Appl., 1 (2015), 73–85.
    [64] M. Caputo, M. Fabrizio, On the notion of fractional derivative and applications to the hysteresis phenomena, Meccanica, 52 (2017), 3043–3052. https://doi.org/10.1007/s11012-017-0652-y doi: 10.1007/s11012-017-0652-y
    [65] L. Bawankar, G. D. Kedar, Initial stress and modified Ohm's law in magneto-thermoelastic problem under three theories with microtemperatures and voids, Int. J. Thermodyn., 25 (2022), 54–63. https://doi.org/10.5541/ijot.934363 doi: 10.5541/ijot.934363
    [66] Y. Jiang, J. Shi, P. Wang, H. Zha, X. Lin, F. Liu, et al., Compact two-stage pulse compression system for producing gigawatt microwave pulses, IEEE Trans. Microw. Theory Tech., 69 (2021), 4533–4540. https://doi.org/10.1109/TMTT.2021.3093554 doi: 10.1109/TMTT.2021.3093554
    [67] B. Davies, B. Martin, Numerical inversion of the Laplace transform: a survey and comparison of methods, J. Comput. Phys., 33 (1979), 1–32. https://doi.org/10.1016/0021-9991(79)90025-1 doi: 10.1016/0021-9991(79)90025-1
    [68] A. M. Cohen, Numerical methods for Laplace transform inversion, New York: Springer, 2007. https://doi.org/10.1007/978-0-387-68855-8
    [69] A. Kuznetsov, On the convergence of the Gaver–Stehfest algorithm, SIAM J. Numer. Anal., 51 (2013), 2984–2998. https://doi.org/10.1137/13091974X doi: 10.1137/13091974X
    [70] G. Honig, U. Hirdes, A method for the numerical inversion of Laplace transforms, J. Comput. Appl. Math., 10 (1984), 113–132. https://doi.org/10.1016/0377-0427(84)90075-X doi: 10.1016/0377-0427(84)90075-X
    [71] M. Eroğlu, I. Esen, M. A. Koç, Thermal vibration and buckling analysis of magneto-electro-elastic functionally graded porous higher-order nanobeams using nonlocal strain gradient theory, Acta Mech., 235 (2024), 1175–1211. https://doi.org/10.1007/s00707-023-03793-y doi: 10.1007/s00707-023-03793-y
    [72] M. Malikan, V. A. Eremeyev, On dynamic modeling of piezomagnetic/flexomagnetic microstructures based on Lord–Shulman thermoelastic model, Arch. Appl. Mech., 93 (2023), 181–196. https://doi.org/10.1007/s00419-022-02149-7 doi: 10.1007/s00419-022-02149-7
    [73] H. Sharifi, Magneto–thermoelastic behavior of an orthotropic hollow cylinder based on Lord–Shulman and Green–Lindsay theories, Acta Mech., 235 (2024), 4863–4886. https://doi.org/10.1007/s00707-024-03985-0 doi: 10.1007/s00707-024-03985-0
    [74] S. Biswas, Eigenvalue approach to a magneto-thermoelastic problem in transversely isotropic hollow cylinder: comparison of three theories, Waves in Random and Complex Media, 31 (2021), 403–419. https://doi.org/10.1080/17455030.2019.1588484 doi: 10.1080/17455030.2019.1588484
    [75] M. K. Dehkordi, Y. Kiani, Lord–Shulman and Green–Lindsay-based magneto-thermoelasticity of hollow cylinder, Acta Mech., 235 (2024), 51–72. https://doi.org/10.1007/s00707-023-03739-4 doi: 10.1007/s00707-023-03739-4
    [76] A. Alansari, Fractional three-phase-lag heat transfer model for analyzing perfect conducting thermelastic hollow cylinder, Mech. Solids, 60 (2025), 2858–2873. https://doi.org/10.1134/S0025654425600977 doi: 10.1134/S0025654425600977
    [77] P. Xie, T. He, Investigation on the electromagneto-thermoelastic coupling behaviors of a rotating hollow cylinder with memory-dependent derivative, Mech. Based Des. Struct. Mach., 51 (2023), 3119–3137. https://doi.org/10.1080/15397734.2021.1919524 doi: 10.1080/15397734.2021.1919524
    [78] A. E. Abouelregal, M. Marin, A. Öchsner, The influence of a non-local Moore–Gibson–Thompson heat transfer model on an underlying thermoelastic material under the model of memory-dependent derivatives, Continuum Mech. Thermodyn., 35 (2023), 545–562. https://doi.org/10.1007/s00161-023-01195-y doi: 10.1007/s00161-023-01195-y
    [79] A. E. Abouelregal, M. Alesemi, Fractional Moore–Gibson–Thompson heat transfer model with nonlocal and nonsingular kernels of a rotating viscoelastic annular cylinder with changeable thermal properties, PLoS ONE, 17 (2022), e0269862. https://doi.org/10.1371/journal.pone.0269862 doi: 10.1371/journal.pone.0269862
    [80] H. Wang, T. He, Y. Ma, Investigation on the electro-magneto-thermoviscoelastic response of multilayer rotating hollow cylinder based on two-temperature theory and fractional-order viscoelastic systems, Mech. Adv. Mater. Struct., 32 (2025), 4196–4224. https://doi.org/10.1080/15376494.2024.2401177 doi: 10.1080/15376494.2024.2401177
  • Reader Comments
  • © 2026 the Author(s), licensee AIMS Press. This is an open access article distributed under the terms of the Creative Commons Attribution License (http://creativecommons.org/licenses/by/4.0)
通讯作者: 陈斌, bchen63@163.com
  • 1. 

    沈阳化工大学材料科学与工程学院 沈阳 110142

  1. 本站搜索
  2. 百度学术搜索
  3. 万方数据库搜索
  4. CNKI搜索

Metrics

Article views(524) PDF downloads(49) Cited by(0)

Article outline

Figures and Tables

Figures(15)  /  Tables(3)

Other Articles By Authors

/

DownLoad:  Full-Size Img  PowerPoint
Return
Return

Catalog