Research article

A novel passivity-based energy-shaping tracking control strategy for networked underactuated Euler-Lagrange systems

  • Published: 04 January 2026
  • MSC : 34H05, 93A16, 93C10

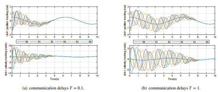
  • This paper presents the innovative tracking control approach for networked underactuated Euler-Lagrange systems (NUELSs), which employs the energy-shaping method within the passivity-based control framework. By introducing adaptive control techniques and sliding mode variables, two passivity-based control schemes for NUELSs are developed to enhance the reliability and tracking performance. The proposed controllers achieve closed-loop stability and accurate trajectory tracking by shaping the system's energy and assigning appropriate damping, while maintaining robustness in the presence of communication delays. The rigorous Lyapunov-based analysis is conducted to prove that all internal signals remain bounded and that the tracking errors converge asymptotically to zero. Furthermore, numerical simulations further validate the effectiveness of the presented method.

    Citation: Bin Zheng, Runlong Peng, Xuewei Ling. A novel passivity-based energy-shaping tracking control strategy for networked underactuated Euler-Lagrange systems[J]. AIMS Mathematics, 2026, 11(1): 1-21. doi: 10.3934/math.2026001

    Related Papers:

  • This paper presents the innovative tracking control approach for networked underactuated Euler-Lagrange systems (NUELSs), which employs the energy-shaping method within the passivity-based control framework. By introducing adaptive control techniques and sliding mode variables, two passivity-based control schemes for NUELSs are developed to enhance the reliability and tracking performance. The proposed controllers achieve closed-loop stability and accurate trajectory tracking by shaping the system's energy and assigning appropriate damping, while maintaining robustness in the presence of communication delays. The rigorous Lyapunov-based analysis is conducted to prove that all internal signals remain bounded and that the tracking errors converge asymptotically to zero. Furthermore, numerical simulations further validate the effectiveness of the presented method.



    加载中


    [1] T. Li, J. Zhang, S. Li, P. Zhou, D. Lv, Neural-based adaptive fixed-time prescribed performance control for the flexible-joint robot with actuator failures, Nonlinear Dyn., 111 (2023), 16187–16214. https://doi.org/10.1007/s11071-023-08714-1 doi: 10.1007/s11071-023-08714-1
    [2] H. Zhong, W. Wen, J. Fan, W. Yang, Reinforcement learning-based adaptive tracking control for flexible-joint robotic manipulators, AIMS Math., 9 (2024), 27330–27360. https://doi.org/10.3934/math.20241328 doi: 10.3934/math.20241328
    [3] W. Sun, S. Su, J. Xia, V. Nguyen, Adaptive fuzzy tracking control of flexible-joint robots with full-state constraints, IEEE Trans. Syst. Man Cybern. Syst., 49 (2018), 2201–2209. http://doi.org/10.1109/TSMC.2018.2870642 doi: 10.1109/TSMC.2018.2870642
    [4] G. Chen, Y. Xu, X. Yang, H. Hu, H. Cheng, L. Zhu, et al., Target tracking control of a bionic mantis shrimp robot with closed-loop central pattern generators, Ocean Eng., 297 (2024), 116963. http://doi.org/10.1016/j.oceaneng.2024.116963 doi: 10.1016/j.oceaneng.2024.116963
    [5] Y. Xiao, Y. Yang, D. Ye, Y. Zhao, Scaling-transformation-based attitude tracking control for rigid spacecraft with prescribed time and prescribed bound, IEEE Trans. Aerosp. Electron. Syst., 61 (2025), 433–442. http://doi.org/10.1109/TAES.2024.3451454 doi: 10.1109/TAES.2024.3451454
    [6] H. Bilal, B. Yin, M. Aslam, Z. Anjum, A. Rohra, Y. Wang, A practical study of active disturbance rejection control for rotary flexible joint robot manipulator, Soft Comput., 27 (2023), 4987–5001. http://doi.org/10.1007/s00500-023-08026-x doi: 10.1007/s00500-023-08026-x
    [7] H. Ma, Q. Zhou, H. Li, R. Lu, Adaptive prescribed performance control of a flexible-joint robotic manipulator with dynamic uncertainties, IEEE Trans. Cybern., 52 (2022), 12905–12915. http://doi.org/10.1109/TCYB.2021.3091531 doi: 10.1109/TCYB.2021.3091531
    [8] E. Nuño, D. Valle, I. Sarras, L. Basañez, Leader–follower and leaderless consensus in networks of flexible-joint manipulators, Eur. J. Control, 20 (2014), 249–258. https://doi.org/10.1016/j.ejcon.2014.07.003 doi: 10.1016/j.ejcon.2014.07.003
    [9] C. Wang, J. Wang, R. Agarwal, Z. Li, Almost anti-periodic discrete oscillation of general $N$-dimensional mechanical system and underactuated Euler-Lagrange system, Appl. Sci., 12 (2022), 1991. https://doi.org/10.3390/app12041991 doi: 10.3390/app12041991
    [10] T. Sun, X. Zhang, H. Yang, Y. Pan, Singular perturbation-based saturated adaptive control for underactuated Euler-Lagrange systems, ISA Trans., 119 (2022), 74–80. https://doi.org/10.1016/j.isatra.2021.02.036 doi: 10.1016/j.isatra.2021.02.036
    [11] B. Zheng, J. Ji, R. Peng, Z. Miao, J. Zhou, Energy shaping-based consensus control in networked underactuated Euler-Lagrange systems with communication and input delays, J. Franklin Inst., 361 (2024), 106705. https://doi.org/10.1016/j.jfranklin.2024.106705 doi: 10.1016/j.jfranklin.2024.106705
    [12] J. Romero, B. Yi, Immersion and invariance orbital stabilization of underactuated mechanical systems with collocated pre-feedback, J. Robust Nonlinear Control, 34 (2024), 9421–9437. https://doi.org/10.1002/rnc.7467 doi: 10.1002/rnc.7467
    [13] M. Mattioni, P. Borja, Digital passivity-based control of underactuated mechanical systems, Automatica, 173 (2025), 112096. https://doi.org/10.1016/j.automatica.2024.112096 doi: 10.1016/j.automatica.2024.112096
    [14] J. Acosta, R. Ortega, A. Astolfi, A. Mahindrakar, Interconnection and damping assignment passivity-based control of mechanical systems with underactuation degree one, IEEE Trans. Autom. Control, 50 (2005), 1936–1955. https://doi.org/10.1109/TAC.2005.860292 doi: 10.1109/TAC.2005.860292
    [15] K. Hamada, P. Borja, J. Scherpen, K. Fujimoto, I. Maruta, Passivity-based lag-compensators with input saturation for mechanical port-Hamiltonian systems without velocity measurements, IEEE Control Syst. Lett., 5 (2021), 1285–1290. https://doi.org/10.1109/LCSYS.2020.3032890 doi: 10.1109/LCSYS.2020.3032890
    [16] N. Sakata, K. Fujimoto, I. Maruta, Passivity-based sliding mode control for mechanical port-Hamiltonian systems, IEEE Trans. Autom. Control, 69 (2024), 5605–5612. https://doi.org/10.1109/TAC.2024.3371898 doi: 10.1109/TAC.2024.3371898
    [17] E. Nuño, R. Ortega, Achieving consensus of Euler-Lagrange agents with interconnecting delays and without velocity measurements via passivity-based control, IEEE Trans. Control Syst. Technol., 26 (2018), 222–232. http://doi.org/10.1109/TCST.2017.2661822 doi: 10.1109/TCST.2017.2661822
    [18] E. Cruz-Zavala, E. Nuño, J. Moreno, Finite-time consensus of Euler-Lagrange agents without velocity measurements via energy shaping, J. Robust Nonlinear Control, 29 (2019), 6006–6030. http://doi.org/10.1002/rnc.4704 doi: 10.1002/rnc.4704
    [19] B. Zheng, J. Ji, R. Peng, Z. Miao, J. Zhou, Region-reaching control for multiple underactuated Euler-Lagrange systems based on energy-shaping framework, Commun. Nonlinear Sci. Numer. Simul., 151 (2025), 109020. https://doi.org/10.1016/j.cnsns.2025.109020 doi: 10.1016/j.cnsns.2025.109020
    [20] M. Galaz, R. Ortega, A. Bazanella, A. Stankovic, An energy-shaping approach to the design of excitation control of synchronous generators, Automatica, 39 (2003), 111–119. https://doi.org/10.1016/S0005-1098(02)00177-2 doi: 10.1016/S0005-1098(02)00177-2
    [21] J. Sandoval, R. Kelly, V. Santibáñez, J. Moreno-Valenzuela, L. Cervantes-Pérez, Partial potential energy shaping control of torque-driven robot manipulators in joint space, Int. J. Control Autom. Syst., 22 (2024), 2230–22419. http://doi.org/10.1007/s12555-022-1196-z doi: 10.1007/s12555-022-1196-z
    [22] B. Salamat, G. Elsbacher, A. Tonello, Energy shaping control in underactuated robot systems with underactuation degree two, IEEE Robot. Autom. Lett., 10 (2025), 2734–2741. http://doi.org/10.1109/LRA.2025.3534688 doi: 10.1109/LRA.2025.3534688
    [23] J. Sun, Y. Dang, S. Yang, J. Wang, Y. Cai, A grey incidence model with cumulative time-delay effects and its applications, Appl. Math. Model., 145 (2025), 116144. http://doi.org/10.1016/j.apm.2025.116144 doi: 10.1016/j.apm.2025.116144
    [24] Y. Zhao, H. Wu, Fixed/Prescribed stability criterions of stochastic system with time-delay, AIMS Math., 9 (2024), 14425–14453. http://doi.org/10.3934/math.2024701 doi: 10.3934/math.2024701
    [25] H. Zeng, Y. Chen, Y. He, X. Zhang, A delay-derivative-dependent switched system model method for stability analysis of linear systems with time-varying delay, Automatica, 175 (2025), 112183. http://doi.org/10.1016/j.automatica.2025.112183 doi: 10.1016/j.automatica.2025.112183
    [26] J. Wen, F. Wang, Exponential stabilization of stochastic quantum systems based on time-delay noise-assisted feedback, Chaos Solit. Fract., 186 (2024), 115228. https://doi.org/10.1016/j.chaos.2024.115228 doi: 10.1016/j.chaos.2024.115228
    [27] J. Zhang, J. Wang, H. Han, Y. Hou, Coevolution-based robust optimal control for nonlinear system with time-delay optimal objectives, IEEE Trans. Syst. Man Cybern. Syst., 55 (2025), 1126–1136. https://doi.org/10.1109/TSMC.2024.3496564 doi: 10.1109/TSMC.2024.3496564
    [28] D. Li, L. Cao, Y. Pan, W. Xiao, H. Xue, A novel communication time-delay cooperative control method with switching event-triggered strategy, J. Intell. Robot. Syst., 110 (2024), 43. https://doi.org/10.1007/s10846-024-02076-5 doi: 10.1007/s10846-024-02076-5
    [29] Y. Fan, Z. Jin, B. Guo, X. Luo, X. Guan, Finite-time consensus of networked Euler-Lagrange systems via STA-based output feedback, Int. J. Control Autom. Syst., 20 (2022), 2993–3005. https://doi.org/10.1007/s12555-021-0393-5 doi: 10.1007/s12555-021-0393-5
    [30] R. Peng, R. Guo, L. Liu, J. Ji, Z. Miao, J. Zhou, Practical consensus tracking control for networked Euler–Lagrange systems based on UDE integrated with RBF neural network, Neurocomputing, 583 (2024), 127544. http://doi.org/10.1016/j.neucom.2024.127554 doi: 10.1016/j.neucom.2024.127554
    [31] T. Wang, W. Zou, X. Wang, J. Guo, Z. Xiang, Event-triggered fully distributed asymptotic consensus for leaderless multiple Euler-Lagrange systems, J. Franklin Inst., 360 (2023), 8569–8584. http://doi.org/10.1016/j.jfranklin.2023.06.035 doi: 10.1016/j.jfranklin.2023.06.035
    [32] S. Wang, H. Zhang, S. Baldi, R. Zhong, Leaderless consensus of heterogeneous multiple Euler-Lagrange systems with unknown disturbance, IEEE Trans. Autom. Control, 68 (2023), 2399–2406. http://doi.org/10.1109/TAC.2022.3172594 doi: 10.1109/TAC.2022.3172594
    [33] Y. Liu, P. Liu, B. Zhang, Distributed finite-time optimization for networked Euler-Lagrange systems under a directed graph, Trans. Inst. Meas. Control, 47 (2025), 381–386. http://doi.org/10.1177/01423312241248250 doi: 10.1177/01423312241248250
    [34] Z. Miao, J. Yu, J. Ji, J. Zhou, Multi-objective region reaching control for a swarm of robots, Automatica, 103 (2019), 81–87. http://doi.org/10.1016/j.automatica.2019.01.017 doi: 10.1016/j.automatica.2019.01.017
    [35] Y. Liu, Y. Jia, Adaptive consensus control for multiple Euler-Lagrange systems with external disturbance, Int. J. Control Autom. Syst., 15 (2017), 205–211. http://doi.org/10.1007/s12555-015-0221-x doi: 10.1007/s12555-015-0221-x
  • Reader Comments
  • © 2026 the Author(s), licensee AIMS Press. This is an open access article distributed under the terms of the Creative Commons Attribution License (http://creativecommons.org/licenses/by/4.0)
通讯作者: 陈斌, bchen63@163.com
  • 1. 

    沈阳化工大学材料科学与工程学院 沈阳 110142

  1. 本站搜索
  2. 百度学术搜索
  3. 万方数据库搜索
  4. CNKI搜索

Metrics

Article views(703) PDF downloads(124) Cited by(0)

Article outline

Figures and Tables

Figures(6)  /  Tables(1)

Other Articles By Authors

/

DownLoad:  Full-Size Img  PowerPoint
Return
Return

Catalog