Research article Special Issues

Computational study of soliton behavior in the simplified modified form of the Camassa-Holm equation

  • Published: 17 September 2025
  • MSC : 33F05, 35C08, 35E05, 35Q51, 37J25, 37L50

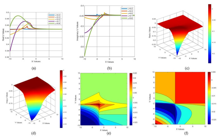
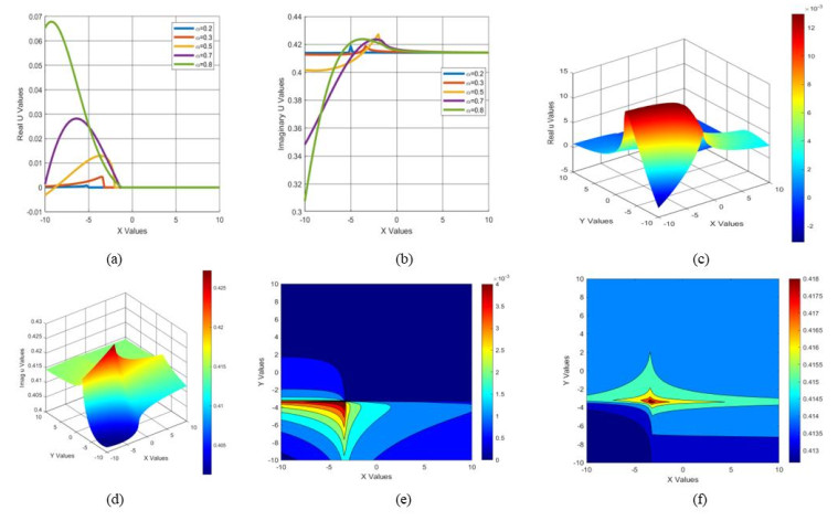
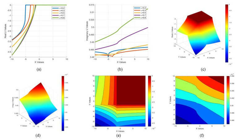
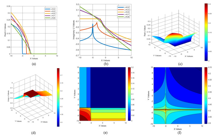
  • This study offers an in-depth exploration of traveling wave solutions to the simplified modified Camassa-Holm (SMCH) equation through the application of the modified S-expansion method. Utilizing a traveling wave transformation, the SMCH equation is converted into a nonlinear ordinary differential equation, from which a wide range of exact solutions is systematically obtained. The modified S-expansion method, implemented using the Maple software, proves to be a robust and efficient analytical tool, yielding a variety of soliton solutions such as kink, bright, and dark solitons. To capture the intricate behavior of these solutions, MATLAB is employed to produce detailed 2D, 3D, and contour visualizations that reveal their structural features and propagation dynamics. A comparative assessment with the modified simple equation method and the exp(-ϕ(η))-expansion method highlights the modified S-expansion method's superior accuracy, simplicity, and adaptability to solve nonlinear partial differential equations. Significantly, the method also extends to fractional-order equations, showcasing its broad applicability in nonlinear system analysis. Key solutions are graphically represented under constrained parameter values to emphasize the core propagation features. Overall, this work enhances the current analytical methods to solve both classical and fractional-order nonlinear partial differential equations (PDEs) and offers a valuable foundation for future research into closed-form traveling wave solutions across various disciplines.

    Citation: Hamida Parvin, Md. Nur Alam, Md. Farhad Hossain, Mohammad Hassan, Md. Jakir Hossen. Computational study of soliton behavior in the simplified modified form of the Camassa-Holm equation[J]. AIMS Mathematics, 2025, 10(9): 21533-21548. doi: 10.3934/math.2025957

    Related Papers:

  • This study offers an in-depth exploration of traveling wave solutions to the simplified modified Camassa-Holm (SMCH) equation through the application of the modified S-expansion method. Utilizing a traveling wave transformation, the SMCH equation is converted into a nonlinear ordinary differential equation, from which a wide range of exact solutions is systematically obtained. The modified S-expansion method, implemented using the Maple software, proves to be a robust and efficient analytical tool, yielding a variety of soliton solutions such as kink, bright, and dark solitons. To capture the intricate behavior of these solutions, MATLAB is employed to produce detailed 2D, 3D, and contour visualizations that reveal their structural features and propagation dynamics. A comparative assessment with the modified simple equation method and the exp(-ϕ(η))-expansion method highlights the modified S-expansion method's superior accuracy, simplicity, and adaptability to solve nonlinear partial differential equations. Significantly, the method also extends to fractional-order equations, showcasing its broad applicability in nonlinear system analysis. Key solutions are graphically represented under constrained parameter values to emphasize the core propagation features. Overall, this work enhances the current analytical methods to solve both classical and fractional-order nonlinear partial differential equations (PDEs) and offers a valuable foundation for future research into closed-form traveling wave solutions across various disciplines.



    加载中


    [1] O. G. Mustafa, A note on the Degasperis–Procesi equation, J. Nonlinear Math. Phys., 12 (2005), 10–14. https://doi.org/10.2991/jnmp.2005.12.1.2 doi: 10.2991/jnmp.2005.12.1.2
    [2] H. Lundmark, J. Szmigielski, Multi-peakon solutions of the Degasperis–Procesi equation, Inverse Probl., 19 (2003), 1241–1265. https://doi.org/10.1088/0266-5611/19/6/001 doi: 10.1088/0266-5611/19/6/001
    [3] A. M. Wazwaz, New solitary wave solutions to the modified forms of Degasperis–Procesi and Camassa–Holm equations, Appl. Math. Comput., 186 (2007), 130–141. https://doi.org/10.1016/j.amc.2006.07.092 doi: 10.1016/j.amc.2006.07.092
    [4] A. M. Wazwaz, Solitary wave solutions for modified forms of Degasperis–Procesi and Camassa–Holm equations, Phys. Lett. A, 352 (2006), 500–504. https://doi.org/10.1016/j.physleta.2005.12.036
    [5] R. Camassa, D. D. Holm, An integrable shallow water equation with peaked solitons, Phys. Rev. Lett., 71 (1993), 1661–1664. https://doi.org/10.1103/PhysRevLett.71.1661 doi: 10.1103/PhysRevLett.71.1661
    [6] L. Tian, X. Song, New peaked solitary wave solutions of the generalized Camassa–Holm equation, Chaos Soliton. Fract., 19 (2004), 621–637. https://doi.org/10.1016/S0960-0779(03)00192-9 doi: 10.1016/S0960-0779(03)00192-9
    [7] J. P. Boyd, Peakons and coshoidal waves: Traveling wave solutions of the Camassa–Holm equation, Appl. Math. Comput., 81 (1997), 173–187. https://doi.org/10.1016/0096-3003(95)00326-6 doi: 10.1016/0096-3003(95)00326-6
    [8] A. M. Wazwaz, New compact and noncompact solutions for two variants of a modified Camassa–Holm equation, Appl. Math. Comput., 163 (2005), 1165–1179. https://doi.org/10.1016/j.amc.2004.06.005 doi: 10.1016/j.amc.2004.06.005
    [9] A. Irshad, M. Usman, S. T. Mohyud-Din, Exp-function method for simplified modified Camassa-Holm equation, Int. J. Modern Math. Sci., 4 (2012), 146–155.
    [10] N. H. Ali, S. A. Mohammed, J. Manafian, Study on the simplified MCH equation and the combined KdV–mKdV equations with solitary wave solutions, Partial Differ. Equ. Appl. Math., 9 (2024), 100599. https://doi.org/10.1016/j.padiff.2023.100599 doi: 10.1016/j.padiff.2023.100599
    [11] Z. R. Liu, R. Q. Wang, Z. J. Jing, Peaked wave solutions of Camassa–Holm equation, Chaos Soliton. Fract., 19 (2004), 77–92. https://doi.org/10.1016/S0960-0779(03)00082-1 doi: 10.1016/S0960-0779(03)00082-1
    [12] A. Ali, M. A. Iqbal, S. T. Mohyud-Din, Traveling wave solutions of generalized Zakharov–Kuznetsov–Benjamin–Bona–Mahony and simplified modified form of Camassa–Holm equation exp(–φ(η))–expansion method, Egypt. J. Basic Appl. Sci., 3 (2016), 134–140. https://doi.org/10.1016/j.ejbas.2016.01.001 doi: 10.1016/j.ejbas.2016.01.001
    [13] M. N. Islam, M. Asaduzzaman, M. Shajib Ali, Exact wave solutions to the simplified modified Camassa–Holm equation in mathematical physics, AIMS Mathematics, 5 (2019), 26–41. https://doi.org/10.3934/math.2020003 doi: 10.3934/math.2020003
    [14] G. Zhang, M. Zhang, New explicit exact traveling wave solutions of Camassa–Holm equation, Appl. Anal., 104 (2025), 69–81. https://doi.org/10.1080/00036811.2021.1986024 doi: 10.1080/00036811.2021.1986024
    [15] A. Aasaraai, The application of modified F-expansion method solving the Maccari's system, J. Adv. Math. Comput. Sci., 11 (2015), 1–14. https://doi.org/10.9734/BJMCS/2015/19938 doi: 10.9734/BJMCS/2015/19938
    [16] A. R. Alharbi, Traveling-wave and numerical solutions to nonlinear evolution equations via modern computational techniques, AIMS Mathematics, 9 (2024), 1323–1345. https://doi.org/10.3934/math.2024065 doi: 10.3934/math.2024065
  • Reader Comments
  • © 2025 the Author(s), licensee AIMS Press. This is an open access article distributed under the terms of the Creative Commons Attribution License (http://creativecommons.org/licenses/by/4.0)
通讯作者: 陈斌, bchen63@163.com
  • 1. 

    沈阳化工大学材料科学与工程学院 沈阳 110142

  1. 本站搜索
  2. 百度学术搜索
  3. 万方数据库搜索
  4. CNKI搜索

Metrics

Article views(969) PDF downloads(29) Cited by(2)

Article outline

Figures and Tables

Figures(5)  /  Tables(1)

/

DownLoad:  Full-Size Img  PowerPoint
Return
Return

Catalog