Research article

Dynamic analysis of a fractional-order SEAIR model for influenza transmission with optimal control and stochastic stability

  • Published: 03 September 2025
  • MSC : 60H25, 34A09, 92D25

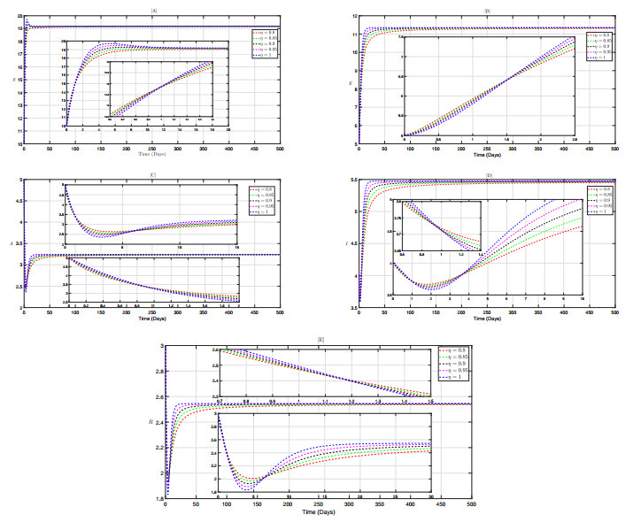
  • Understanding the dynamic characteristics of infectious disease transmission is key to designing effective control strategies. To this end, we proposed a Caputo fractional-order SEAIR model to study the transmission of influenza. First, the existence, uniqueness, and non-negativity of the model's solution were proven, ensuring its biological plausibility. Then, the basic reproduction number $ R_0 $ was derived using the next-generation matrix method, the existence and stability of equilibrium points were analyzed, and bifurcation phenomena in the model were proven. Next, vaccination and isolation were considered control strategies, and the existence of optimal solutions was discussed. The optimal control strategies were derived using the Pontryagin maximum principle. Through numerical simulations, the dynamic behavior of the controlled model under different initial values and $ \eta $ values was further analyzed. In addition, the stability of the stochastic model when $ \eta = 1 $ was studied, as well as the dynamic characteristics of the stochastic model under different influenza mortality rates ($ d $). Finally, real influenza patient data was used for parameter estimation to validate the accuracy and predictive capability of the deterministic model. The research results indicated that early detection and treatment helped significantly reduce the transmission range, thereby facilitating better control of influenza. In areas with high population density, a single control strategy may not be sufficient to effectively curb the spread, thus requiring a combination of multiple strategies to achieve better control outcomes.

    Citation: Hanyun Zhang, Guoqin Chen, Xingxiao Wu, Yanfang Zhao, Yujiao Wang. Dynamic analysis of a fractional-order SEAIR model for influenza transmission with optimal control and stochastic stability[J]. AIMS Mathematics, 2025, 10(9): 20157-20198. doi: 10.3934/math.2025901

    Related Papers:

  • Understanding the dynamic characteristics of infectious disease transmission is key to designing effective control strategies. To this end, we proposed a Caputo fractional-order SEAIR model to study the transmission of influenza. First, the existence, uniqueness, and non-negativity of the model's solution were proven, ensuring its biological plausibility. Then, the basic reproduction number $ R_0 $ was derived using the next-generation matrix method, the existence and stability of equilibrium points were analyzed, and bifurcation phenomena in the model were proven. Next, vaccination and isolation were considered control strategies, and the existence of optimal solutions was discussed. The optimal control strategies were derived using the Pontryagin maximum principle. Through numerical simulations, the dynamic behavior of the controlled model under different initial values and $ \eta $ values was further analyzed. In addition, the stability of the stochastic model when $ \eta = 1 $ was studied, as well as the dynamic characteristics of the stochastic model under different influenza mortality rates ($ d $). Finally, real influenza patient data was used for parameter estimation to validate the accuracy and predictive capability of the deterministic model. The research results indicated that early detection and treatment helped significantly reduce the transmission range, thereby facilitating better control of influenza. In areas with high population density, a single control strategy may not be sufficient to effectively curb the spread, thus requiring a combination of multiple strategies to achieve better control outcomes.



    加载中


    [1] E. C. Hutchinson, Influenza virus, Trends Microbiol., 26 (2018), 809–810. https://doi.org/10.1016/j.tim.2018.05.013 doi: 10.1016/j.tim.2018.05.013
    [2] A. Jutel, E. Banister, "I was pretty sure Ⅰ had the 'flu": qualitative description of confirmed-influenza symptoms, Soc. Sci. Med., 99 (2013), 49–55. https://doi.org/10.1016/j.socscimed.2013.10.011 doi: 10.1016/j.socscimed.2013.10.011
    [3] A. Trilla, G. Trilla, C. Daer, The 1918 "spanish flu" in Spain, Clin. Infect. Dis., 47 (2008), 668–673. https://doi.org/10.1086/590567 doi: 10.1086/590567
    [4] W. Barclay, P. Openshaw, The 1918 influenza pandemic: one hundred years of progress, but where now? Lancet Resp. Med., 6 (2018), 588–589. https://doi.org/10.1016/S2213-2600(18)30272-8 doi: 10.1016/S2213-2600(18)30272-8
    [5] J. Dunning, R. S. Thwaites, P. J. M. Openshaw, Seasonal and pandemic influenza: 100 years of progress, still much to learn, Mucosal Immunol., 13 (2020), 566–573. https://doi.org/10.1038/s41385-020-0287-5 doi: 10.1038/s41385-020-0287-5
    [6] R. Casagrandi, L. Bolzoni, S. A. Levin, V. Andreasen, The SIRC model and influenza A, Math. Biosci., 200 (2006), 152–169. https://doi.org/10.1016/j.mbs.2005.12.029 doi: 10.1016/j.mbs.2005.12.029
    [7] K. M. Mohammad, A. A. Akhi, Md. Kamrujjaman, Bifurcation analysis of an influenza A (H1N1) model with treatment and vaccination, PloS One, 20 (2025), e0315280. https://doi.org/10.1371/journal.pone.0315280 doi: 10.1371/journal.pone.0315280
    [8] C. Andreu-Vilarroig, G. González-Parra, R. J. Villanueva, Mathematical modeling of influenza dynamics: integrating seasonality and gradual waning immunity, Bull. Math. Biol., 87 (2025), 75. https://doi.org/10.1007/s11538-025-01454-w doi: 10.1007/s11538-025-01454-w
    [9] J. Z. Ndendya, L. Leandry, A. M. Kipingu, A next-generation matrix approach using Routh–Hurwitz criterion and quadratic Lyapunov function for modeling animal rabies with infective immigrants, Healthcare Anal., 4 (2023), 100260. https://doi.org/10.1016/j.health.2023.100260 doi: 10.1016/j.health.2023.100260
    [10] J. Z. Ndendya, Y. A. Liana, A deterministic mathematical model for conjunctivitis incorporating public health education as a control measure, Model. Earth Syst. Environ., 11 (2025), 216. https://doi.org/10.1007/s40808-025-02393-0 doi: 10.1007/s40808-025-02393-0
    [11] J. Z. Ndendya, J. A. Mwasunda, S. Edward, N. Shaban, A fractional-order model for rabies transmission dynamics using the Atangana–Baleanu–Caputo derivative and MCMC methods, Sci. Afr., 29 (2025), e02800. https://doi.org/10.1016/j.sciaf.2025.e02800 doi: 10.1016/j.sciaf.2025.e02800
    [12] M. A. Bahloul, A. Chahid, T. M. Laleg-Kirati, Fractional-order SEIQRDP model for simulating the dynamics of COVID-19 epidemic, IEEE Open J. Eng. Med. Biol., 1 (2020), 249–256. https://doi.org/10.1109/OJEMB.2020.3019758 doi: 10.1109/OJEMB.2020.3019758
    [13] A. Mahata, S. Paul, S. Mukherjee, M. Das, B. Roy, Dynamics of caputo fractional order SEIRV epidemic model with optimal control and stability analysis, Int. J. Appl. Comput. Math., 8 (2022), 28. https://doi.org/10.1007/s40819-021-01224-x doi: 10.1007/s40819-021-01224-x
    [14] B. Mohammadaliee, M. E. Samei, V. Roomi, S. Rezapour, Optimal control strategies and cost-effectiveness analysis for infectious diseases under fractal-fractional derivative: a case study of Cholera outbreak, J. Appl. Math. Comput., 71 (2025), 4197–4226. https://doi.org/10.1007/s12190-024-02331-w doi: 10.1007/s12190-024-02331-w
    [15] C. T. Deressa, G. F. Duressa, Analysis of Atangana–Baleanu fractional-order SEAIR epidemic model with optimal control, Adv. Differ. Equ., 2021 (2021), 174. https://doi.org/10.1186/s13662-021-03334-8 doi: 10.1186/s13662-021-03334-8
    [16] S. Soulaimani, A. Kaddar, Analysis and optimal control of a fractional order SEIR epidemic model with general incidence and vaccination, IEEE Access, 11 (2023), 81995–82002. https://doi.org/10.1109/ACCESS.2023.3300456 doi: 10.1109/ACCESS.2023.3300456
    [17] I. Malmir, New pure multi-order fractional optimal control problems with constraints: QP and LP methods, ISA Trans., 153 (2024), 155–190. https://doi.org/10.1016/j.isatra.2024.08.003 doi: 10.1016/j.isatra.2024.08.003
    [18] N. P. Dong, H. V. Long, A. Khastan, Optimal control of a fractional order model for granular SEIR epidemic with uncertainty, Commun. Nonlinear Sci. Numer. Simul., 88 (2020), 105312. https://doi.org/10.1016/j.cnsns.2020.105312 doi: 10.1016/j.cnsns.2020.105312
    [19] Y. Zhao, T. Li, R. Kang, X. He, Dynamical analysis of a novel fractional order SIDARTHE epidemic model of COVID-19 with the Caputo–Fabrizio (CF) derivative, Adv. Cont. Discr. Mod., 2024 (2024), 3. https://doi.org/10.1186/s13662-024-03798-4 doi: 10.1186/s13662-024-03798-4
    [20] C. N. Angstmann, B. I. Henry, A. V. McGann, A fractional-order infectivity SIR model, Phys. A, 452 (2016), 86–93. https://doi.org/10.1016/j.physa.2016.02.029 doi: 10.1016/j.physa.2016.02.029
    [21] C. N. Angstmann, A. M. Erickson, B. I. Henry, A. V. McGann, J. M. Murray, J. A. Nichols, A general framework for fractional order compartment models, SIAM Rev., 63 (2021), 375–392. https://doi.org/10.1137/21M1398549 doi: 10.1137/21M1398549
    [22] S. Momani, A. Freihat, M. Alabedalhadi, M. Al-Smadi, S. Al-Omari, Investigation of numerical solutions for a fractional seasonal influenza model in deterministic environments, Math. Meth. Appl. Sci., 48 (2025), 10602–10615. https://doi.org/10.1002/mma.10905 doi: 10.1002/mma.10905
    [23] J. Lamwong, P. Pongsumpun, Optimal control and stability analysis of influenza transmission dynamics with quarantine interventions, Model. Earth Syst. Environ., 11 (2025), 233. https://doi.org/10.1007/s40808-025-02413-z doi: 10.1007/s40808-025-02413-z
    [24] J. Yang, L. Yang, Z. Jin, Optimal strategies of the age-specific vaccination and antiviral treatment against influenza, Chaos Soliton. Fract., 168 (2023), 113199. https://doi.org/10.1016/j.chaos.2023.113199 doi: 10.1016/j.chaos.2023.113199
    [25] Y. Chen, J. Zhang, Z. Jin, Optimal control of an influenza model with mixed cross-infection by age group, Math. Comput. Simul., 206 (2023), 410–436. https://doi.org/10.1016/j.matcom.2022.11.019 doi: 10.1016/j.matcom.2022.11.019
    [26] J. Xiao, P. Yu, Z. Zhang, Weighted composite asymmetric Huber estimation for partial functional linear models, AIMS Math., 7 (2022), 7657–7684. https://doi.org/10.3934/math.2022430 doi: 10.3934/math.2022430
    [27] J. Moon, The Pontryagin type maximum principle for Caputo fractional optimal control problems with terminal and running state constraints, AIMS Math., 10 (2025), 884–920. https://doi.org/10.3934/math.2025042 doi: 10.3934/math.2025042
    [28] C. J. Song, Y. Zhang, Conserved quantities for Hamiltonian systems on time scales, Appl. Math. Comput., 313 (2017), 24–36. https://doi.org/10.1016/j.amc.2017.05.074 doi: 10.1016/j.amc.2017.05.074
    [29] E. M. Farah, S. Amine, S. Ahmad, K. Nonlaopon, K. Allali, Theoretical and numerical results of a stochastic model describing resistance and non-resistance strains of influenza, Eur. Phys. J. Plus, 137 (2022), 1169. https://doi.org/10.1140/epjp/s13360-022-03302-5 doi: 10.1140/epjp/s13360-022-03302-5
    [30] T. Su, X. Zhang, Y. Kao, D. Jiang, Dynamical analysis and numerical simulation of a stochastic influenza transmission model with human mobility and ornstein-uhlenbeck process, Qual. Theory Dyn. Syst., 24 (2025), 64. https://doi.org/10.1007/s12346-025-01226-w doi: 10.1007/s12346-025-01226-w
    [31] A. Khan, R. Ikram, A. Saeed, M. Zahri, T. Gul, U. W. Humphries, Extinction and persistence of a stochastic delayed Covid-19 epidemic model, Comput. Meth. Biomech. Biomed. Eng., 26 (2023), 424–437. https://doi.org/10.1080/10255842.2022.2065631 doi: 10.1080/10255842.2022.2065631
    [32] L. Basnarkov, SEAIR epidemic spreading model of COVID-19, Chaos Soliton. Fract., 142 (2021), 110394. https://doi.org/10.1016/j.chaos.2020.110394 doi: 10.1016/j.chaos.2020.110394
    [33] A. A. Khan, R. Amin, S. Ullah, W. Sumelka, M. Altanji, Numerical simulation of a Caputo fractional epidemic model for the novel coronavirus with the impact of environmental transmission, Alex. Eng. J., 61 (2022), 5083–5095. https://doi.org/10.1016/j.aej.2021.10.008 doi: 10.1016/j.aej.2021.10.008
    [34] M. Amouch, N. Karim, Fractional-order mathematical modeling of COVID-19 dynamics with different types of transmission, Numer. Algebra Control Optim., 15 (2025), 386–415. https://doi.org/10.3934/naco.2023019 doi: 10.3934/naco.2023019
    [35] K. Diethelm, Monotonicity of functions and sign changes of their Caputo derivatives, Fract. Calculus Appl. Anal., 19 (2016), 561–566. https://doi.org/10.1515/fca-2016-0029 doi: 10.1515/fca-2016-0029
    [36] H. L. Li, L. Zhang, C. Hu, Y. L. Jiang, Z. Teng, Dynamical analysis of a fractional-order predator-prey model incorporating a prey refuge, J. Appl. Math. Comput., 54 (2017), 435–449. https://doi.org/10.1007/s12190-016-1017-8 doi: 10.1007/s12190-016-1017-8
    [37] E. Ahmed, A. S. Elgazzar, On fractional order differential equations model for nonlocal epidemics, Phys. A, 379 (2007), 607–614. https://doi.org/10.1016/j.physa.2007.01.010 doi: 10.1016/j.physa.2007.01.010
    [38] W. Qin, S. Zhang, Y. Yang, J. Zhang, A discrete SIR epidemic model incorporating media impact, resource limitaions and threshold switching strategies, Infect. Dis. Model., 10 (2025), 1270–1290. https://doi.org/10.1016/j.idm.2025.07.006 doi: 10.1016/j.idm.2025.07.006
    [39] Y. Li, Y. Q. Chen, I. Podlubny, Stability of fractional-order nonlinear dynamic systems: Lyapunov direct method and generalized Mittag–Leffler stability, Comput. Math. Appl., 59 (2010), 1810–1821. https://doi.org/10.1016/j.camwa.2009.08.019 doi: 10.1016/j.camwa.2009.08.019
    [40] P. Van den Driessche, J. Watmough, Reproduction numbers and sub-threshold endemic equilibria for compartmental models of disease transmission, Math. Biosci., 180 (2002), 29–48. https://doi.org/10.1016/S0025-5564(02)00108-6 doi: 10.1016/S0025-5564(02)00108-6
    [41] E. Ahmed, A. M. A. El-Sayed, H. A. A. El-Saka, On some Routh–Hurwitz conditions for fractional order differential equations and their applications in Lorenz, Rössler, Chua and Chen systems, Phys. Lett. A, 358 (2006), 1–4. https://doi.org/10.1016/j.physleta.2006.04.087 doi: 10.1016/j.physleta.2006.04.087
    [42] J. Huo, H. Zhao, L. Zhu, The effect of vaccines on backward bifurcation in a fractional order HIV model, Nonlinear Anal., 26 (2015), 289–305. https://doi.org/10.1016/j.nonrwa.2015.05.014 doi: 10.1016/j.nonrwa.2015.05.014
    [43] H. Delavari, D. Baleanu, J. Sadati, Stability analysis of Caputo fractional-order nonlinear systems revisited, Nonlinear Dyn., 67 (2012), 2433–2439. https://doi.org/10.1007/s11071-011-0157-5 doi: 10.1007/s11071-011-0157-5
    [44] J. Z. Ndendya, J. A. Mwasunda, N. S. Mbare, Modeling the effect of vaccination, treatment and public health education on the dynamics of norovirus disease, Model. Earth Syst. Environ., 11 (2025), 150. https://doi.org/10.1007/s40808-025-02326-x doi: 10.1007/s40808-025-02326-x
    [45] J. Z. Ndendya, E. Mureithi, J. A. Mwasunda, G. Kagaruki, N. Shaban, M. Mayige, Modelling the effects of quarantine and protective interventions on the transmission dynamics of Marburg virus disease, Model. Earth Syst. Environ., 11 (2025), 81. https://doi.org/10.1007/s40808-024-02264-0 doi: 10.1007/s40808-024-02264-0
    [46] J. Guckenheimer, P. Holmes, Nonlinear oscillations, dynamical systems, and bifurcations of vector fields, Springer Science & Business Media, 2013.
    [47] S. Majee, S. Jana, T. K. Kar, S. Barman, D. K. Das, Modeling and analysis of Caputo-type fractional-order SEIQR epidemic model, Int. J. Dyn. Control, 12 (2024), 148–166. https://doi.org/10.1007/s40435-023-01348-6 doi: 10.1007/s40435-023-01348-6
    [48] X. Yang, A note on Hölder inequality, Appl. Math. Comput., 134 (2003), 319–322. https://doi.org/10.1016/S0096-3003(01)00286-7 doi: 10.1016/S0096-3003(01)00286-7
    [49] L. S. Pontryagin, Mathematical theory of optimal processes, 1 Ed., Routledge, 2018. https://doi.org/10.1201/9780203749319
    [50] J. Z. Ndendya, G. Mlay, H. Rwezaura, Mathematical modelling of COVID-19 transmission with optimal control and cost-effectiveness analysis, Comput. Meth. Prog. Biomed. Update, 5 (2024), 100155. https://doi.org/10.1016/j.cmpbup.2024.100155 doi: 10.1016/j.cmpbup.2024.100155
    [51] A. Lahrouz, L. Omari, D. Kiouach, Global analysis of a deterministic and stochastic nonlinear SIRS epidemic model, Nonlinear Anal., 16 (2011), 59–76. https://doi.org/10.15388/NA.16.1.14115 doi: 10.15388/NA.16.1.14115
    [52] V. N. Afanasiev, V. Kolmanovskii, V. R. Nosov, Mathematical theory of control systems design, Springer Science & Business Media, 2013.
    [53] Statista, Reported cases of influenza per week in 2021 worldwide, by type, accessed on July 27, 2025. Available from: https://www.statista.com/statistics/1120860/influenza-cases-worldwide-type-week/.
    [54] Statista, Number of specimens testing positive for influenza in the United States in 2024, by week and subtype/lineage, accessed on July 27, 2025. Available from: https://www.statista.com/statistics/1122427/influenza-cases-number-us-by-subtype-week/.
    [55] G. González-Parra, A. J. Arenas, B. M. Chen, A fractional order epidemic model for the simulation of outbreaks of influenza A(H1N1), Math. Meth. Appl. Sci., 37 (2024), 2218–2226. https://doi.org/10.1002/mma.2968 doi: 10.1002/mma.2968
  • Reader Comments
  • © 2025 the Author(s), licensee AIMS Press. This is an open access article distributed under the terms of the Creative Commons Attribution License (http://creativecommons.org/licenses/by/4.0)
通讯作者: 陈斌, bchen63@163.com
  • 1. 

    沈阳化工大学材料科学与工程学院 沈阳 110142

  1. 本站搜索
  2. 百度学术搜索
  3. 万方数据库搜索
  4. CNKI搜索

Metrics

Article views(1410) PDF downloads(92) Cited by(0)

Article outline

Figures and Tables

Figures(19)  /  Tables(3)

/

DownLoad:  Full-Size Img  PowerPoint
Return
Return

Catalog