Research article

Stochastic stabilization and reliability analysis of discrete-time inertial reaction-diffusion neural networks with delays: Application to robotic manipulators

  • Published: 30 March 2026
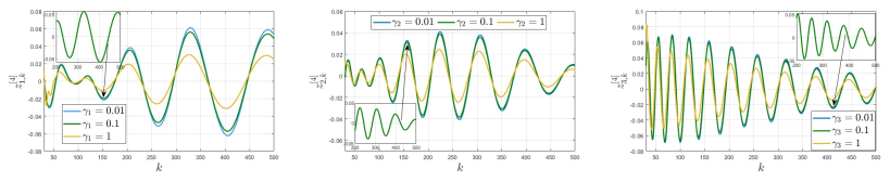
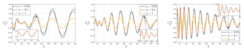
  • Discrete-time modeling and reliable control of mechanical systems with inertia, spatial coupling, time delays, and random disturbances are of fundamental importance in mechanism and machine science, particularly for safety-critical and robotic applications. This paper investigated the nonlinear dynamics and stabilization of a class of discrete-time inertial reaction–diffusion mechanical systems subject to stochastic perturbations and time-varying delays. A strong spatio-temporal discretization framework was employed to formulate the system as second-order difference equations incorporating inertial effects, diffusive coupling, delayed interactions, and stochastic excitations. To describe long-term dynamic behavior in noisy environments, a mean-square pseudo almost periodic solution concept was introduced. Sufficient conditions were established to ensure the existence and uniqueness of such solutions via fixed-point techniques. Moreover, a feedback control strategy was developed to achieve global exponential stabilization in the mean-square sense. Explicit stability criteria were derived, revealing the effects of inertia, diffusion intensity, delay bounds, stochastic disturbance levels, and control gains on system reliability and convergence performance. Numerical simulations on a multi-joint robotic manipulator validated the theoretical results and illustrated the trade-off between convergence speed and robustness under stochastic disturbances.

    Citation: Yongyan Yang, Tianwei Zhang, Yuntao Liu. Stochastic stabilization and reliability analysis of discrete-time inertial reaction-diffusion neural networks with delays: Application to robotic manipulators[J]. Electronic Research Archive, 2026, 34(5): 2805-2838. doi: 10.3934/era.2026128

    Related Papers:

  • Discrete-time modeling and reliable control of mechanical systems with inertia, spatial coupling, time delays, and random disturbances are of fundamental importance in mechanism and machine science, particularly for safety-critical and robotic applications. This paper investigated the nonlinear dynamics and stabilization of a class of discrete-time inertial reaction–diffusion mechanical systems subject to stochastic perturbations and time-varying delays. A strong spatio-temporal discretization framework was employed to formulate the system as second-order difference equations incorporating inertial effects, diffusive coupling, delayed interactions, and stochastic excitations. To describe long-term dynamic behavior in noisy environments, a mean-square pseudo almost periodic solution concept was introduced. Sufficient conditions were established to ensure the existence and uniqueness of such solutions via fixed-point techniques. Moreover, a feedback control strategy was developed to achieve global exponential stabilization in the mean-square sense. Explicit stability criteria were derived, revealing the effects of inertia, diffusion intensity, delay bounds, stochastic disturbance levels, and control gains on system reliability and convergence performance. Numerical simulations on a multi-joint robotic manipulator validated the theoretical results and illustrated the trade-off between convergence speed and robustness under stochastic disturbances.



    加载中


    [1] P. Kowsalya, S. Kathiresan, A. Kashkynbayev, R. Rakkiyappan, Fixed-time synchronization of delayed multiple inertial neural network with reaction-diffusion terms under cyber-physical attacks using distributed control and its application to multi-image encryption, Neural Netw., 180 (2024), 106743. https://doi.org/10.1016/j.neunet.2024.106743 doi: 10.1016/j.neunet.2024.106743
    [2] T. Dong, R. He, H. Q. Li, W. J. Hu, T. W. Huang, Exponential stabilization of phase-change inertial neural networks with time-varying delays, IEEE Trans. Syst. Man Cybern. Syst., 55 (2025), 2659–2669. https://doi.org/10.1109/TSMC.2024.3525038 doi: 10.1109/TSMC.2024.3525038
    [3] R. Eischens, T. Li, G. W. Vogl, Y. Cai, Y. Qu, State space neural network with nonlinear physics for mechanical system modeling, Reliab. Eng. Syst. Saf., 259 (2025), 110946. https://doi.org/10.1016/j.ress.2025.110946 doi: 10.1016/j.ress.2025.110946
    [4] J. Fernández, J. Chiachío, J. Barros, M. Chiachío, C. S. Kulkarni, Physics-guided recurrent neural network trained with approximate Bayesian computation: A case study on structural response prognostics, Reliab. Eng. Syst. Saf., 243 (2024), 109822. https://doi.org/10.1016/j.ress.2023.109822 doi: 10.1016/j.ress.2023.109822
    [5] J. Li, Q. C. Lu, P. C. Xu, L. Liu, S. Wang, Critical station identification for cascading failure mitigation considering the Lyapunov-stability of metro stations, Reliab. Eng. Syst. Saf., 256 (2025), 110772. https://doi.org/10.1016/j.ress.2024.110772 doi: 10.1016/j.ress.2024.110772
    [6] T. W. Zhang, Y. T. Liu, H. Z. Qu, Global mean-square exponential stability and random periodicity of discrete-time stochastic inertial neural networks with discrete spatial diffusions and Dirichlet boundary condition, Comput. Math. Appl., 141 (2023), 116–128. https://doi.org/10.1016/j.camwa.2023.04.011 doi: 10.1016/j.camwa.2023.04.011
    [7] E. A. Assali, Direct approach on projective synchronization of inertial quaternion-valued neural networks with proportional delays, Comput. Appl. Math., 43 (2024), 441. https://doi.org/10.1007/s40314-024-02954-6 doi: 10.1007/s40314-024-02954-6
    [8] L. Zhou, Q. Zhu, T. Huang, Global polynomial synchronization of proportional delayed inertial neural networks, IEEE Trans. Syst. Man Cybern. Syst., 53 (2023), 4487–4497. https://doi.org/10.1109/TSMC.2023.3249664 doi: 10.1109/TSMC.2023.3249664
    [9] K. Udhayakumar, S. Shanmugasundaram, A. Kashkynbayev, R. Rakkiyappan, Saturated and asymmetric saturated control for projective synchronization of inertial neural networks with delays and discontinuous activations through matrix measure method, ISA Trans., 142 (2023), 198–213. https://doi.org/10.1016/j.isatra.2023.07.022 doi: 10.1016/j.isatra.2023.07.022
    [10] Z. X. Zhang, H. Q. Li, T. M. Li, J. X. Zhang, X. S. Si, An optimal condition-based maintenance policy for nonlinear stochastic degrading systems, Reliab. Eng. Syst. Saf., 251 (2024), 110349. https://doi.org/10.1016/j.ress.2024.110349 doi: 10.1016/j.ress.2024.110349
    [11] N. Manoj, R. Sriraman, Global Mittag-Leffler stability and synchronization of fractional-order Clifford-valued delayed neural networks with reaction-diffusion terms and its application to image encryption, Inf. Sci., 698 (2025), 121773. https://doi.org/10.1016/j.ins.2024.121773 doi: 10.1016/j.ins.2024.121773
    [12] T. W. Zhang, Y. Y. Yang, S. F. Han, Exponential heterogeneous anti-synchronization of multi-variable discrete stochastic inertial neural networks with adaptive corrective parameter, Eng. Appl. Artif. Intell., 142 (2025), 109871. https://doi.org/10.1016/j.engappai.2024.109871 doi: 10.1016/j.engappai.2024.109871
    [13] T. W. Zhang, H. Z. Qu, Y. T. Liu, J. W. Zhou, Weighted pseudo $\theta$-almost periodic sequence solution and guaranteed cost control for discrete-time and discrete-space stochastic inertial neural networks, Chaos Solitons Fractals, 173 (2023), 113658. https://doi.org/10.1016/j.chaos.2023.113658 doi: 10.1016/j.chaos.2023.113658
    [14] V. Gafiychuk, B. Datsko, V. Meleshko, Mathematical modeling of time fractional reaction–diffusion systems, J. Comput. Appl. Math., 220 (2008), 215–225. https://doi.org/10.1016/j.cam.2007.08.011 doi: 10.1016/j.cam.2007.08.011
    [15] K. Wang, P. P. Menon, J. Veenman, S. Bennani, Safety exploration using Gaussian process classification for uncertain systems, Reliab. Eng. Syst. Saf., 256 (2025), 110680. https://doi.org/10.1016/j.ress.2024.110680 doi: 10.1016/j.ress.2024.110680
    [16] K. M. Mohammad, M. Kamrujjaman, Stochastic differential equations to model influenza transmission with continuous and discrete-time Markov chains, Alexandria Eng. J., 110 (2025), 329–345. https://doi.org/10.1016/j.aej.2024.10.012 doi: 10.1016/j.aej.2024.10.012
    [17] R. Oura, T. Ushio, A. Sakakibara, Bounded synthesis and reinforcement learning of supervisors for stochastic discrete event systems with LTL specifications, IEEE Trans. Autom. Control, 69 (2024), 6668–6683. https://doi.org/10.1109/tac.2024.3376723 doi: 10.1109/tac.2024.3376723
    [18] M. Jiménez-Lizárraga, B. A. Escobedo-Trujillo, J. D. López-Barrientos, Mixed deterministic and stochastic disturbances in a discrete-time Nash game, Int. J. Syst. Sci., 56 (2025), 409–422. https://doi.org/10.1080/00207721.2024.2394567 doi: 10.1080/00207721.2024.2394567
    [19] Y. Chen, C. D. Lu, X. M. Zhang, Allowable delay set flexible fragmentation approach to passivity analysis of delayed neural networks, Neurocomputing, 629 (2025), 129730. https://doi.org/10.1016/j.neucom.2025.129730 doi: 10.1016/j.neucom.2025.129730
    [20] T. W. Zhang, H. Z. Qu, J. W. Zhou, Asymptotically almost periodic synchronization in fuzzy competitive neural networks with Caputo-Fabrizio operator, Fuzzy Sets Syst., 471 (2023), 108676. https://doi.org/10.1016/j.fss.2023.108676 doi: 10.1016/j.fss.2023.108676
    [21] A. Hamidoglu, M. H. Taghiyev, On construction of almost periodic sequences and applications to some discrete population models, J. Differ. Equ. Appl., 27 (2021), 118–131. https://doi.org/10.1080/10236198.2021.1876039 doi: 10.1080/10236198.2021.1876039
    [22] V. Bergelson, J. Kulaga-Przymus, M. Lemańczyk, F. K. Richter, Rationally almost periodic sequences, polynomial multiple recurrence and symbolic dynamics, Ergodic Theory Dyn. Syst., 39 (2019), 2332–2383. https://doi.org/10.1017/etds.2017.130 doi: 10.1017/etds.2017.130
    [23] W. W. Qi, Y. K. Li, Weyl almost anti-periodic solution to a neutral functional semilinear differential equation, Electron. Res. Arch., 31 (2023), 1662–1672. https://doi.org/10.3934/era.2023086 doi: 10.3934/era.2023086
    [24] M. Es-saiydy, M. Zitane, Dynamics analysis of delayed fuzzy Clifford-valued model: A case of Equi-Weyl almost periodic environment, Comput. Appl. Math., 42 (2023), 342. https://doi.org/10.1007/s40314-023-02470-z doi: 10.1007/s40314-023-02470-z
    [25] A. Arbi, N. Tahri, New results on time scales of pseudo Weyl almost periodic solution of delayed QVSICNNs, Comput. Appl. Math., 41 (2022), 293. https://doi.org/10.1007/s40314-022-02003-0 doi: 10.1007/s40314-022-02003-0
    [26] X. M. Zhang, Q. L. Han, X. H. Ge, D. R. Ding, An overview of recent developments in Lyapunov–Krasovskii functionals and stability criteria for recurrent neural networks with time-varying delays, Neurocomputing, 313 (2018), 392–401. https://doi.org/10.1016/j.neucom.2018.06.038 doi: 10.1016/j.neucom.2018.06.038
    [27] T. N. S. Dongmo, J. Kengne, J. C. Chedjou, Effect of electromagnetic radiations on the dynamics of a five-chain coupled inertial Hopfield neural network and control of multi-stability with the selection of a desired attractor, Phys. Scr., 100 (2025), 015013. https://doi.org/10.1088/1402-4896/ad8e95 doi: 10.1088/1402-4896/ad8e95
    [28] Y. X. Jiang, S. Zhu, X. Y. Liu, S. P. Wen, C. X. Mu, Input-to-state stability of delayed memristor-based inertial neural networks via non-reduced order method, Neural Netw., 178 (2024), 106545. https://doi.org/10.1016/j.neunet.2024.106545 doi: 10.1016/j.neunet.2024.106545
    [29] S. Singh, U. Kumar, S. Das, J. D. Cao, Global exponential stability of inertial Cohen-Grossberg neural networks with time-varying delays via feedback and adaptive control schemes: Non-reduction order approach, Neural Process. Lett., 55 (2023), 4347–4363. https://doi.org/10.1007/s11063-022-11044-9 doi: 10.1007/s11063-022-11044-9
    [30] H. C. Lin, H. B. Zeng, X. M. Zhang, W. Wang, Stability analysis for delayed neural networks via a generalized reciprocally convex inequality, IEEE Trans. Neural Netw. Learn. Syst., 34 (2023), 7491–7499. https://doi.org/10.1109/TNNLS.2022.3144032 doi: 10.1109/TNNLS.2022.3144032
    [31] H. Liang, J. Xie, B. Huang, Y. Li, B. Sun, C. Yang, A novel sim2real reinforcement learning algorithm for process control, Reliab. Eng. Syst. Saf., 254 (2025), 110639. https://doi.org/10.1016/j.ress.2024.110639 doi: 10.1016/j.ress.2024.110639
    [32] G. D. Zhang, J. D. Cao, Aperiodically semi-intermittent-based fixed-time stabilization and synchronization of delayed discontinuous inertial neural networks, Sci. China Inf. Sci., 68 (2025), 112202. https://doi.org/10.1007/s11432-023-4053-9 doi: 10.1007/s11432-023-4053-9
    [33] Y. Y. Zhang, F. C. Kong, Q. X. Zhu, T. W. Huang, Quantized control based on stabilization of discontinuous memristor-based fuzzy inertial neural networks with proportional delays, IEEE Trans. Syst. Man Cybern. Syst., 54 (2024), 5756–5767. https://doi.org/10.1109/tsmc.2024.3408469 doi: 10.1109/tsmc.2024.3408469
    [34] S. Y. Jia, L. Q. Zhou, Fixed-time stabilization of fuzzy neutral-type inertial neural networks with proportional delays, ISA Trans., 144 (2024), 167–175. https://doi.org/10.1016/j.isatra.2023.10.032 doi: 10.1016/j.isatra.2023.10.032
    [35] R. N. Guo, Y. Z. Zhu, C. K. Ahn, Non-reduced order method to parameterized sampled-data stabilization of inertial neural networks with actuator saturation, IEEE Trans. Circuits Syst. I Regul. Pap., 72 (2025), 2288–2301. https://doi.org/10.1109/tcsi.2024.3511041 doi: 10.1109/tcsi.2024.3511041
    [36] M. Q. Shen, C. Wang, Q. G. Wang, Y. H. Sun, G. D. Zong, Synchronization of fractional reaction–diffusion complex networks with unknown couplings, IEEE Trans. Netw. Sci. Eng., 11 (2024), 4503–4512. https://doi.org/10.1109/TNSE.2024.3432997 doi: 10.1109/TNSE.2024.3432997
    [37] M. Q. Shen, C. Wang, Q. G. Wang, H. C. Yan, G. D. Zong, Z. H. Zhu, Fault-tolerant synchronization control of switched complex networks by a proportional-integral intermediate observer approach, IEEE Trans. Cybern., 55 (2025), 4689–4698. https://doi.org/10.1109/TCYB.2025.3591393 doi: 10.1109/TCYB.2025.3591393
    [38] D. Roy, G. V. Rao, Stochastic Dynamics, Filtering and Optimization, Cambridge University Press, Cambridge, 2017. https://doi.org/10.1017/9781316863107
    [39] M. Engel, Lecture Notes on Random Dynamical Systems, FU Berlin, 2021.
    [40] A. Rebey, H. Ben-Elmonser, M. Eljeri, M. Miraoui, Pseudo-almost periodic solutions in the Alpha-norm and in Stepanov's sense for some evolution equations, Ukr. Math. J., 74 (2022), 1599–1616. https://doi.org/10.37863/umzh.v74i10.6315 doi: 10.37863/umzh.v74i10.6315
    [41] P. Raynaud de Fitte, Almost periodicity and periodicity for nonautonomous random dynamical systems, Stoch. Dyn., 21 (2020), 2150034. https://doi.org/10.1142/s0219493721500349 doi: 10.1142/s0219493721500349
    [42] Y. K. Li, X. Huang, X. Wang, Weyl almost periodic solutions for quaternion-valued shunting inhibitory cellular neural networks with time-varying delays, AIMS Math., 7 (2021), 4861–4886. https://doi.org/10.3934/math.2022271 doi: 10.3934/math.2022271
    [43] Z. Z. Sun, Q Zhang, G Gao, Finite Difference Method for Nonlinear Evolution Equations, Science Press, Beijing, 2023.
    [44] X. L. Hao, Z. Q. Ge, Optimization and Optimal Control (in Chinese), Xi'an Jiaotong University Press, Xi'an, 2015.
    [45] D. O'Regan, Y. J. Cho, Y. Q. Chen, Topological Degree Theory and Applications, Taylor & Francis, Boca Raton, 2006. https://doi.org/10.1201/9781420011487
    [46] C. Y. Wang, Z. G. Yang, Delay Peaction–Diffusion Equation and Upper and Lower Solution Method (in Chinese), Science Press, Beijing, 2013.
  • Reader Comments
  • © 2026 the Author(s), licensee AIMS Press. This is an open access article distributed under the terms of the Creative Commons Attribution License (http://creativecommons.org/licenses/by/4.0)
通讯作者: 陈斌, bchen63@163.com
  • 1. 

    沈阳化工大学材料科学与工程学院 沈阳 110142

  1. 本站搜索
  2. 百度学术搜索
  3. 万方数据库搜索
  4. CNKI搜索

Metrics

Article views(347) PDF downloads(31) Cited by(0)

Article outline

Figures and Tables

Figures(22)

Other Articles By Authors

/

DownLoad:  Full-Size Img  PowerPoint
Return
Return

Catalog