Research article Special Issues

Numerical recovery of unknown source in a kinetic equation with absorption and scattering via an interior measurement

  • Published: 30 March 2026
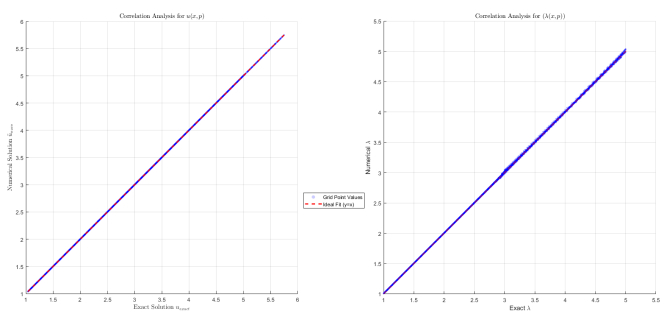
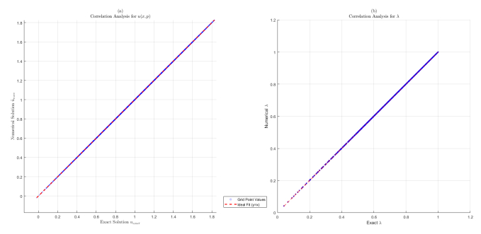
  • This study addresses an inverse source problem for a general stationary kinetic equation involving absorption and scattering terms. The primary objective is the simultaneous reconstruction of the phase space particle distribution and an unknown source in the model, utilizing boundary conditions defined by derivatives and additional interior measurements. In the theoretical part of the study, the uniqueness of the solution to the inverse problem is proved. For the numerical solution, a comprehensive computational framework is developed based on finite difference approximations for derivatives and the trapezoidal rule for the discretization of the integral terms. The reconstruction strategy employs bilinear interpolation techniques coupled with Tikhonov regularization. In addition, a Monte Carlo noise sensitivity analysis is carried out to assess the stability and robustness of the proposed method under perturbed data. Finally, the effectiveness of the method is illustrated through numerical examples.

    Citation: Muhammed Hasdemir, İsmet Gölgeleyen, Özlem Kaytmaz. Numerical recovery of unknown source in a kinetic equation with absorption and scattering via an interior measurement[J]. Electronic Research Archive, 2026, 34(5): 2774-2804. doi: 10.3934/era.2026127

    Related Papers:

  • This study addresses an inverse source problem for a general stationary kinetic equation involving absorption and scattering terms. The primary objective is the simultaneous reconstruction of the phase space particle distribution and an unknown source in the model, utilizing boundary conditions defined by derivatives and additional interior measurements. In the theoretical part of the study, the uniqueness of the solution to the inverse problem is proved. For the numerical solution, a comprehensive computational framework is developed based on finite difference approximations for derivatives and the trapezoidal rule for the discretization of the integral terms. The reconstruction strategy employs bilinear interpolation techniques coupled with Tikhonov regularization. In addition, a Monte Carlo noise sensitivity analysis is carried out to assess the stability and robustness of the proposed method under perturbed data. Finally, the effectiveness of the method is illustrated through numerical examples.



    加载中


    [1] C. Cercignani, R. Illner, M. Pulvirenti, The Mathematical Theory of Dilute Gases, Springer Science & Business Media, New York, 2013. https://doi.org/10.1007/978-1-4419-8524-8
    [2] C. Villani, Topics in Optimal Transportation, American Mathematical Soc., 2003.
    [3] B. Perthame, Transport Equations in Biology, Birkhäuser Basel, 2007. https://doi.org/10.1007/978-3-7643-7842-4
    [4] F. Golse, On the dynamics of large particle systems in the mean field limit, in Macroscopic and Large Scale Phenomena: Coarse Graining, Mean Field Limits and Ergodicity, Springer Cham, (2016), 1–144. https://doi.org/10.1007/978-3-319-26883-5_1
    [5] L. Saint-Raymond, Hydrodynamic Limits of the Boltzmann Equation, Springer, New York, 2009. https://doi.org/10.1007/978-3-540-92847-8
    [6] Z. Jin, R. Li, Natural model reduction for kinetic equations, Res. Math. Sci., 11 (2024), 53. https://doi.org/10.1007/s40687-024-00466-7 doi: 10.1007/s40687-024-00466-7
    [7] G. A. Bird, Molecular Gas Dynamics and the Direct Simulation of Gas Flows, Oxford University Press, 1994.
    [8] Y. Yin, X. Tian, X. Zhu, H. Liu, X. Zhang, C. Zhu, et al., Fluid dynamics of gas–liquid slug flow under the expansion effect in a microchannel, Chem. Eng. Sci., 302 (2025), 120941. https://doi.org/10.1016/j.ces.2024.120941 doi: 10.1016/j.ces.2024.120941
    [9] Y. Sone, Molecular Gas Dynamics: Theory, Techniques, and Applications, Birkhäuser Boston, 2007. https://doi.org/10.1007/978-0-8176-4573-1
    [10] D. R. Nicholson, Introduction to Plasma Theory, Wiley, New York, 1983.
    [11] R. D. Hazeltine, The Framework of Plasma Physics, CRC Press, 2018.
    [12] S. Chandrasekhar, Radiative Transfer, Courier Corporation, 2013.
    [13] E. E. Lewis, W. F. Miller, Computational Methods of Neutron Transport, Wiley, 1983.
    [14] M. F. Modest, S. Mazumder, Radiative Heat Transfer, Academic Press, 2021.
    [15] A. A. Schekochihin, S. C. Cowley, W. Dorland, G. W. Hammett, G. G. Howes, E. Quataert, et al., Astrophysical gyrokinetics: Kinetic and fluid turbulent cascades in magnetized weakly collisional plasmas, Astrophys. J. Suppl. Ser., 182 (2009), 310. https://doi.org/10.1088/0067-0049/182/1/310 doi: 10.1088/0067-0049/182/1/310
    [16] I. G. Abel, G. G. Plunk, E. Wang, M. Barnes, S. C. Cowley, W. Dorland, et al., Multiscale gyrokinetics for rotating tokamak plasmas: Fluctuations, transport and energy flows, Rep. Prog. Phys., 76 (2013), 116201. https://doi.org/10.1088/0034-4885/76/11/116201 doi: 10.1088/0034-4885/76/11/116201
    [17] P. L. Lions, T. Paul, Sur les mesures de Wigner, Rev. Mat. Iberoam., 9 (1993), 553–618. https://doi.org/10.4171/rmi/143 doi: 10.4171/rmi/143
    [18] P. Gérard, P. A. Markowich, N. J. Mauser, F. Poupaud, Homogenization limits and Wigner transforms, Commun. Pure Appl. Math., 50 (1997), 323–379. https://doi.org/10.1002/(SICI)1097-0312(199704)50:4<323::AID-CPA4>3.0.CO;2-C doi: 10.1002/(SICI)1097-0312(199704)50:4<323::AID-CPA4>3.0.CO;2-C
    [19] P. A. Markowich, C. A. Ringhofer, C. Schmeiser, Semiconductor Equations, Springer, New York, 1990. https://doi.org/10.1007/978-3-7091-6961-2
    [20] M. Lundstrom, Fundamentals of carrier transport, 2nd edn, Meas. Sci. Technol., 13 (2002), 230. https://doi.org/10.1088/0957-0233/13/2/703 doi: 10.1088/0957-0233/13/2/703
    [21] L. L. Salas, F. C. Silva, A. S. Martinez, A new point kinetics model for ADS-type reactor using the importance function associated to the fission rate as weight function, Ann. Nucl. Energy, 190 (2023), 109869. https://doi.org/10.1016/j.anucene.2023.109869 doi: 10.1016/j.anucene.2023.109869
    [22] W. Shan, P. Zheng, Global boundedness of the immune chemotaxis system with general kinetic functions, Nonlinear Differ. Equ. Appl., 30 (2023), 29. https://doi.org/10.1007/s00030-023-00840-4 doi: 10.1007/s00030-023-00840-4
    [23] M. Conte, M. Groppi, A. Tosin, Kinetic and macroscopic equations for action potential in neural networks, in Problems in Mathematical Biophysics, Springer Cham, (2024), 77–104. https://doi.org/10.1007/978-3-031-60773-8_5
    [24] A. K. Amirov, Integral Geometry and Inverse Problems for Kinetic Equations, VSP, Utrecht, 2001.
    [25] Y. E. Anikonov, Inverse Problems for Kinetic and Other Evolution Equations, VSP, Utrecht, 2001.
    [26] G. Bal, Inverse transport theory and applications, Inverse Probl., 25 (2009), 053001. https://doi.org/10.1088/0266-5611/25/5/053001 doi: 10.1088/0266-5611/25/5/053001
    [27] M. V. Klibanov, S. E. Pamyatnykh, Global uniqueness for a coefficient inverse problem for the non-stationary transport equation via Carleman estimate, J. Math. Anal. Appl., 343 (2008), 352–365. https://doi.org/10.1016/j.jmaa.2008.01.071 doi: 10.1016/j.jmaa.2008.01.071
    [28] F. Gölgeleyen, M. Yamamoto, Stability for some inverse problems for transport equations, SIAM J. Math. Anal., 48 (2016), 2319–2344. https://doi.org/10.1137/15M1038128 doi: 10.1137/15M1038128
    [29] P. Cannarsa, G. Floridia, F. Gölgeleyen, M. Yamamoto, Inverse coefficient problems for a transport equation by local Carleman estimate, Inverse Probl., 35 (2019), 105013. https://doi.org/10.1088/1361-6420/ab1c69 doi: 10.1088/1361-6420/ab1c69
    [30] M. Machida, M. Yamamoto, Global Lipschitz stability in determining coefficients of the radiative transport equation, Inverse Probl., 30 (2014), 035010. https://doi.org/10.1088/0266-5611/30/3/035010 doi: 10.1088/0266-5611/30/3/035010
    [31] A. K. Amirov, F. Gölgeleyen, Solvability of an inverse problem for the kinetic equation and a symbolic algorithm, Comput. Model. Eng. Sci., 65 (2010), 179–190. https://doi.org/10.3970/cmes.2010.065.179 doi: 10.3970/cmes.2010.065.179
    [32] F. Gölgeleyen, A. Amirov, On the approximate solution of a coefficient inverse problem for the kinetic equation, Math. Commun., 16 (2011), 283–298.
    [33] A. K. Amirov, F. Gölgeleyen, A. Rahmanova, An inverse problem for the general kinetic equation and a numerical method, Comput. Model. Eng. Sci., 43 (2009), 131–147. https://doi.org/10.3970/cmes.2009.043.131 doi: 10.3970/cmes.2009.043.131
    [34] A. Amirov, Z. Ustaoğlu, B. Heydarov, Solvability of a two dimensional coefficient inverse problem for transport equation and a numerical method, Transp. Theory Stat. Phys., 40 (2011), 1–22. https://doi.org/10.1080/00411450.2010.529980 doi: 10.1080/00411450.2010.529980
    [35] A. Amirov, Z. Ustaoğlu, On the approximation methods for the solution of a coefficient inverse problem for a transport-like equation, Comput. Model. Eng. Sci., 54 (2009), 283–299. https://doi.org/10.3970/cmes.2009.054.283 doi: 10.3970/cmes.2009.054.283
    [36] İ. Gölgeleyen, M. Hasdemir, A solution algorithm for an inverse source problem for the kinetic equation, Int. J. Mod. Phys. C, 33 (2022), 2250151. https://doi.org/10.1142/S0129183122501510 doi: 10.1142/S0129183122501510
    [37] F. Gölgeleyen, İ. Gölgeleyen, M. Hasdemir, A hybrid solution method for an inverse problem for the general transport equation, Comput. Math. Appl., 192 (2025), 172–188. https://doi.org/10.1016/j.camwa.2025.05.014 doi: 10.1016/j.camwa.2025.05.014
    [38] İ. Gölgeleyen, M. Hasdemir, Ö. Kaytmaz, A computational approach to an inverse source problem for a kinetic equation with gradient-type boundary data and an interior point observation, Electron. Res. Arch., 34 (2026), 2136–2156. https://doi.org/10.3934/era.2026096 doi: 10.3934/era.2026096
    [39] M. V. Klibanov, J. Li, L. H. Nguyen, Z. Yang, Convexification numerical method for a coefficient inverse problem for the radiative transport equation, SIAM J. Imaging Sci., 16 (2023), 35–63. https://doi.org/10.1137/22M1509837 doi: 10.1137/22M1509837
    [40] T. Liu, F. Soleymani, M. Z. Ullah, Solving multi-dimensional European option pricing problems by integrals of the inverse quadratic radial basis function on non-uniform meshes, Chaos Solitons Fractals, 185 (2024), 115156. https://doi.org/10.1016/j.chaos.2024.115156 doi: 10.1016/j.chaos.2024.115156
    [41] T. Liu, T. Li, M. Z. Ullah, On five-point equidistant stencils based on Gaussian function with application in numerical multi-dimensional option pricing, Comput. Math. Appl., 176 (2024), 35–45. https://doi.org/10.1016/j.camwa.2024.09.003 doi: 10.1016/j.camwa.2024.09.003
    [42] A. N. Tikhonov, V. Y. Arsenin, Solutions of Ill-Posed Problems, Winston Washington, 1977.
    [43] T. Liu, Porosity reconstruction based on Biot elastic model of porous media by homotopy perturbation method, Chaos Solitons Fractals, 158 (2022), 112007. https://doi.org/10.1016/j.chaos.2022.112007 doi: 10.1016/j.chaos.2022.112007
    [44] T. Liu, Parameter estimation with the multigrid-homotopy method for a nonlinear diffusion equation, J. Comput. Appl. Math., 413 (2022), 114393. https://doi.org/10.1016/j.cam.2022.114393 doi: 10.1016/j.cam.2022.114393
    [45] P. C. Hansen, Analysis of discrete ill-posed problems by means of the L-curve, SIAM Rev., 34 (1992), 561–580. https://doi.org/10.1137/1034115 doi: 10.1137/1034115
    [46] J. Kaipio, E. Somersalo, Statistical and Computational Inverse Problems, Springer, New York, 2005. https://doi.org/10.1007/b138659
    [47] C. R. Vogel, Computational Methods for Inverse Problems, SIAM, Philadelphia, 2002.
  • Reader Comments
  • © 2026 the Author(s), licensee AIMS Press. This is an open access article distributed under the terms of the Creative Commons Attribution License (http://creativecommons.org/licenses/by/4.0)
通讯作者: 陈斌, bchen63@163.com
  • 1. 

    沈阳化工大学材料科学与工程学院 沈阳 110142

  1. 本站搜索
  2. 百度学术搜索
  3. 万方数据库搜索
  4. CNKI搜索

Metrics

Article views(370) PDF downloads(18) Cited by(0)

Article outline

Figures and Tables

Figures(22)  /  Tables(4)

/

DownLoad:  Full-Size Img  PowerPoint
Return
Return

Catalog