Research article Special Issues

Dynamic behaviours of flexible plates vertically fixed in a channel

  • Published: 31 March 2026
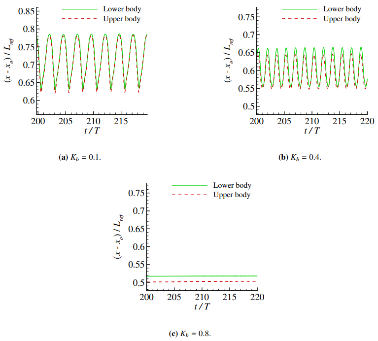
  • This work studies the nonlinear dynamics of plates vertically attached to a channel using the immersed boundary-lattice Boltzmann-general interpolation material point method. The hydrodynamic flow and dynamics of the plate walls over a broad range of Reynolds numbers, structure-to-fluid mass ratio, and bending stiffness are analysed. Four modes are identified: stable plate with symmetric vortex, stable plate with asymmetric vortex, unstable plate with symmetric vortex, and unstable plate with asymmetric vortex. The modes represent distinct flow-structure interaction scenarios observed during the study of plates subjected to fluid flows. A symmetric wake remains aligned with the centreline of the artery over time, while an asymmetric wake deviates upwards or downwards from the centreline. The potential pathways to steady and unsteady behaviour are explored. The physical mechanisms that cause different modes of dynamic response for the plates are discussed.

    Citation: Omar Aref, Li Wang, John Young, Fang-Bao Tian. Dynamic behaviours of flexible plates vertically fixed in a channel[J]. Electronic Research Archive, 2026, 34(5): 2839-2867. doi: 10.3934/era.2026129

    Related Papers:

  • This work studies the nonlinear dynamics of plates vertically attached to a channel using the immersed boundary-lattice Boltzmann-general interpolation material point method. The hydrodynamic flow and dynamics of the plate walls over a broad range of Reynolds numbers, structure-to-fluid mass ratio, and bending stiffness are analysed. Four modes are identified: stable plate with symmetric vortex, stable plate with asymmetric vortex, unstable plate with symmetric vortex, and unstable plate with asymmetric vortex. The modes represent distinct flow-structure interaction scenarios observed during the study of plates subjected to fluid flows. A symmetric wake remains aligned with the centreline of the artery over time, while an asymmetric wake deviates upwards or downwards from the centreline. The potential pathways to steady and unsteady behaviour are explored. The physical mechanisms that cause different modes of dynamic response for the plates are discussed.



    加载中


    [1] M. A. Ortega, O. Fraile-Martínez, C. García-Montero, M. A. Álvarez-Mon, C. Chaowen, F. Ruiz-Grande, et al., Understanding chronic venous disease: a critical overview of its pathophysiology and medical management, J. Clin. Med., 10 (2021), 3239. https://doi.org/10.3390/jcm10153239 doi: 10.3390/jcm10153239
    [2] S. Rațiu, M. I. Mariș, A. V. Furdui-Lința, L. V. Sima, T. I. Bratu, A. Sturza, et al., Oxidative stress in the pathophysiology of chronic venous disease: an overview, Antioxidants, 14 (2025), 989. https://doi.org/10.3390/antiox14080989 doi: 10.3390/antiox14080989
    [3] J. D. Raffetto, R. A. Khalil, Mechanisms of lower extremity vein dysfunction in chronic venous disease and implications in management of varicose veins, Vessel Plus, 5 (2021), 36. https://doi.org/10.20517/2574-1209.2021.16 doi: 10.20517/2574-1209.2021.16
    [4] M. E. Gschwandtner, H. Ehringer, Microcirculation in chronic venous insufficiency, Vasc. Med., 6 (2001), 169–179. https://doi.org/10.1177/1358836x0100600308 doi: 10.1177/1358836x0100600308
    [5] Y. Zheng, H. Feng, C. He, J. Sun, Hemodynamics of asymmetrically stenotic vertebral arteries based on fluid–solid coupling, J. Biol. Phys., 51 (2025), 10. https://doi.org/10.1007/s10867-025-09673-x doi: 10.1007/s10867-025-09673-x
    [6] N. Rahmati, H. Pouraliakbar, A. Eskandari, K. Javari, A. Jabbarinick, P. Sadeghipour, et al., The impact of stenosis severity on hemodynamic parameters in the iliac artery: A fluid–structure interaction study, Bioengineering, 12 (2025), 1042. https://doi.org/10.3390/bioengineering12101042 doi: 10.3390/bioengineering12101042
    [7] Q. Huang, Z. Liu, L. Wang, S. Ravi, J. Young, J. Lai, et al., Streamline penetration, velocity error, and consequences of the feedback immersed boundary method, Phys. Fluids, 34 (2022), 097101. https://doi.org/10.1063/5.0101584 doi: 10.1063/5.0101584
    [8] F. B. Tian, FSI modeling with the DSD/SST method for the fluid and finite difference method for the structure, Comput. Mech., 54 (2014), 581–589. https://doi.org/10.1007/s00466-014-1007-3 doi: 10.1007/s00466-014-1007-3
    [9] F. B. Tian, Y. Wang, J. Young, J. C. S. Lai, An FSI solution technique based on the DSD/SST method and its applications, Math. Models Methods Appl. Sci., 25 (2015), 2257–2285. https://doi.org/10.1142/S0218202515400084 doi: 10.1142/S0218202515400084
    [10] Q. Huang, F. B. Tian, J. Young, J. C. Lai, Transition to chaos in a two-sided collapsible channel flow, J. Fluid Mech., 926 (2021), A15. https://doi.org/10.1017/jfm.2021.710 doi: 10.1017/jfm.2021.710
    [11] W. X. Huang, F. B. Tian, Recent trends and progress in the immersed boundary method, Proc. Inst. Mech. Eng., Part C: J. Mech. Eng. Sci., 233 (2019), 7617–7636. https://doi.org/10.1177/0954406219842606 doi: 10.1177/0954406219842606
    [12] F. B. Tian, The lattice Boltzmann method and its applications in engineering flows, Proc. Inst. Mech. Eng., Part C: J. Mech. Eng. Sci., 237 (2023), 2431–2432. https://doi.org/10.1177/09544062231170105 doi: 10.1177/09544062231170105
    [13] A. Trotta, S. Meloni, G. Falcucci, S. Ubertini, A. Facci, An immersed boundary formulation for lattice boltzmann simulations of low-reynolds fluid–structure interaction problems, Phys. Fluids, 37 (2025), 034125. https://doi.org/10.1063/5.0256946 doi: 10.1063/5.0256946
    [14] A. Morany, R. G. Bardon, K. Lavon, A. Hamdan, D. Bluestein, R. Haj-Ali, Analysis of fibrocalcific aortic valve stenosis: computational pre-and-post tavr haemodynamics behaviours, R. Soc. Open Sci., 11 (2024), 230905. https://doi.org/10.1098/rsos.230905 doi: 10.1098/rsos.230905
    [15] L. Wang, D. Dong, F. B. Tian, Fast prediction of blood flow in stenosed arteries using machine learning and immersed boundary-lattice boltzmann method, Front. Physiol., 13 (2022), 953702. https://doi.org/10.3389/fphys.2022.953702 doi: 10.3389/fphys.2022.953702
    [16] B. Li, S. Liu, A multi-species material point method with a mixture model, Comput. Anim. Virtual Worlds, 35 (2024), e2239. https://doi.org/10.1002/cav.2239 doi: 10.1002/cav.2239
    [17] A. G. Kuchumov, A. Makashova, S. Vladimirov, V. Borodin, A. Dokuchaeva, Fluid–structure interaction aortic valve surgery simulation: A review, Fluids, 8 (2023), 295. https://doi.org/10.3390/fluids8110295 doi: 10.3390/fluids8110295
    [18] Z. Rahimi, J. Young, F. B. Tian, Anomalous stability behaviors in two-sided wavy collapsible channels, Phys. Fluids, 37 (2025), 021912. https://doi.org/10.1063/5.0249541 doi: 10.1063/5.0249541
    [19] Y. Li, D. Wan, D. Hu, C. Li, A novel approach for estimating blood flow dynamics factors of eccentric stenotic arteries based on ML, Eng. Anal. Boundary Elem., 163 (2024), 175–185. https://doi.org/10.1016/j.enganabound.2024.03.003 doi: 10.1016/j.enganabound.2024.03.003
    [20] K. Shakya, S. R. Chowdhury, A fluid–structure interaction study to analyze the severity of carotid artery stenosis at different locations and its effect on various hemodynamic biomarkers, Eur. J. Mech. B. Fluids, 106 (2024), 227–237. https://doi.org/10.1016/j.euromechflu.2024.04.006 doi: 10.1016/j.euromechflu.2024.04.006
    [21] P. G. Dake, J. Mukherjee, K. C. Sahu, A. B. Pandit, Computational fluid dynamics in cardiovascular engineering: A comprehensive review, Trans. Indian Natl. Acad. Eng., 9 (2024), 335–362. https://doi.org/10.1007/s41403-024-00478-3 doi: 10.1007/s41403-024-00478-3
    [22] S. H. Lee, K. S. Han, N. Hur, Y. I. Cho, S. K. Jeong, The effect of patient-specific non-Newtonian blood viscosity on arterial hemodynamics predictions, J. Mech. Med. Biol., 19 (2019), 1940054. https://doi.org/10.1142/S0219519419400542 doi: 10.1142/S0219519419400542
    [23] B. M. Johnston, P. R. Johnston, S. Corney, D. Kilpatrick, Non-Newtonian blood flow in human right coronary arteries: Steady state simulations, J. Biomech., 37 (2004), 709–720. https://doi.org/10.1016/j.jbiomech.2003.09.016 doi: 10.1016/j.jbiomech.2003.09.016
    [24] N. Sarkar, S. Roy, Periodic flow features in a planar sudden expansion with pulsatile inflow velocity, J. Fluid Mech., 980 (2024), A43. https://doi.org/10.1017/jfm.2023.1074 doi: 10.1017/jfm.2023.1074
    [25] J. J. Bergan, G. W. Schmid-Schönbein, P. D. C. Smith, A. N. Nicolaides, M. R. Boisseau, B. Eklof, Chronic venous disease, N. Engl. J. Med., 355 (2006), 488–498. https://doi.org/10.1056/NEJMra055289 doi: 10.1056/NEJMra055289
    [26] F. Lurie, R. L. Kistner, B. Eklof, D. Kessler, Mechanism of venous valve closure and role of the valve in circulation: a new concept, J. Vasc. Surg., 38 (2003), 955–961. https://doi.org/10.1016/S0741-5214(03)00711-0 doi: 10.1016/S0741-5214(03)00711-0
    [27] G. A. Buxton, N. Clarke, Computational phlebology: the simulation of a vein valve, J. Biol. Phys., 32 (2006), 507–521. https://doi.org/10.1007/s10867-007-9033-4 doi: 10.1007/s10867-007-9033-4
    [28] W. H. Tien, H. Chen, Z. Berwick, J. Krieger, S. Chambers, D. Dabiri, et al., Characterization of a bioprosthetic bicuspid venous valve hemodynamics: implications for mechanism of valve dynamics, Eur. J. Vasc. Endovasc. Surg., 48 (2014), 459–464. https://doi.org/10.1016/j.ejvs.2014.06.034 doi: 10.1016/j.ejvs.2014.06.034
    [29] S. Takase, L. Pascarella, L. Lerond, J. Bergan, G. Schmid-Schönbein, Venous hypertension, inflammation and valve remodeling, Eur. J. Vasc. Endovasc. Surg., 28 (2004), 484–493. https://doi.org/10.1016/j.ejvs.2004.05.012 doi: 10.1016/j.ejvs.2004.05.012
    [30] M. H. Meissner, G. Moneta, K. Burnand, P. Gloviczki, J. M. Lohr, F. Lurie, et al., The hemodynamics and diagnosis of venous disease, J. Vasc. Surg., 46 (2007), S4–S24. https://doi.org/10.1016/j.jvs.2007.09.043 doi: 10.1016/j.jvs.2007.09.043
    [31] X. Zhang, Z. Chen, Y. Liu, The Material Point Method: A Continuum Based Particle Method for Extreme Loading Cases, Academic Press, 2017.
    [32] J. Tan, W. Keller, S. Sohrabi, J. Yang, Y. Liu, Characterization of nanoparticle dispersion in red blood cell suspension by the lattice Boltzmann-immersed boundary method, Nanomaterials, 6 (2016), 30. https://doi.org/10.3390/nano6020030 doi: 10.3390/nano6020030
    [33] D. D'Humières, Multiple–relaxation–time lattice Boltzmann models in three dimensions, Philos. Trans. R. Soc. London, Ser. A, 360 (2002), 437–451. https://doi.org/10.1098/rsta.2001.0955 doi: 10.1098/rsta.2001.0955
    [34] Z. L. Guo, C. G. Zheng, B. C. Shi, Non-equilibrium extrapolation method for velocity and pressure boundary conditions in the lattice Boltzmann method, Chin. Phys., 11 (2002), 366–374. https://doi.org/10.1088/1009-1963/11/4/310 doi: 10.1088/1009-1963/11/4/310
    [35] C. S. Peskin, Flow patterns around heart valves: A numerical method, J. Comput. Phys., 10 (1972), 252–271. https://doi.org/10.1016/0021-9991(72)90065-4 doi: 10.1016/0021-9991(72)90065-4
    [36] C. S. Peskin, The immersed boundary method, Acta Numer., 11 (2002), 479–517. https://doi.org/10.1017/S0962492902000077 doi: 10.1017/S0962492902000077
    [37] R. Mittal, G. Iaccarino, Immersed boundary methods, Annu. Rev. Fluid Mech., 37 (2005), 239–261. https://doi.org/10.1146/annurev.fluid.37.061903.175743 doi: 10.1146/annurev.fluid.37.061903.175743
    [38] F. B. Tian, L. Wang, Numerical modeling of sperm swimming, Fluids, 6 (2021), 73. https://doi.org/10.3390/fluids6020073 doi: 10.3390/fluids6020073
    [39] J. Ma, Y. Mei, Q. Liu, S. Peng, F. B. Tian, A front-tracking immersed boundary method for dynamics of three-dimensional capsules in multiphase flow systems involving viscoelastic fluids, Phys. Fluids, 37 (2025), 121905. https://doi.org/10.1063/5.0301629 doi: 10.1063/5.0301629
    [40] N. Widdup, L. Wang, J. Young, F. B. Tian, The aerodynamic and acoustic performance of a bumblebee-inspired micro-air vehicle in Martian atmosphere, Phys. Fluids, 37 (2025), 091916. https://doi.org/10.1063/5.0288043 doi: 10.1063/5.0288043
    [41] Z. Hao, B. Yin, M. Xu, G. Yang, A high-efficiency sharp-interface immersed boundary method based on multi-linear interpolation, Phys. Fluids, 36 (2024), 093617. https://doi.org/10.1063/5.0228369 doi: 10.1063/5.0228369
    [42] S. Huang, D. Guo, J. Song, Y. Wang, G. Yang, B. Yin, Effect of bending kinematics for caudal fin on swimming performance with varying undulation wavelengths, Ocean Eng., 311 (2024), 118907. https://doi.org/10.1016/j.oceaneng.2024.118907 doi: 10.1016/j.oceaneng.2024.118907
    [43] D. Goldstein, R. Handler, L. Sirovich, Modeling a no-slip flow boundary with an external force field, J. Comput. Phys., 105 (1993), 354–366. https://doi.org/10.1006/jcph.1993.1081 doi: 10.1006/jcph.1993.1081
    [44] S. G. Bardenhagen, E. M. Kober, The generalized interpolation material point method, Comp. Model. Eng. Sci., 5 (2004), 477–496. https://doi.org/10.3970/cmes.2004.005.477 doi: 10.3970/cmes.2004.005.477
    [45] D. Han, G. R. Liu, S. Abdallah, An Eulerian-Lagrangian-Lagrangian method for 2D fluid-structure interaction problem with a thin flexible structure immersed in fluids, Comput. Struct., 228 (2020), 106179. https://doi.org/10.1016/j.compstruc.2019.106179 doi: 10.1016/j.compstruc.2019.106179
    [46] B. E. Griffith, N. A. Patankar, Immersed methods for fluid–structure interaction, Annu. Rev. Fluid Mech., 52 (2020), 421–448. https://doi.org/10.1146/annurev-fluid-010719-060228 doi: 10.1146/annurev-fluid-010719-060228
    [47] R. Pandey, M. Kumar, J. Majdoubi, M. Rahimi-Gorji, V. K. Srivastav, A review study on blood in human coronary artery: Numerical approach, Comput. Methods Programs Biomed., 187 (2020), 105243. https://doi.org/10.1016/j.cmpb.2019.105243 doi: 10.1016/j.cmpb.2019.105243
    [48] B. T. Chan, E. Lim, K. H. Chee, N. A. A. Osman, Review on CFD simulation in heart with dilated cardiomyopathy and myocardial infarction, Comput. Biol. Med., 43 (2013), 377–385. https://doi.org/10.1016/j.compbiomed.2013.01.013 doi: 10.1016/j.compbiomed.2013.01.013
    [49] L. Tikhomolova, Y. Gataulin, A. Yukhnev, D. Rosukhovskiy, Fluid–structure interaction modelling of the venous valve with elastic leaflets, J. Phys. Conf. Ser., 1697 (2020), 012041. https://doi.org/10.1088/1742-6596/1697/1/012041 doi: 10.1088/1742-6596/1697/1/012041
    [50] K. Lebahn, J. Keiler, W. Schmidt, J. Schubert, M. Reumann, A. Wree, et al., Mechanical characterization of the human femoral vein wall and its valves, J. Mech. Behav. Biomed. Mater., 165 (2025), 106938. https://doi.org/10.1016/j.jmbbm.2025.106938 doi: 10.1016/j.jmbbm.2025.106938
    [51] S. N. Doost, D. Ghista, B. Su, L. Zhong, Y. S. Morsi, Heart blood flow simulation: a perspective review, Biomed. Eng. Online, 15 (2016), 101. https://doi.org/10.1186/s12938-016-0224-8 doi: 10.1186/s12938-016-0224-8
    [52] J. Cisonni, A. D. Lucey, N. S. Elliott, M. Heil, The stability of a flexible cantilever in viscous channel flow, J. Sound Vib., 396 (2017), 186–202. https://doi.org/10.1016/j.jsv.2017.02.045 doi: 10.1016/j.jsv.2017.02.045
    [53] X. Wang, I. C. Christov, Reduced modelling and global instability of finite-Reynolds-number flow in compliant rectangular channels, J. Fluid Mech., 950 (2022), A26. https://doi.org/10.1017/jfm.2022.802 doi: 10.1017/jfm.2022.802
    [54] W. X. Huang, H. J. Sung, Three-dimensional simulation of a flapping flag in a uniform flow, J. Fluid Mech., 653 (2010), 301–336. https://doi.org/10.1017/S0022112010000248 doi: 10.1017/S0022112010000248
    [55] D. Kim, J. Cossé, C. H. Cerdeira, M. Gharib, Flapping dynamics of an inverted flag, J. Fluid Mech., 736 (2013), R1. https://doi.org/10.1017/jfm.2013.555 doi: 10.1017/jfm.2013.555
    [56] C. Tang, N. S. Liu, X. Y. Lu, Dynamics of an inverted flexible plate in a uniform flow, Phys. Fluids, 27 (2015), 073601. https://doi.org/10.1063/1.4923281 doi: 10.1063/1.4923281
    [57] F. B. Tian, H. Luo, L. Zhu, X. Y. Lu, Coupling modes of three filaments in side-by-side arrangement, Phys. Fluids, 23 (2011), 111903. https://doi.org/10.1063/1.3659892 doi: 10.1063/1.3659892
    [58] B. S. Connell, D. K. Yue, Flapping dynamics of a flag in a uniform stream, J. Fluid Mech., 581 (2007), 33–67. https://doi.org/10.1017/S0022112007005307 doi: 10.1017/S0022112007005307
    [59] S. Mittal, S. Singh, Vortex-induced vibrations at subcritical $Re$, J. Fluid Mech., 534 (2005), 185–194. https://doi.org/10.1017/S0022112005004635 doi: 10.1017/S0022112005004635
    [60] F. B. Tian, Role of mass on the stability of flag/flags in uniform flow, Appl. Phys. Lett., 103 (2013), 034101. https://doi.org/10.1063/1.4813006 doi: 10.1063/1.4813006
    [61] C. Carallo, C. Tripolino, M. S. D. Franceschi, C. Irace, X. Y. Xu, A. Gnasso, Carotid endothelial shear stress reduction with aging is associated with plaque development in twelve years, Atherosclerosis, 251 (2016), 63–69. https://doi.org/10.1016/j.atherosclerosis.2016.05.048 doi: 10.1016/j.atherosclerosis.2016.05.048
    [62] A. Sanyal, H. Han, Artery buckling affects the mechanical stress in atherosclerotic plaques, Biomed. Eng. Online, 14 (2015), S4. https://doi.org/10.1186/1475-925X-14-S1-S4 doi: 10.1186/1475-925X-14-S1-S4
    [63] K. V. Stoka, J. A. Maedeker, L. Bennett, S. A. Bhayani, W. S. Gardner, J. D. Procknow, et al., Effects of increased arterial stiffness on atherosclerotic plaque amounts, J. Biomech. Eng., 140 (2018), 051007. https://doi.org/10.1115/1.4039175 doi: 10.1115/1.4039175
    [64] C. M. Warboys, N. Amini, A. D. Luca, P. C. Evans, The role of blood flow in determining the sites of atherosclerotic plaques, F1000 Med. Rep., 3 (2011), 5. https://doi.org/10.3410/m3-5 doi: 10.3410/m3-5
    [65] M. Mudau, A. Genis, A. Lochner, H. Strijdom, Endothelial dysfunction: the early predictor of atherosclerosis, Cardiovasc. J. Afr., 23 (2012), 222–231. https://doi.org/10.5830/cvja-2011-068 doi: 10.5830/cvja-2011-068
    [66] S. Shaikh, J. Brittenden, R. Lahiri, P. A. Brown, F. Thiès, H. M. Wilson, Macrophage subtypes in symptomatic carotid artery and femoral artery plaques, Eur. J. Vasc. Endovasc. Surg., 44 (2012), 491–497. https://doi.org/10.1016/j.ejvs.2012.08.005 doi: 10.1016/j.ejvs.2012.08.005
    [67] N. Kumar, A. Khader, R. M. Pai, S. Khan, P. A. Kyriacou, Fluid structure interaction study of stenosed carotid artery considering the effects of blood pressure, Int. J. Eng. Sci., 154 (2020), 103341. https://doi.org/10.1016/j.ijengsci.2020.103341 doi: 10.1016/j.ijengsci.2020.103341
    [68] P. M. McGah, D. F. Leotta, K. W. Beach, A. Aliseda, Effects of wall distensibility in hemodynamic simulations of an arteriovenous fistula, Biomech. Model. Mechanobiol., 13 (2013), 679–695. https://doi.org/10.1007/s10237-013-0527-7 doi: 10.1007/s10237-013-0527-7
    [69] C. Dupont, A. Salsac, D. Barthès-Biesel, M. Vidrascu, P. L. Tallec, Influence of bending resistance on the dynamics of a spherical capsule in shear flow, Phys. Fluids, 27 (2015), 051902. https://doi.org/10.1063/1.4921247 doi: 10.1063/1.4921247
    [70] K. Shoele, R. Mittal, Flutter instability of a thin flexible plate in a channel, J. Fluid Mech., 786 (2016), 29–46. https://doi.org/10.1017/jfm.2015.632 doi: 10.1017/jfm.2015.632
    [71] E. Konstantinidis, C. Liang, Dynamic response of a turbulent cylinder wake to sinusoidal inflow perturbations across the vortex lock-on range, Phys. Fluids, 23 (2011), 075102. https://doi.org/10.1063/1.3592330 doi: 10.1063/1.3592330
    [72] R. C. Kloosterziel, P. Orlandi, G. F. Carnevale, Saturation of equatorial inertial instability, J. Fluid Mech., 767 (2015), 562–594. https://doi.org/10.1017/jfm.2015.63 doi: 10.1017/jfm.2015.63
    [73] L. Zhu, C. S. Peskin, Interaction of two flapping filaments in a flowing soap film, Phys. Fluids, 15 (2003), 1954–1960. https://doi.org/10.1063/1.1582476 doi: 10.1063/1.1582476
    [74] F. M. White, J. Majdalani, Viscous Fluid Flow, McGraw-Hill New York, 2006.
    [75] G. H. Ding, B. H. Ma, J. J. Deng, W. Z. Yuan, K. Liu, Accurate measurements of wall shear stress on a plate with elliptic leading edge, Sensors, 18 (2018), 2682. https://doi.org/10.3390/s18082682 doi: 10.3390/s18082682
    [76] Y. Chen, Y. Xiong, W. Jiang, F. Yan, M. Guo, Q. Wang, et al., Numerical simulation on the effects of drug eluting stents at different Reynolds numbers on hemodynamic and drug concentration distribution, Biomed. Eng. Online, 14 (2015), S16. https://doi.org/10.1186/1475-925X-14-S1-S16 doi: 10.1186/1475-925X-14-S1-S16
    [77] F. B. Tian, H. Luo, L. Zhu, J. C. Liao, X. Y. Lu, An efficient immersed boundary-lattice Boltzmann method for the hydrodynamic interaction of elastic filaments, J. Comput. Phys., 230 (2011), 7266–7283. https://doi.org/10.1016/j.jcp.2011.05.028 doi: 10.1016/j.jcp.2011.05.028
  • Reader Comments
  • © 2026 the Author(s), licensee AIMS Press. This is an open access article distributed under the terms of the Creative Commons Attribution License (http://creativecommons.org/licenses/by/4.0)
通讯作者: 陈斌, bchen63@163.com
  • 1. 

    沈阳化工大学材料科学与工程学院 沈阳 110142

  1. 本站搜索
  2. 百度学术搜索
  3. 万方数据库搜索
  4. CNKI搜索

Metrics

Article views(347) PDF downloads(23) Cited by(0)

Article outline

Figures and Tables

Figures(16)

Other Articles By Authors

/

DownLoad:  Full-Size Img  PowerPoint
Return
Return

Catalog